• 文献检索
  • 文档翻译
  • 深度研究
  • 学术资讯
  • Suppr Zotero 插件Zotero 插件
  • 邀请有礼
  • 套餐&价格
  • 历史记录
应用&插件
Suppr Zotero 插件Zotero 插件浏览器插件Mac 客户端Windows 客户端微信小程序
定价
高级版会员购买积分包购买API积分包
服务
文献检索文档翻译深度研究API 文档MCP 服务
关于我们
关于 Suppr公司介绍联系我们用户协议隐私条款
关注我们

Suppr 超能文献

核心技术专利:CN118964589B侵权必究
粤ICP备2023148730 号-1Suppr @ 2026

文献检索

告别复杂PubMed语法,用中文像聊天一样搜索,搜遍4000万医学文献。AI智能推荐,让科研检索更轻松。

立即免费搜索

文件翻译

保留排版,准确专业,支持PDF/Word/PPT等文件格式,支持 12+语言互译。

免费翻译文档

深度研究

AI帮你快速写综述,25分钟生成高质量综述,智能提取关键信息,辅助科研写作。

立即免费体验

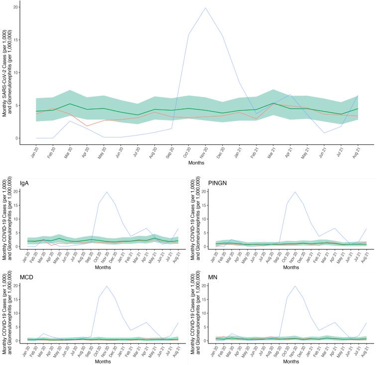
Incidence of Common Glomerular Diseases Other Than Collapsing Glomerulopathy is Not Increased After SARS-CoV-2 Infection.

作者信息

Diebold Matthias, Enzler-Tschudy Annette, Helmchen Birgit M, Hopfer Helmut, Kim Min Jeong, Moll Solange, Nanchen Giliane, Rotman Samuel, Seeger Harald, Kistler Andreas D

机构信息

Clinic for Transplantation Immunology and Nephrology, University Hospital Basel, University of Basel, Basel, Switzerland.

Institute of Pathology, Cantonal Hospital St. Gallen, Switzerland.

出版信息

Kidney Int Rep. 2024 Jan 23;9(4):1122-1126. doi: 10.1016/j.ekir.2024.01.028. eCollection 2024 Apr.

DOI:10.1016/j.ekir.2024.01.028
PMID:38765571
原文链接:https://pmc.ncbi.nlm.nih.gov/articles/PMC11101795/
Abstract
摘要
https://cdn.ncbi.nlm.nih.gov/pmc/blobs/8424/11101795/0d11c36128d0/gr2.jpg
https://cdn.ncbi.nlm.nih.gov/pmc/blobs/8424/11101795/7c0deeecb3a1/gr1.jpg
https://cdn.ncbi.nlm.nih.gov/pmc/blobs/8424/11101795/0d11c36128d0/gr2.jpg
https://cdn.ncbi.nlm.nih.gov/pmc/blobs/8424/11101795/7c0deeecb3a1/gr1.jpg
https://cdn.ncbi.nlm.nih.gov/pmc/blobs/8424/11101795/0d11c36128d0/gr2.jpg

相似文献

1
Incidence of Common Glomerular Diseases Other Than Collapsing Glomerulopathy is Not Increased After SARS-CoV-2 Infection.除塌陷性肾小球病外的常见肾小球疾病在感染新型冠状病毒后发病率并未增加。
Kidney Int Rep. 2024 Jan 23;9(4):1122-1126. doi: 10.1016/j.ekir.2024.01.028. eCollection 2024 Apr.
2
COVID-19 and Glomerular Diseases.新型冠状病毒肺炎与肾小球疾病
Kidney Int Rep. 2023 Jun;8(6):1137-1150. doi: 10.1016/j.ekir.2023.03.016. Epub 2023 Mar 27.
3
Pathogenesis of coronavirus disease 2019-associated kidney injury.2019冠状病毒病相关肾损伤的发病机制。
Curr Opin Nephrol Hypertens. 2021 May 1;30(3):324-331. doi: 10.1097/MNH.0000000000000708.
4
Successful treatment of COVID-19-associated collapsing glomerulopathy: 22 months of follow-up.新型冠状病毒肺炎相关塌陷性肾小球病的成功治疗:22个月随访
Clin Nephrol Case Stud. 2023 Jul 13;11:110-113. doi: 10.5414/CNCS111112. eCollection 2023.
5
A Rare Case of Granulomatous Interstitial Nephritis in a Patient With COVID-19.COVID-19 患者中罕见的肉芽肿性间质性肾炎病例。
J Investig Med High Impact Case Rep. 2022 Jan-Dec;10:23247096221114517. doi: 10.1177/23247096221114517.
6
COVID-19-Related Collapsing Glomerulopathy in a Kidney Transplant Recipient.COVID-19 相关的移植肾肾小球病。
Am J Kidney Dis. 2020 Oct;76(4):590-594. doi: 10.1053/j.ajkd.2020.06.009. Epub 2020 Jul 12.
7
COVAN is the new HIVAN: the re-emergence of collapsing glomerulopathy with COVID-19.COVAN 是新的 HIVAN:与 COVID-19 相关的塌陷性肾小球病再现。
Nat Rev Nephrol. 2020 Oct;16(10):565-567. doi: 10.1038/s41581-020-0332-3.
8
BSG/CD147 and ACE2 receptors facilitate SARS-CoV-2 infection of human iPS cell-derived kidney podocytes.BSG/CD147和ACE2受体促进严重急性呼吸综合征冠状病毒2(SARS-CoV-2)感染人诱导多能干细胞衍生的肾足细胞。
bioRxiv. 2021 Nov 17:2021.11.16.468893. doi: 10.1101/2021.11.16.468893.
9
Collapsing Glomerulopathy Affecting Native and Transplant Kidneys in Individuals with COVID-19.COVID-19 个体中影响原肾和移植肾的肾小球塌陷病。
Nephron. 2020;144(11):589-594. doi: 10.1159/000509938. Epub 2020 Sep 7.
10
Collapsing glomerulopathy in a patient with APOL1 intermediate-risk genotype triggered by lupus nephritis and SARS-CoV-2 infection: lessons for the clinical nephrologist.狼疮性肾炎和SARS-CoV-2感染引发的APOL1中风险基因型患者的塌陷性肾小球病:给临床肾脏病学家的启示
J Nephrol. 2022 Jan;35(1):347-350. doi: 10.1007/s40620-021-01144-5. Epub 2021 Sep 24.

引用本文的文献

1
Long COVID and the kidney.长期新冠与肾脏
Nat Rev Nephrol. 2025 Sep 4. doi: 10.1038/s41581-025-00997-4.
2
APOL1 High-Risk Genotype is Not Associated With New or Worsening of Proteinuria or Kidney Function Decline Following COVID-19 Vaccination.APOL1高风险基因型与新冠病毒疫苗接种后蛋白尿的新发或加重以及肾功能下降无关。
Kidney Int Rep. 2024 Jun 20;9(9):2657-2666. doi: 10.1016/j.ekir.2024.06.023. eCollection 2024 Sep.

本文引用的文献

1
COVID-19 and Glomerular Diseases.新型冠状病毒肺炎与肾小球疾病
Kidney Int Rep. 2023 Jun;8(6):1137-1150. doi: 10.1016/j.ekir.2023.03.016. Epub 2023 Mar 27.
2
FSGS and COVID-19 in Non-African American Patients.非裔美国人患者中的 FSGS 和 COVID-19。
Kidney360. 2023 May 1;4(5):687-699. doi: 10.34067/KID.0000000000000104.
3
Incidence of new onset glomerulonephritis after SARS-CoV-2 mRNA vaccination is not increased.新型冠状病毒 mRNA 疫苗接种后新发肾小球肾炎的发病率并未增加。
Kidney Int. 2022 Dec;102(6):1409-1419. doi: 10.1016/j.kint.2022.08.021. Epub 2022 Sep 10.
4
A multi-center retrospective cohort study defines the spectrum of kidney pathology in Coronavirus 2019 Disease (COVID-19).一项多中心回顾性队列研究定义了 2019 年冠状病毒疾病(COVID-19)的肾脏病理学谱。
Kidney Int. 2021 Dec;100(6):1303-1315. doi: 10.1016/j.kint.2021.07.015. Epub 2021 Aug 3.
5
COVID-19-Associated Glomerular Disease.COVID-19 相关肾小球疾病。
J Am Soc Nephrol. 2021 Jan;32(1):33-40. doi: 10.1681/ASN.2020060804. Epub 2020 Nov 19.
6
COVAN is the new HIVAN: the re-emergence of collapsing glomerulopathy with COVID-19.COVAN 是新的 HIVAN:与 COVID-19 相关的塌陷性肾小球病再现。
Nat Rev Nephrol. 2020 Oct;16(10):565-567. doi: 10.1038/s41581-020-0332-3.
7
COVID-19-Associated Kidney Injury: A Case Series of Kidney Biopsy Findings.COVID-19 相关肾损伤:肾活检结果的病例系列。
J Am Soc Nephrol. 2020 Sep;31(9):1948-1958. doi: 10.1681/ASN.2020050699. Epub 2020 Jul 13.
8
AKI and Collapsing Glomerulopathy Associated with COVID-19 and High-Risk Genotype.与 COVID-19 和高危基因型相关的急性肾损伤和肾小球塌缩症。
J Am Soc Nephrol. 2020 Aug;31(8):1688-1695. doi: 10.1681/ASN.2020050558. Epub 2020 Jun 19.
9
Acute kidney injury in patients hospitalized with COVID-19.COVID-19 住院患者中的急性肾损伤。
Kidney Int. 2020 Jul;98(1):209-218. doi: 10.1016/j.kint.2020.05.006. Epub 2020 May 16.