• 文献检索
  • 文档翻译
  • 深度研究
  • 学术资讯
  • Suppr Zotero 插件Zotero 插件
  • 邀请有礼
  • 套餐&价格
  • 历史记录
应用&插件
Suppr Zotero 插件Zotero 插件浏览器插件Mac 客户端Windows 客户端微信小程序
定价
高级版会员购买积分包购买API积分包
服务
文献检索文档翻译深度研究API 文档MCP 服务
关于我们
关于 Suppr公司介绍联系我们用户协议隐私条款
关注我们

Suppr 超能文献

核心技术专利:CN118964589B侵权必究
粤ICP备2023148730 号-1Suppr @ 2026

文献检索

告别复杂PubMed语法,用中文像聊天一样搜索,搜遍4000万医学文献。AI智能推荐,让科研检索更轻松。

立即免费搜索

文件翻译

保留排版,准确专业,支持PDF/Word/PPT等文件格式,支持 12+语言互译。

免费翻译文档

深度研究

AI帮你快速写综述,25分钟生成高质量综述,智能提取关键信息,辅助科研写作。

立即免费体验

遥测项圈对两种自由放养野生马科动物的影响。

Effects of telemetry collars on two free-roaming feral equid species.

机构信息

U.S. Geological Survey, Fort Collins Science Center, Fort Collins, CO, United States of America.

Colorado State University, Fort Collins, CO, United States of America.

出版信息

PLoS One. 2024 May 30;19(5):e0303312. doi: 10.1371/journal.pone.0303312. eCollection 2024.

DOI:10.1371/journal.pone.0303312
PMID:38814957
原文链接:https://pmc.ncbi.nlm.nih.gov/articles/PMC11139308/
Abstract

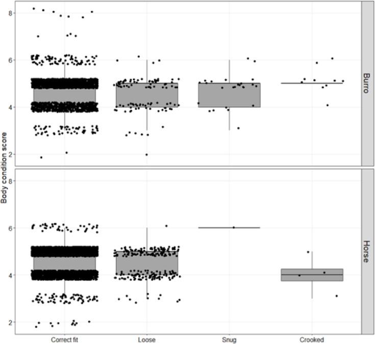
There are two species of free-roaming feral equids in North America: horses (Equus caballus) and donkeys or "burros" (E. asinus). Both species were introduced as domestic animals to North America in the early 1500s and currently inhabit rangelands across the western United States, Canada, and all continents except Antarctica. Despite their global distribution, little is known about their fine scale spatial ecology. Contemporary research tools to assess space use include global positioning system (GPS) tracking collars, but older models were problematic due to stiff collar belting causing poor fit. We tested modern designs of GPS collars on n = 105 horses and n = 60 burros for 4 years in five populations (3 horse, 2 burro) across the western United States, to assess whether collars posed welfare risks to horses or burros. We found no difference in survival of collared versus uncollared mares and jennies, and no difference in survival of their foals. In 4036 of 4307 observations for horses (93.7%) and 2115 of 2258 observations for burros (93.6%), collars were observed symmetrical, maintaining proper fit on the neck. Fur effects from collars (sweaty neck, indented fur, broken fur) were seen in 3% of horse observations and 25% of burro observations. Superficial effects (chafes and marks on skin surface) were seen in 2% of horse observations and 11% of burro observations; no severe effects from collars were seen. Body condition was not affected by collars; mean body condition of collared horses was 4.70 ± 0.54 (mean ± s.d) and 4.71 ± 0.65 for collared burros. Behavior results indicated minimal effects; collared horses stood slightly more than uncollared, and collared burros stood and foraged more in one population, but not in the other. For 6.3% of observations of horses and 6.4% of observations of burros, we found an effect of time wearing a collar on the cumulative sum of fur effects which increased over time (burros: rs = 0.87, P = <0.0001; horses: rs = 0.31, P = 0.002). Burros also showed an increase over time in the number of superficial effects, but horses did not. Collars occasionally moved into the wrong position, shifting forward over the ears; we observed this on 19 horses and 1 burro. Of those, most collars went over the ears in summer (n = 12). All collars were equipped with a remote release mechanism as well as a timed-release mechanism for redundancy, thus removed when observed in wrong position to avoid rubbing or discomfort. Our finding of no consequential physical effects in 98% of horse observations, and 89% of burro observations suggests the consequences of collars on free-roaming equid welfare and survival is biologically insignificant, although collars should be monitored regularly and continue to be equipped with a remote release mechanism to remove a collar if needed. With frequent welfare-driven, visual monitoring, collaring of free-roaming equids can be a safe and useful tool to increase our understanding of their spatial ecology, demography, habitat use, behavior, and interactions with other wildlife.

摘要

北美的自由放养野生马科动物有两种

马(Equus caballus)和驴或“野驴”(E. asinus)。这两个物种都是在 16 世纪初作为家畜引入北美的,目前栖息在美国西部、加拿大和除南极洲以外的所有大陆的牧场。尽管它们在全球范围内分布,但对它们精细的空间生态学却知之甚少。评估空间利用的当代研究工具包括全球定位系统 (GPS) 跟踪项圈,但由于项圈的表带僵硬导致佩戴不合适,旧款模型存在问题。我们在美国西部的五个地区(三个马群,两个驴群)对 105 匹马和 60 头驴进行了为期四年的 GPS 项圈测试,以评估项圈是否对马或驴构成福利风险。我们发现,佩戴项圈的母马和母驴的存活率与未佩戴项圈的母马和母驴没有差异,它们的幼驹存活率也没有差异。在 4036 次马的观察(93.7%)和 2115 次驴的观察(93.6%)中,项圈对称地佩戴在颈部,保持适当的贴合度。3%的马观察和 25%的驴观察中观察到项圈引起的毛发效应(颈部出汗、压痕毛发、断毛)。2%的马观察和 11%的驴观察中观察到浅表效应(皮肤表面的擦伤和痕迹);没有观察到严重的项圈影响。项圈没有影响马的身体状况;佩戴项圈的马的平均身体状况为 4.70 ± 0.54(平均值 ± s.d),佩戴项圈的驴为 4.71 ± 0.65。行为结果表明影响很小;佩戴项圈的马比未佩戴项圈的马站立时间略多,佩戴项圈的驴在一个种群中站立和觅食的时间更多,但在另一个种群中则没有。对于 6.3%的马观察和 6.4%的驴观察,我们发现佩戴项圈的累积毛发效应随时间增加(驴:rs = 0.87,P <0.0001;马:rs = 0.31,P = 0.002)。驴的浅表效应也随时间增加,但马没有。项圈偶尔会移动到错误的位置,越过耳朵向前移动;我们在 19 匹马和 1 头驴身上观察到了这一点。其中,大多数项圈在夏天(n = 12)越过了耳朵。所有项圈都配备了远程释放机制和定时释放机制作为冗余,因此如果观察到项圈在错误的位置,会将其移除,以避免摩擦或不适。我们发现,98%的马观察和 89%的驴观察中没有产生不良的生理影响,这表明项圈对自由放养的马科动物福利和生存的影响在生物学上是微不足道的,尽管项圈应定期监测,并继续配备远程释放机制,以便在需要时移除项圈。通过频繁的福利驱动、视觉监测,为自由放养的马科动物佩戴项圈可以成为一种安全而有用的工具,有助于增加我们对它们空间生态学、种群动态、栖息地利用、行为以及与其他野生动物相互作用的了解。

https://cdn.ncbi.nlm.nih.gov/pmc/blobs/2f03/11139308/24dd71feef23/pone.0303312.g005.jpg
https://cdn.ncbi.nlm.nih.gov/pmc/blobs/2f03/11139308/b5c49b1f4a26/pone.0303312.g001.jpg
https://cdn.ncbi.nlm.nih.gov/pmc/blobs/2f03/11139308/ba93b89b0ba1/pone.0303312.g002.jpg
https://cdn.ncbi.nlm.nih.gov/pmc/blobs/2f03/11139308/de3ba13d3cb9/pone.0303312.g003.jpg
https://cdn.ncbi.nlm.nih.gov/pmc/blobs/2f03/11139308/d67011992eaf/pone.0303312.g004.jpg
https://cdn.ncbi.nlm.nih.gov/pmc/blobs/2f03/11139308/24dd71feef23/pone.0303312.g005.jpg
https://cdn.ncbi.nlm.nih.gov/pmc/blobs/2f03/11139308/b5c49b1f4a26/pone.0303312.g001.jpg
https://cdn.ncbi.nlm.nih.gov/pmc/blobs/2f03/11139308/ba93b89b0ba1/pone.0303312.g002.jpg
https://cdn.ncbi.nlm.nih.gov/pmc/blobs/2f03/11139308/de3ba13d3cb9/pone.0303312.g003.jpg
https://cdn.ncbi.nlm.nih.gov/pmc/blobs/2f03/11139308/d67011992eaf/pone.0303312.g004.jpg
https://cdn.ncbi.nlm.nih.gov/pmc/blobs/2f03/11139308/24dd71feef23/pone.0303312.g005.jpg

相似文献

1
Effects of telemetry collars on two free-roaming feral equid species.遥测项圈对两种自由放养野生马科动物的影响。
PLoS One. 2024 May 30;19(5):e0303312. doi: 10.1371/journal.pone.0303312. eCollection 2024.
2
Remotely delivered immunocontraception in free-roaming feral burros (Equus asinus).对自由放养的野生驴(非洲野驴)进行远程免疫避孕。
J Reprod Fertil. 1996 May;107(1):31-5. doi: 10.1530/jrf.0.1070031.
3
Testing VHF/GPS collar design and safety in the study of free-roaming horses.在自由放养马匹的研究中测试甚高频/全球定位系统项圈的设计与安全性。
PLoS One. 2014 Sep 8;9(9):e103189. doi: 10.1371/journal.pone.0103189. eCollection 2014.
4
Mortality and Operational Attributes Relative to Feral Horse and Burro Capture Techniques Based on Publicly Available Data From 2010-2019.基于2010 - 2019年公开数据的野马和野驴捕获技术相关死亡率及操作属性
J Equine Vet Sci. 2020 Mar;86:102893. doi: 10.1016/j.jevs.2019.102893. Epub 2019 Dec 20.
5
Fertility Control and the Welfare of Free-Roaming Horses and Burros on U.S. Public Lands: The Need for an Ethical Framing.美国公共土地上自由放养马匹和驴子的生育控制与福利:道德框架的必要性。
Animals (Basel). 2022 Oct 3;12(19):2656. doi: 10.3390/ani12192656.
6
A systematic review of wild burro grazing effects on Mojave Desert vegetation, USA.对美国莫哈韦沙漠植被的野生驴放牧影响的系统评价。
Environ Manage. 2008 Jun;41(6):809-19. doi: 10.1007/s00267-008-9105-7.
7
Capture, immobilization, and Global Positioning System collaring of olive baboons (Papio anubis) and vervets (Chlorocebus pygerythrus): Lessons learned and suggested best practices.圈养、固定和 GPS 项圈佩戴用于研究橄榄狒狒(Papio anubis)和青长尾猴(Chlorocebus pygerythrus):经验教训与最佳实践建议。
Am J Primatol. 2019 Jul;81(6):e22997. doi: 10.1002/ajp.22997. Epub 2019 Jun 10.
8
Short-term effects of GPS collars on the activity, behavior, and adrenal response of scimitar-horned oryx (Oryx dammah).GPS 项圈对新月形大角羊(Oryx dammah)活动、行为和肾上腺反应的短期影响。
PLoS One. 2020 Feb 11;15(2):e0221843. doi: 10.1371/journal.pone.0221843. eCollection 2020.
9
Browsers or Grazers? New Insights into Feral Burro Diet Using a Non-Invasive Sampling and Plant DNA Metabarcoding Approach.食草者还是啃食者?利用非侵入性采样和植物DNA代谢条形码方法对野生驴饮食的新见解。
Animals (Basel). 2023 Aug 21;13(16):2683. doi: 10.3390/ani13162683.
10
Adaptive explanation in socio-ecology: lessons from the Equidae.社会生态学中的适应性解释:马科动物的启示。
Biol Rev Camb Philos Soc. 2000 Feb;75(1):1-20. doi: 10.1017/s0006323199005411.

本文引用的文献

1
Interdisciplinary evidence for early domestic horse exploitation in southern Patagonia.南巴塔哥尼亚地区早期对家养马进行跨学科开发的证据。
Sci Adv. 2023 Dec 8;9(49):eadk5201. doi: 10.1126/sciadv.adk5201.
2
Browsers or Grazers? New Insights into Feral Burro Diet Using a Non-Invasive Sampling and Plant DNA Metabarcoding Approach.食草者还是啃食者?利用非侵入性采样和植物DNA代谢条形码方法对野生驴饮食的新见解。
Animals (Basel). 2023 Aug 21;13(16):2683. doi: 10.3390/ani13162683.
3
Early dispersal of domestic horses into the Great Plains and northern Rockies.
家马早期向大平原和落基山脉北部的扩散。
Science. 2023 Mar 31;379(6639):1316-1323. doi: 10.1126/science.adc9691. Epub 2023 Mar 30.
4
The genomic history and global expansion of domestic donkeys.家驴的基因组历史与全球扩张
Science. 2022 Sep 9;377(6611):1172-1180. doi: 10.1126/science.abo3503. Epub 2022 Sep 8.
5
Body size and digestive system shape resource selection by ungulates: A cross-taxa test of the forage maturation hypothesis.有蹄类动物的体型和消化系统形状对资源的选择:对饲料成熟假说的跨类群检验。
Ecol Lett. 2021 Oct;24(10):2178-2191. doi: 10.1111/ele.13848. Epub 2021 Jul 26.
6
Pronghorn population genomics show connectivity in the core of their range.叉角羚种群基因组学显示其分布范围核心区域存在连通性。
J Mammal. 2020 May 29;101(4):1061-1071. doi: 10.1093/jmammal/gyaa054. eCollection 2020 Aug 31.
7
Mortality and Operational Attributes Relative to Feral Horse and Burro Capture Techniques Based on Publicly Available Data From 2010-2019.基于2010 - 2019年公开数据的野马和野驴捕获技术相关死亡率及操作属性
J Equine Vet Sci. 2020 Mar;86:102893. doi: 10.1016/j.jevs.2019.102893. Epub 2019 Dec 20.
8
Short-term effects of GPS collars on the activity, behavior, and adrenal response of scimitar-horned oryx (Oryx dammah).GPS 项圈对新月形大角羊(Oryx dammah)活动、行为和肾上腺反应的短期影响。
PLoS One. 2020 Feb 11;15(2):e0221843. doi: 10.1371/journal.pone.0221843. eCollection 2020.
9
Research with Agricultural Animals and Wildlife.农业动物与野生动物研究。
ILAR J. 2019 Dec 31;60(1):66-73. doi: 10.1093/ilar/ilz006.
10
2016 Guidelines of the American Society of Mammalogists for the use of wild mammals in research and education.美国哺乳动物学会2016年关于在研究和教育中使用野生哺乳动物的指南。
J Mammal. 2016 Jun 9;97(3):663-688. doi: 10.1093/jmammal/gyw078. Epub 2016 May 28.