• 文献检索
  • 文档翻译
  • 深度研究
  • 学术资讯
  • Suppr Zotero 插件Zotero 插件
  • 邀请有礼
  • 套餐&价格
  • 历史记录
应用&插件
Suppr Zotero 插件Zotero 插件浏览器插件Mac 客户端Windows 客户端微信小程序
定价
高级版会员购买积分包购买API积分包
服务
文献检索文档翻译深度研究API 文档MCP 服务
关于我们
关于 Suppr公司介绍联系我们用户协议隐私条款
关注我们

Suppr 超能文献

核心技术专利:CN118964589B侵权必究
粤ICP备2023148730 号-1Suppr @ 2026

文献检索

告别复杂PubMed语法,用中文像聊天一样搜索,搜遍4000万医学文献。AI智能推荐,让科研检索更轻松。

立即免费搜索

文件翻译

保留排版,准确专业,支持PDF/Word/PPT等文件格式,支持 12+语言互译。

免费翻译文档

深度研究

AI帮你快速写综述,25分钟生成高质量综述,智能提取关键信息,辅助科研写作。

立即免费体验

乙肝相关肝硬化患者的肝细胞癌风险:基于一项4年回顾性队列研究的竞争风险列线图

The hepatocellular carcinoma risk in patients with HBV-related cirrhosis: a competing risk nomogram based on a 4-year retrospective cohort study.

作者信息

Guo Dandan, Li Jianjun, Zhao Peng, Mei Tingting, Li Kang, Zhang Yonghong

机构信息

Interventional Therapy Center for Oncology, Beijing You'An Hospital, Capital Medical University, Beijing, China.

Biomedical Information Center, Beijing You'An Hospital, Capital Medical University, Beijing, China.

出版信息

Front Oncol. 2024 May 16;14:1398968. doi: 10.3389/fonc.2024.1398968. eCollection 2024.

DOI:10.3389/fonc.2024.1398968
PMID:38817899
原文链接:https://pmc.ncbi.nlm.nih.gov/articles/PMC11137271/
Abstract

OBJECTIVE

The study aimed to build and validate a competitive risk nomogram to predict the cumulative incidence of hepatocellular carcinoma (HCC) for patients with hepatitis B virus (HBV)-related cirrhosis.

METHODS

A total of 1401 HBV-related cirrhosis patients were retrospectively enrolled from January 1, 2011 to December 31, 2014. Application of 20 times imputation dealt with missing data using multiple imputation by chained equations (MICE). The patients were randomly divided into a training set ( = 1017) and a validation set ( = 384) at a ratio of 3:1. A prediction study was carried out using a competing risk model, where the event of interest was HCC and the competing events were death and liver transplantation, and subdistribution hazard ratios (sHRs) with 95% CIs were reported. The multivariate competing risk model was constructed and validated.

RESULTS

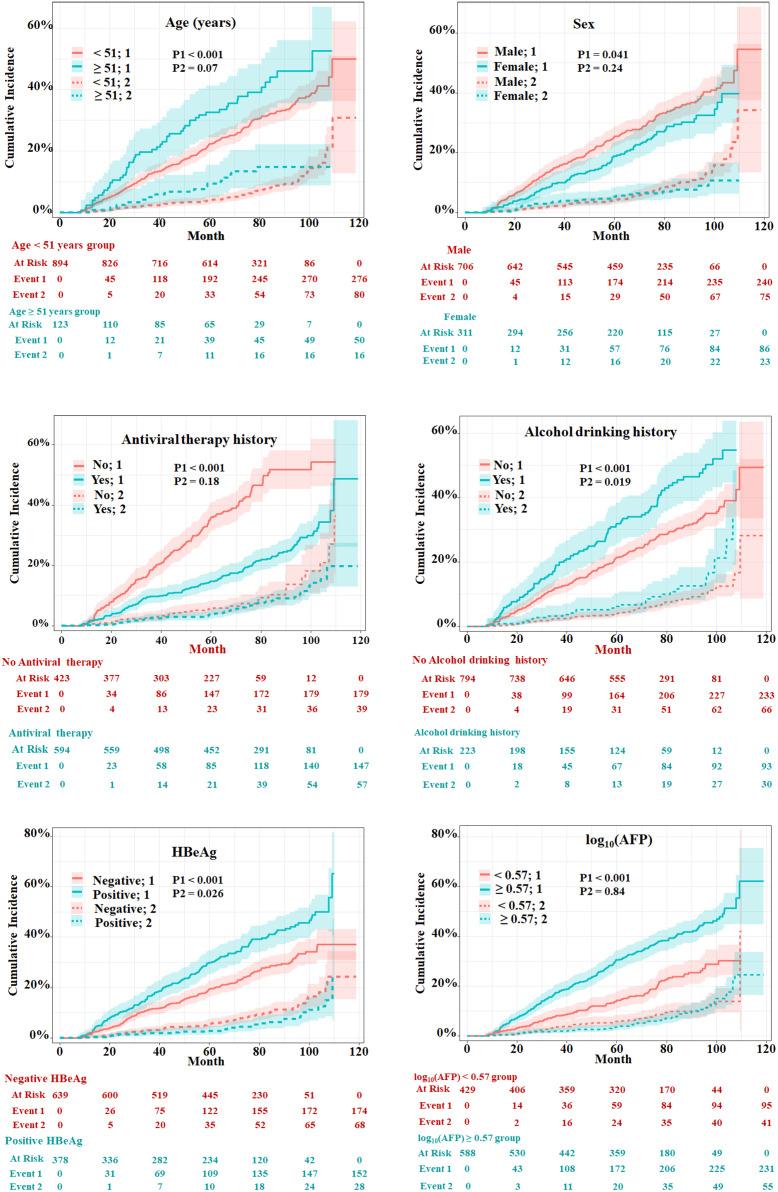
There was a negligible difference between the original database and the 20 imputed datasets. At the end of follow-up, the median follow-up time was 69.9 months (interquartile range: 43.8-86.6). There were 31.5% (442/1401) of the patients who developed HCC, with a 5-year cumulative incidence of 22.9 (95%CI, 20.8%-25.2%). The univariate and multivariate competing risk regression and construction of the nomogram were performed in 20 imputed training datasets. Age, sex, antiviral therapy history, hepatitis B e antigen, alcohol drinking history, and alpha-fetoprotein levels were included in the nomogram. The area under receiver operating characteristic curve values at 12, 24, 36, 60, and 96 months were 0.68, 0.69, 0.70, 0.68, and 0.80, and the Brier scores were 0.30, 0.25, 0.23, 0.21, and 0.20 in the validation set. According to the cumulative incidence function, the nomogram effectively screened out high-risk HCC patients from low-risk patients in the presence of competing events (Fine-Gray test < 0.001).

CONCLUSION

The competitive risk nomogram was allowed to be used for predicting HCC risk in individual patients with liver cirrhosis, taking into account both the association between risk factors and HCC and the modifying effect of competition events on this association.

摘要

目的

本研究旨在构建并验证一种竞争风险列线图,以预测乙型肝炎病毒(HBV)相关肝硬化患者肝细胞癌(HCC)的累积发病率。

方法

回顾性纳入2011年1月1日至2014年12月31日期间共1401例HBV相关肝硬化患者。采用链式方程多重填补法(MICE)进行20次填补以处理缺失数据。患者按3:1的比例随机分为训练集(n = 1017)和验证集(n = 384)。使用竞争风险模型进行预测研究,其中感兴趣的事件是HCC,竞争事件是死亡和肝移植,并报告了95%置信区间的亚分布风险比(sHRs)。构建并验证了多变量竞争风险模型。

结果

原始数据库与20个填补数据集之间的差异可忽略不计。随访结束时,中位随访时间为69.9个月(四分位间距:43.8 - 86.6)。有31.5%(442/1401)的患者发生了HCC,5年累积发病率为22.9(95%CI,20.8% - 25.2%)。在20个填补后的训练数据集中进行了单变量和多变量竞争风险回归以及列线图的构建。列线图纳入了年龄、性别、抗病毒治疗史、乙肝e抗原、饮酒史和甲胎蛋白水平。验证集中12、24、36、60和96个月时的受试者操作特征曲线下面积值分别为0.68、0.69、0.70、0.68和0.80,Brier评分分别为0.

https://cdn.ncbi.nlm.nih.gov/pmc/blobs/3186/11137271/00a7a40fc043/fonc-14-1398968-g006.jpg
https://cdn.ncbi.nlm.nih.gov/pmc/blobs/3186/11137271/bff820c0b7a5/fonc-14-1398968-g001.jpg
https://cdn.ncbi.nlm.nih.gov/pmc/blobs/3186/11137271/8085faf50601/fonc-14-1398968-g002.jpg
https://cdn.ncbi.nlm.nih.gov/pmc/blobs/3186/11137271/383954459618/fonc-14-1398968-g003.jpg
https://cdn.ncbi.nlm.nih.gov/pmc/blobs/3186/11137271/9943b216e31e/fonc-14-1398968-g004.jpg
https://cdn.ncbi.nlm.nih.gov/pmc/blobs/3186/11137271/b38a2f0b92c7/fonc-14-1398968-g005.jpg
https://cdn.ncbi.nlm.nih.gov/pmc/blobs/3186/11137271/00a7a40fc043/fonc-14-1398968-g006.jpg
https://cdn.ncbi.nlm.nih.gov/pmc/blobs/3186/11137271/bff820c0b7a5/fonc-14-1398968-g001.jpg
https://cdn.ncbi.nlm.nih.gov/pmc/blobs/3186/11137271/8085faf50601/fonc-14-1398968-g002.jpg
https://cdn.ncbi.nlm.nih.gov/pmc/blobs/3186/11137271/383954459618/fonc-14-1398968-g003.jpg
https://cdn.ncbi.nlm.nih.gov/pmc/blobs/3186/11137271/9943b216e31e/fonc-14-1398968-g004.jpg
https://cdn.ncbi.nlm.nih.gov/pmc/blobs/3186/11137271/b38a2f0b92c7/fonc-14-1398968-g005.jpg
https://cdn.ncbi.nlm.nih.gov/pmc/blobs/3186/11137271/00a7a40fc043/fonc-14-1398968-g006.jpg

相似文献

1
The hepatocellular carcinoma risk in patients with HBV-related cirrhosis: a competing risk nomogram based on a 4-year retrospective cohort study.乙肝相关肝硬化患者的肝细胞癌风险:基于一项4年回顾性队列研究的竞争风险列线图
Front Oncol. 2024 May 16;14:1398968. doi: 10.3389/fonc.2024.1398968. eCollection 2024.
2
Development of a nomogram to predict the risk of hepatocellular carcinoma in patients with hepatitis B-related cirrhosis on antivirals.用于预测接受抗病毒治疗的乙型肝炎相关肝硬化患者肝细胞癌风险的列线图的开发。
Front Oncol. 2023 Feb 16;13:1128062. doi: 10.3389/fonc.2023.1128062. eCollection 2023.
3
Predicting cancer-specific mortality in T1/2 hepatocellular carcinoma after radiofrequency ablation by competing risk nomogram: A population-based analysis.通过竞争风险列线图预测T1/2期肝细胞癌射频消融术后的癌症特异性死亡率:一项基于人群的分析。
Clin Res Hepatol Gastroenterol. 2024 Feb;48(2):102283. doi: 10.1016/j.clinre.2024.102283. Epub 2024 Jan 12.
4
Construction and validation of a machine learning-based nomogram to predict the prognosis of HBV associated hepatocellular carcinoma patients with high levels of hepatitis B surface antigen in primary local treatment: a multicenter study.基于机器学习的列线图构建与验证:预测初治时高乙型肝炎表面抗原水平的乙型肝炎病毒相关肝细胞癌患者的预后:一项多中心研究。
Front Immunol. 2024 Mar 27;15:1357496. doi: 10.3389/fimmu.2024.1357496. eCollection 2024.
5
Prediction models of long-term cirrhosis and hepatocellular carcinoma risk in chronic hepatitis B patients: risk scores integrating host and virus profiles.慢性乙型肝炎患者长期肝硬化和肝细胞癌风险的预测模型:整合宿主和病毒特征的风险评分。
Hepatology. 2013 Aug;58(2):546-54. doi: 10.1002/hep.26385.
6
Development and validation of a nomogram to predict recompensation in HBV-related cirrhosis with ascites as the single first decompensating event.一种以腹水作为首个单一失代偿事件预测HBV相关性肝硬化再代偿的列线图的开发与验证
Scand J Gastroenterol. 2023 Jul-Dec;58(8):915-922. doi: 10.1080/00365521.2023.2181037. Epub 2023 Feb 23.
7
Hepatocellular carcinoma progression in hepatitis B virus-related cirrhosis patients receiving nucleoside (acid) analogs therapy: A retrospective cross-sectional study.接受核苷(酸)类似物治疗的乙型肝炎病毒相关肝硬化患者的肝细胞癌进展:一项回顾性横断面研究。
World J Gastroenterol. 2021 May 7;27(17):2025-2038. doi: 10.3748/wjg.v27.i17.2025.
8
Nomogram for Preoperative Estimation of Microvascular Invasion Risk in Hepatitis B Virus-Related Hepatocellular Carcinoma Within the Milan Criteria.米兰标准范围内乙型肝炎病毒相关性肝细胞癌微血管侵犯风险的术前预测列线图。
JAMA Surg. 2016 Apr;151(4):356-63. doi: 10.1001/jamasurg.2015.4257.
9
Construction of webbased prediction nomogram models for cancerspecific survival in patients at stage IV of hepatocellular carcinoma depending on SEER database.基于监测、流行病学和最终结果(SEER)数据库构建用于预测肝细胞癌IV期患者癌症特异性生存的网络预测列线图模型。
Zhong Nan Da Xue Xue Bao Yi Xue Ban. 2023 Oct 28;48(10):1546-1560. doi: 10.11817/j.issn.1672-7347.2023.230040.
10
Construction and validation of a nomogram for HBV-related hepatocellular carcinoma: A large, multicenter study.构建并验证乙型肝炎病毒相关肝细胞癌的列线图:一项大型多中心研究。
Ann Hepatol. 2023 Jul-Aug;28(4):101109. doi: 10.1016/j.aohep.2023.101109. Epub 2023 Apr 24.

引用本文的文献

1
Identification of Key Gene Related to Matrisome in HBV-Associated Liver Cirrhosis via Bioinformatics Analysis.通过生物信息学分析鉴定与乙肝相关肝硬化中基质体相关的关键基因
Int J Hepatol. 2025 Aug 25;2025:5532643. doi: 10.1155/ijh/5532643. eCollection 2025.
2
Predicting microvascular invasion in solitary hepatocellular carcinoma: a multi-center study integrating clinical, MRI assessments, and radiomics indicators.预测孤立性肝细胞癌中的微血管侵犯:一项整合临床、MRI评估和影像组学指标的多中心研究
Front Oncol. 2025 Feb 19;15:1511260. doi: 10.3389/fonc.2025.1511260. eCollection 2025.

本文引用的文献

1
mTOR-dependent loss of PON1 secretion and antiphospholipid autoantibody production underlie autoimmunity-mediated cirrhosis in transaldolase deficiency.转醛醇酶缺乏导致的自身免疫性疾病相关性肝硬化的发病机制与 mTOR 依赖性 PON1 分泌缺失和抗磷脂自身抗体产生有关。
J Autoimmun. 2023 Nov;140:103112. doi: 10.1016/j.jaut.2023.103112. Epub 2023 Sep 22.
2
Individual surveillance by competing risk model for patients with hepatocellular carcinoma occurrence in all-cause cirrhosis.采用竞争风险模型对全因性肝硬化患者肝细胞癌发生情况进行个体监测。
J Cancer Res Clin Oncol. 2023 Nov;149(14):13403-13416. doi: 10.1007/s00432-023-04911-y. Epub 2023 Jul 26.
3
Cytosolic aldose metabolism contributes to progression from cirrhosis to hepatocarcinogenesis.
细胞质醛糖代谢促进肝硬化向肝癌发生的进展。
Nat Metab. 2023 Jan;5(1):41-60. doi: 10.1038/s42255-022-00711-9. Epub 2023 Jan 19.
4
Aldolase B suppresses hepatocellular carcinogenesis by inhibiting G6PD and pentose phosphate pathways.醛缩酶B通过抑制葡萄糖-6-磷酸脱氢酶(G6PD)和磷酸戊糖途径来抑制肝细胞癌发生。
Nat Cancer. 2020 Jul;1(7):735-747. doi: 10.1038/s43018-020-0086-7. Epub 2020 Jul 6.
5
External validation of the Toronto hepatocellular carcinoma risk index in a Swedish population.多伦多肝细胞癌风险指数在瑞典人群中的外部验证。
JHEP Rep. 2021 Aug 8;3(5):100343. doi: 10.1016/j.jhepr.2021.100343. eCollection 2021 Oct.
6
2019 Chinese clinical guidelines for the management of hepatocellular carcinoma: updates and insights.《2019年中国肝细胞癌管理临床指南:更新与见解》
Hepatobiliary Surg Nutr. 2020 Aug;9(4):452-463. doi: 10.21037/hbsn-20-480.
7
Influence of Competing Risks on Estimates of Recurrence Risk and Breast Cancer-specific Mortality in Analyses of the Early Breast Cancer Trialists Collaborative Group.早期乳腺癌试验者协作组分析中竞争风险对复发风险和乳腺癌特异性死亡率估计的影响。
Sci Rep. 2020 Mar 5;10(1):4091. doi: 10.1038/s41598-020-61093-0.
8
Burden of Cirrhosis and Other Chronic Liver Diseases Caused by Specific Etiologies in China, 1990-2016: Findings from the Global Burden of Disease Study 2016.中国特定病因导致的肝硬化和其他慢性肝病负担:2016 年全球疾病负担研究的结果。
Biomed Environ Sci. 2020 Jan 20;33(1):1-10. doi: 10.3967/bes2020.001.
9
[Chinese guidelines on the management of liver cirrhosis].[肝硬化管理中国指南]
Zhonghua Gan Zang Bing Za Zhi. 2019 Nov 20;27(11):846-865. doi: 10.3760/cma.j.issn.1007-3418.2019.11.008.
10
Competing-risks model for predicting the prognosis of penile cancer based on the SEER database.基于 SEER 数据库的预测阴茎癌预后的竞争风险模型。
Cancer Med. 2019 Dec;8(18):7881-7889. doi: 10.1002/cam4.2649. Epub 2019 Oct 27.