• 文献检索
  • 文档翻译
  • 深度研究
  • 学术资讯
  • Suppr Zotero 插件Zotero 插件
  • 邀请有礼
  • 套餐&价格
  • 历史记录
应用&插件
Suppr Zotero 插件Zotero 插件浏览器插件Mac 客户端Windows 客户端微信小程序
定价
高级版会员购买积分包购买API积分包
服务
文献检索文档翻译深度研究API 文档MCP 服务
关于我们
关于 Suppr公司介绍联系我们用户协议隐私条款
关注我们

Suppr 超能文献

核心技术专利:CN118964589B侵权必究
粤ICP备2023148730 号-1Suppr @ 2026

文献检索

告别复杂PubMed语法,用中文像聊天一样搜索,搜遍4000万医学文献。AI智能推荐,让科研检索更轻松。

立即免费搜索

文件翻译

保留排版,准确专业,支持PDF/Word/PPT等文件格式,支持 12+语言互译。

免费翻译文档

深度研究

AI帮你快速写综述,25分钟生成高质量综述,智能提取关键信息,辅助科研写作。

立即免费体验

在观察性研究中对协变量进行控制时的错误陈述、误解和错误。

Misstatements, misperceptions, and mistakes in controlling for covariates in observational research.

机构信息

Department of Epidemiology and Biostatistics, Indiana University School of Public Health-Bloomington, Bloomington, United States.

Department of Applied Health Science, Indiana University School of Public Health-Bloomington, Bloomington, United States.

出版信息

Elife. 2024 May 16;13:e82268. doi: 10.7554/eLife.82268.

DOI:10.7554/eLife.82268
PMID:38752987
原文链接:https://pmc.ncbi.nlm.nih.gov/articles/PMC11098558/
Abstract

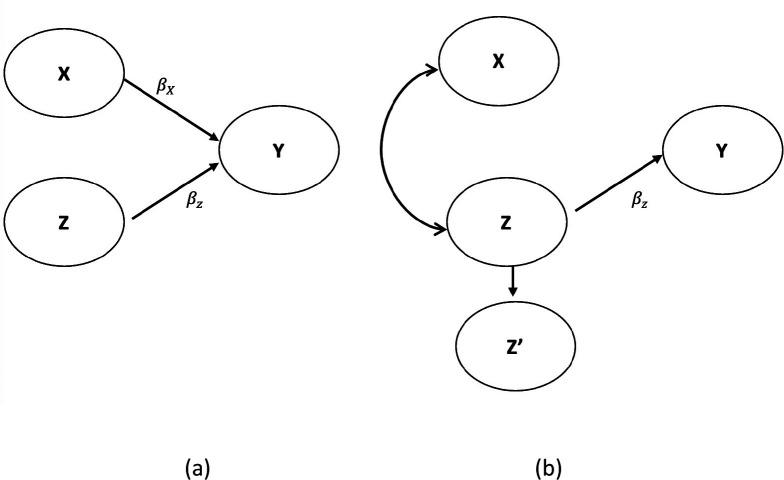
We discuss 12 misperceptions, misstatements, or mistakes concerning the use of covariates in observational or research. Additionally, we offer advice to help investigators, editors, reviewers, and readers make more informed decisions about conducting and interpreting research where the influence of covariates may be at issue. We primarily address misperceptions in the context of statistical management of the covariates through various forms of modeling, although we also emphasize design and model or variable selection. Other approaches to addressing the effects of covariates, including matching, have logical extensions from what we discuss here but are not dwelled upon heavily. The misperceptions, misstatements, or mistakes we discuss include accurate representation of covariates, effects of measurement error, overreliance on covariate categorization, underestimation of power loss when controlling for covariates, misinterpretation of significance in statistical models, and misconceptions about confounding variables, selecting on a collider, and p value interpretations in covariate-inclusive analyses. This condensed overview serves to correct common errors and improve research quality in general and in nutrition research specifically.

摘要

我们讨论了 12 种关于在观察性或研究中使用协变量的误解、错误陈述或错误。此外,我们还提供了一些建议,以帮助研究人员、编辑、审稿人和读者在协变量可能有影响的情况下,更明智地做出关于进行和解释研究的决策。我们主要在通过各种形式的建模对协变量进行统计管理的背景下解决误解,尽管我们也强调设计和模型或变量选择。解决协变量影响的其他方法,包括匹配,从我们这里讨论的内容中可以得到逻辑上的扩展,但并没有详细讨论。我们讨论的误解、错误陈述或错误包括对协变量的准确表示、测量误差的影响、过度依赖协变量分类、在控制协变量时低估力量损失、对统计模型中显著性的误解,以及对混杂变量、在共发器上选择和协变量分析中 p 值解释的误解。这个简要概述旨在纠正常见错误,提高研究质量,特别是在营养研究中。

https://cdn.ncbi.nlm.nih.gov/pmc/blobs/4c1c/11098558/7943e7b60efb/elife-82268-app2-fig2.jpg
https://cdn.ncbi.nlm.nih.gov/pmc/blobs/4c1c/11098558/c07637db32e3/elife-82268-fig1.jpg
https://cdn.ncbi.nlm.nih.gov/pmc/blobs/4c1c/11098558/badd9fd87f01/elife-82268-fig2.jpg
https://cdn.ncbi.nlm.nih.gov/pmc/blobs/4c1c/11098558/093e0bcd58ed/elife-82268-fig3.jpg
https://cdn.ncbi.nlm.nih.gov/pmc/blobs/4c1c/11098558/1deb84794621/elife-82268-fig4.jpg
https://cdn.ncbi.nlm.nih.gov/pmc/blobs/4c1c/11098558/7d90b6d87e5f/elife-82268-app1-fig1.jpg
https://cdn.ncbi.nlm.nih.gov/pmc/blobs/4c1c/11098558/217ee71a9e19/elife-82268-app2-fig1.jpg
https://cdn.ncbi.nlm.nih.gov/pmc/blobs/4c1c/11098558/7943e7b60efb/elife-82268-app2-fig2.jpg
https://cdn.ncbi.nlm.nih.gov/pmc/blobs/4c1c/11098558/c07637db32e3/elife-82268-fig1.jpg
https://cdn.ncbi.nlm.nih.gov/pmc/blobs/4c1c/11098558/badd9fd87f01/elife-82268-fig2.jpg
https://cdn.ncbi.nlm.nih.gov/pmc/blobs/4c1c/11098558/093e0bcd58ed/elife-82268-fig3.jpg
https://cdn.ncbi.nlm.nih.gov/pmc/blobs/4c1c/11098558/1deb84794621/elife-82268-fig4.jpg
https://cdn.ncbi.nlm.nih.gov/pmc/blobs/4c1c/11098558/7d90b6d87e5f/elife-82268-app1-fig1.jpg
https://cdn.ncbi.nlm.nih.gov/pmc/blobs/4c1c/11098558/217ee71a9e19/elife-82268-app2-fig1.jpg
https://cdn.ncbi.nlm.nih.gov/pmc/blobs/4c1c/11098558/7943e7b60efb/elife-82268-app2-fig2.jpg

相似文献

1
Misstatements, misperceptions, and mistakes in controlling for covariates in observational research.在观察性研究中对协变量进行控制时的错误陈述、误解和错误。
Elife. 2024 May 16;13:e82268. doi: 10.7554/eLife.82268.
2
Folic acid supplementation and malaria susceptibility and severity among people taking antifolate antimalarial drugs in endemic areas.在流行地区,服用抗叶酸抗疟药物的人群中,叶酸补充剂与疟疾易感性和严重程度的关系。
Cochrane Database Syst Rev. 2022 Feb 1;2(2022):CD014217. doi: 10.1002/14651858.CD014217.
3
When does measurement error in covariates impact causal effect estimates? Analytic derivations of different scenarios and an empirical illustration.当协变量测量误差影响因果效应估计时会怎样?不同场景的分析推导及实证说明。
Br J Math Stat Psychol. 2019 May;72(2):244-270. doi: 10.1111/bmsp.12146. Epub 2018 Oct 21.
4
A closer look at confounding.深入剖析混杂因素。
Fam Med. 1998 Sep;30(8):584-8.
5
Top ten errors of statistical analysis in observational studies for cancer research.肿瘤研究中观察性研究的十大统计学分析错误。
Clin Transl Oncol. 2018 Aug;20(8):954-965. doi: 10.1007/s12094-017-1817-9. Epub 2017 Dec 7.
6
Using audit information to adjust parameter estimates for data errors in clinical trials.利用审核信息调整临床试验中数据错误的参数估计。
Clin Trials. 2012 Dec;9(6):721-9. doi: 10.1177/1740774512450100. Epub 2012 Jul 30.
7
Propensity Score-Based Estimators With Multiple Error-Prone Covariates.基于倾向得分的多易错协变量估计量。
Am J Epidemiol. 2019 Jan 1;188(1):222-230. doi: 10.1093/aje/kwy210.
8
Comparison of the ability of double-robust estimators to correct bias in propensity score matching analysis. A Monte Carlo simulation study.双重稳健估计在倾向评分匹配分析中校正偏差的能力比较。一项蒙特卡罗模拟研究。
Pharmacoepidemiol Drug Saf. 2017 Dec;26(12):1513-1519. doi: 10.1002/pds.4325. Epub 2017 Oct 6.
9
Instrumental variables and inverse probability weighting for causal inference from longitudinal observational studies.纵向观察性研究因果推断的工具变量与逆概率加权法
Stat Methods Med Res. 2004 Feb;13(1):17-48. doi: 10.1191/0962280204sm351ra.
10
[Causal Inference in Medicine Part II. Directed acyclic graphs--a useful method for confounder selection, categorization of potential biases, and hypothesis specification].[医学中的因果推断 第二部分。有向无环图——一种用于选择混杂因素、潜在偏倚分类和假设设定的有用方法]
Nihon Eiseigaku Zasshi. 2009 Sep;64(4):796-805. doi: 10.1265/jjh.64.796.

引用本文的文献

1
Preliminary validation of developmental weight suppression in youth with transdiagnostic eating disorders.青少年跨诊断饮食失调中发育性体重抑制的初步验证
J Eat Disord. 2025 Jul 31;13(1):163. doi: 10.1186/s40337-025-01349-0.
2
Leptomeningeal metastatic disease: new frontiers and future directions.软脑膜转移瘤:新前沿与未来方向。
Nat Rev Clin Oncol. 2025 Feb;22(2):134-154. doi: 10.1038/s41571-024-00970-3. Epub 2024 Dec 9.

本文引用的文献

1
Big little lies: a compendium and simulation of -hacking strategies.弥天大谎:-黑客攻击策略汇编与模拟
R Soc Open Sci. 2023 Feb 8;10(2):220346. doi: 10.1098/rsos.220346. eCollection 2023 Feb.
2
The associations between relative and absolute body mass index with mortality rate based on predictions from stigma theory.基于污名理论预测的相对和绝对体重指数与死亡率之间的关联。
SSM Popul Health. 2022 Aug 10;19:101200. doi: 10.1016/j.ssmph.2022.101200. eCollection 2022 Sep.
3
Food biodiversity: Quantifying the unquantifiable in human diets.
食物生物多样性:量化人类饮食中的不可量化因素。
Crit Rev Food Sci Nutr. 2023;63(25):7837-7851. doi: 10.1080/10408398.2022.2051163. Epub 2022 Mar 17.
4
Misconceptions About the Direction of Bias From Nondifferential Misclassification.关于非差异偏倚方向的误解。
Am J Epidemiol. 2022 Jul 23;191(8):1485-1495. doi: 10.1093/aje/kwac035.
5
Are E-values too optimistic or too pessimistic? Both and neither!E值是过于乐观还是过于悲观?两者皆是,又两者皆非!
Int J Epidemiol. 2022 May 9;51(2):355-363. doi: 10.1093/ije/dyac018.
6
Aspiring to greater intellectual humility in science.追求科学中更高的智识谦逊。
Nat Hum Behav. 2021 Dec;5(12):1602-1607. doi: 10.1038/s41562-021-01203-8. Epub 2021 Oct 28.
7
Toward more rigorous and informative nutritional epidemiology: The rational space between dismissal and defense of the status quo.迈向更严谨、更具信息量的营养流行病学研究:摒弃或维护现状之间的合理空间。
Crit Rev Food Sci Nutr. 2023;63(18):3150-3167. doi: 10.1080/10408398.2021.1985427. Epub 2021 Oct 22.
8
From populations to molecules: a life in food and health.从人群到分子:食品与健康领域的一生
Eur J Clin Nutr. 2022 Dec;76(12):1633-1635. doi: 10.1038/s41430-021-01002-4. Epub 2021 Oct 21.
9
Uncontrolled control variables: The extent that a researcher's degrees of freedom with control variables increases various types of statistical errors.未控制的控制变量:研究人员在控制变量方面的自由度增加了各种类型的统计误差的程度。
J Appl Psychol. 2022 Jan;107(1):9-22. doi: 10.1037/apl0000849. Epub 2021 Mar 4.
10
Commentary: An argument against E-values for assessing the plausibility that an association could be explained away by residual confounding.评论:反对使用E值来评估关联是否可能被残余混杂因素解释掉的合理性。
Int J Epidemiol. 2020 Oct 1;49(5):1501-1503. doi: 10.1093/ije/dyaa095.