Suppr超能文献

负载萘普生钠和盐酸利多卡因的生物聚合物基水凝胶用于药物控释

Biopolymer-Based Hydrogel Incorporated with Naproxen Sodium and Lidocaine Hydrochloride for Controlled Drug Delivery.

作者信息

Wójcik-Pastuszka Dorota, Stawicka Karolina, Musiał Witold

机构信息

Department of Physical Chemistry and Biophysics, Faculty of Pharmacy, Wroclaw Medical University, ul. Borowska 211A, 55-556 Wrocław, Poland.

出版信息

Polymers (Basel). 2024 May 10;16(10):1353. doi: 10.3390/polym16101353.

Abstract

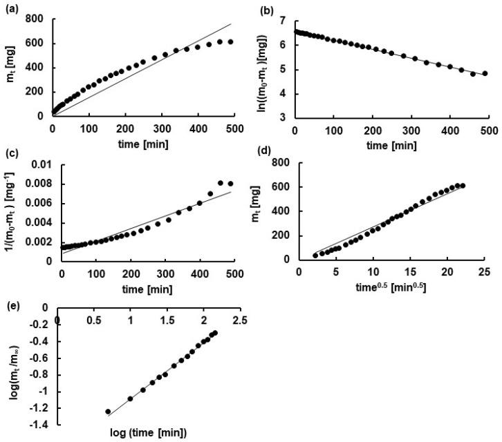
Sodium hyaluronate (HA) is a natural polysaccharide. This biopolymer occurs in many tissues of living organisms. The regenerating, nourishing, and moisturizing properties as well as the rheological properties of HA enable its application in the pharmaceutical industry as a carrier of medicinal substances. The aim of this work was to assess the release of naproxen sodium (Nap) in the presence of lidocaine hydrochloride (Lid) from the biopolymer-based hydrogels and to determine the respective kinetic parameters of this process. The possible interaction between the HA polysaccharide carrier and the selected drugs was also investigated. Three hydrogels containing Nap and Lid with different concentrations of the biopolymer were prepared. The release of Nap was studied by employing USP apparatus 5. The infrared study and differential scanning calorimetry analysis of physical mixtures and dried formulations were performed. The highest amount of Nap was released from the formulation with the lowest concentration of the biopolymer. The most representative kinetic model that described the dissolution of Nap was obtained through the Korsmeyer-Peppas equation. The release rate constants were in the range of 1.0 ± 0.1 × 10 min-1.7 ± 0.1 × 10 min. Lid did not influence the dissolution of Nap from the formulations tested; however, in the desiccated samples of assessed formulations, the interaction between the polysaccharide and both drugs was observed.

摘要

透明质酸钠(HA)是一种天然多糖。这种生物聚合物存在于生物体的许多组织中。HA的再生、滋养和保湿特性以及流变特性使其能够作为药物载体应用于制药行业。这项工作的目的是评估在盐酸利多卡因(Lid)存在下,生物聚合物基水凝胶中萘普生钠(Nap)的释放情况,并确定该过程的各自动力学参数。还研究了HA多糖载体与所选药物之间可能的相互作用。制备了三种含有不同浓度生物聚合物的Nap和Lid的水凝胶。采用美国药典装置5研究了Nap的释放情况。对物理混合物和干燥制剂进行了红外研究和差示扫描量热分析。Nap从生物聚合物浓度最低的制剂中释放量最高。通过Korsmeyer-Peppas方程获得了描述Nap溶解的最具代表性的动力学模型。释放速率常数在1.0±0.1×10⁻¹.⁷±0.1×10⁻¹分钟范围内。Lid不影响所测试制剂中Nap的溶解;然而,在评估制剂的干燥样品中,观察到多糖与两种药物之间的相互作用。

https://cdn.ncbi.nlm.nih.gov/pmc/blobs/a69b/11124777/8df64438871f/polymers-16-01353-g001.jpg

文献检索

告别复杂PubMed语法,用中文像聊天一样搜索,搜遍4000万医学文献。AI智能推荐,让科研检索更轻松。

立即免费搜索

文件翻译

保留排版,准确专业,支持PDF/Word/PPT等文件格式,支持 12+语言互译。

免费翻译文档

深度研究

AI帮你快速写综述,25分钟生成高质量综述,智能提取关键信息,辅助科研写作。

立即免费体验