Huang Zhibin, Liu Dongzhou, Mo Sijie, Hong Xiaoping, Xie Jingyi, Chen Yulan, Liu Lixiong, Song Di, Tang Shuzhen, Wu Huaiyu, Xu Jinfeng, Dong Fajin
Department of Ultrasound, The Second Clinical Medical College, Jinan University (Shenzhen People's Hospital), Shenzhen 518020, China.
Department of Rheumatology and Immunology, The Second Clinical Medical College, Jinan University (Shenzhen People's Hospital), Shenzhen 518020, China.
Photoacoustics. 2024 May 13;38:100615. doi: 10.1016/j.pacs.2024.100615. eCollection 2024 Aug.
Accurate assessment of Rheumatoid Arthritis (RA) activity remains a challenge. Multimodal photoacoustic/ultrasound (PA/US) joint imaging emerges as a novel imaging modality capable of depicting microvascularization and oxygenation levels in inflamed joints associated with RA. However, the scarcity of large-scale studies limits the exploration of correlating joint oxygenation status with disease activity.
This study aimed to explore the correlation between multimodal PA/US imaging scores and RA disease activity, assessing its clinical applicability in managing RA.
In this study, we recruited 111 patients diagnosed with RA and conducted examinations of seven small joints on their clinically dominant side using a PA/US imaging system. The PA and power Doppler ultrasound (PDUS) signals were semi-quantitatively assessed using a 0-3 grading system. The cumulative scores for PA and PDUS across these seven joints (PA-sum and PDUS-sum) were calculated. Relative oxygen saturation (So) values of inflamed joints on the clinically dominant side were measured, and categorized into four distinct PA+So patterns. The correlation between PA/US imaging scores and disease activity indices was systematically evaluated.
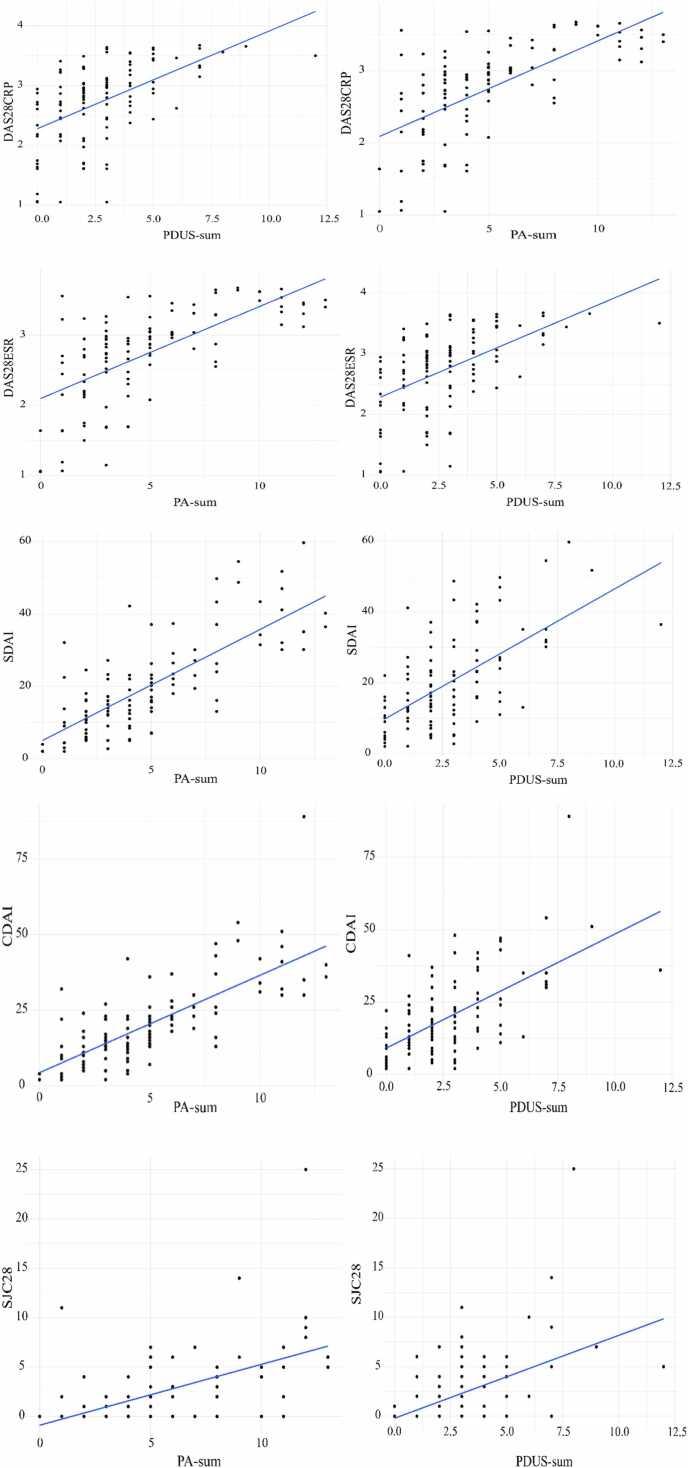
Analysis of 777 small joints in 111 patients revealed that the PA-sum scores exhibited a strong positive correlation with standard clinical scores for RA, including DAS28 [ESR] (ρ = 0.682), DAS28 [CRP] (ρ = 0.683), CDAI (ρ = 0.738), and SDAI (ρ = 0.739), all with p < 0.001. These correlations were superior to those of the PDUS-sum scores (DAS28 [ESR] ρ = 0.559, DAS28 [CRP] ρ = 0.555, CDAI ρ = 0.575, SDAI ρ = 0.581, p < 0.001). Significantly, in patients with higher PA-sum scores, notable differences were observed in the erythrocyte sedimentation rate (ESR) (p < 0.01) and swollen joint count 28 (SJC28) (p < 0.01) between hypoxia and intermediate groups. Notably, RA patients in the hypoxia group exhibited higher clinical scores in certain clinical indices.
Multi-modal PA/US imaging introduces potential advancements in RA assessment, especially regarding So evaluations in synovial tissues and associated PA scores. However, further studies are warranted, particularly with more substantial sample sizes and in multi-center settings.
This study utilized multi-modal PA/US imaging to analyze Rheumatoid Arthritis (RA) patients' synovial tissues and affected joints. When juxtaposed with traditional PDUS imaging, the PA approach demonstrated enhanced sensitivity, especially concerning detecting small vessels in thickened synovium and inflamed tendon sheaths. Furthermore, correlations between the derived PA scores, PA+So patterns, and standard clinical RA scores were observed. These findings suggest that multi-modal PA/US imaging could be a valuable tool in the comprehensive assessment of RA, offering insights not only into disease activity but also into the oxygenation status of synovial tissues. However, as promising as these results are, further investigations, especially in larger and diverse patient populations, are imperative.
⸸ Multi-modal PA/US Imaging in RA: This novel technique was used to assess the So values in synovial tissues and determine PA scores of affected RA joints.⸸ Correlation significantly with Clinical RA Scores: Correlations significantly were noted between PA scores, PA+So patterns, and standard clinical RA metrics, hinting at the potential clinical applicability of the technique.
准确评估类风湿关节炎(RA)的活动度仍然是一项挑战。多模态光声/超声(PA/US)关节成像作为一种新型成像方式出现,能够描绘与RA相关的炎症关节中的微血管化和氧合水平。然而,大规模研究的匮乏限制了对关节氧合状态与疾病活动度相关性的探索。
本研究旨在探讨多模态PA/US成像评分与RA疾病活动度之间的相关性,评估其在RA管理中的临床适用性。
在本研究中,我们招募了111例确诊为RA的患者,并使用PA/US成像系统对其临床优势侧的七个小关节进行检查。使用0-3分级系统对PA和功率多普勒超声(PDUS)信号进行半定量评估。计算这七个关节的PA和PDUS累积评分(PA总和与PDUS总和)。测量临床优势侧炎症关节的相对氧饱和度(So)值,并分为四种不同的PA+So模式。系统评估PA/US成像评分与疾病活动指数之间的相关性。
对111例患者的777个小关节进行分析发现,PA总和评分与RA的标准临床评分呈强正相关,包括DAS28[ESR](ρ = 0.682)、DAS28[CRP](ρ = 0.683)、CDAI(ρ = 0.738)和SDAI(ρ = 0.739),所有p值均<0.001。这些相关性优于PDUS总和评分(DAS28[ESR] ρ = 0.559,DAS28[CRP] ρ = 0.555,CDAI ρ = 0.575,SDAI ρ = 0.581,p < 0.001)。值得注意的是,在PA总和评分较高的患者中,缺氧组和中度组之间的红细胞沉降率(ESR)(p < 0.01)和肿胀关节计数28(SJC28)(p < 0.01)存在显著差异。值得注意的是,缺氧组的RA患者在某些临床指标上表现出更高的临床评分。
多模态PA/US成像在RA评估中带来了潜在进展,特别是在滑膜组织的So评估和相关PA评分方面。然而,需要进一步研究,特别是更大样本量和多中心的研究。
本研究利用多模态PA/US成像分析类风湿关节炎(RA)患者的滑膜组织和受累关节。与传统的PDUS成像相比,PA方法显示出更高的敏感性,特别是在检测增厚滑膜和炎症腱鞘中的小血管方面。此外,观察到衍生的PA评分、PA+So模式与标准临床RA评分之间的相关性。这些发现表明,多模态PA/US成像可能是RA综合评估中的一种有价值工具,不仅能洞察疾病活动度,还能了解滑膜组织的氧合状态。然而,尽管这些结果很有前景,但仍需进一步研究,特别是在更大和更多样化的患者群体中。
⸸RA中的多模态PA/US成像:这种新技术用于评估滑膜组织中的So值并确定RA受累关节的PA评分。⸸与临床RA评分显著相关:PA评分、PA+So模式与标准临床RA指标之间存在显著相关性,暗示了该技术的潜在临床适用性。