Suppr超能文献

4 组份通用菌毛膜抗原 Shigella 疫苗在健康欧洲成年人中的安全性和免疫原性:随机、1/2 期研究。

Safety and Immunogenicity of a 4-Component Generalized Modules for Membrane Antigens Shigella Vaccine in Healthy European Adults: Randomized, Phase 1/2 Study.

机构信息

Center for Vaccinology, Ghent University and Ghent University Hospital, Ghent, Belgium.

GSK Vaccines Institute for Global Health, GSK, Siena, Italy.

出版信息

J Infect Dis. 2024 Oct 16;230(4):e971-e984. doi: 10.1093/infdis/jiae273.

Abstract

BACKGROUND

We report data from stage 1 of an ongoing 2-staged, phase 1/2 randomized clinical trial with a 4-component generalized modules for membrane antigens-based vaccine against Shigella sonnei and Shigella flexneri 1b, 2a, and 3a (altSonflex1-2-3; GSK).

METHODS

Europeans aged 18-50 years (N = 102) were randomized (2:1) to receive 2 injections of altSonflex1-2-3 or placebo at 3- or 6-month interval. Safety and immunogenicity were assessed at prespecified time points.

RESULTS

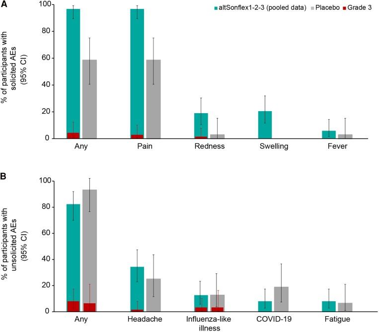
The most common solicited administration-site event (until 7 days after each injection) and unsolicited adverse event (until 28 days after each injection) were pain (altSonflex1-2-3, 97.1%; placebo, 58.8%) and headache (32.4%; 23.5%), respectively. All serotype-specific functional IgG antibodies peaked 14-28 days after injection 1 and remained substantially higher than prevaccination at 3 or 6 months postvaccination; the second injection did not boost but restored the initial immune response. The highest seroresponse rates (≥4-fold increase in titers over baseline) were obtained against S. flexneri 2a (enzyme-linked immunosorbent assay [ELISA] after injection 1, 91.0%; after injection 2 [day 113; day 197], 100%; 97.0% and serum bactericidal activity [SBA] after injection 1, 94.4%; after injection 2, 85.7%; 88.9%) followed by S. sonnei (ELISA after injection 1, 77.6%; after injection 2, 84.6%; 78.8% and SBA after injection 1, 83.3%; after injection 2, 71.4%; 88.9%). Immune responses against S. flexneri 1b and S. flexneri 3a, as measured by both ELISA and SBA, were numerically lower compared to those against S. sonnei and S. flexneri 2a.

CONCLUSIONS

No safety signals or concerns were identified. altSonflex1-2-3 induced functional serotype-specific immune responses, allowing further clinical development in the target population. Clinical Trials Registration . NCT05073003.

摘要

背景

我们报告了一项正在进行的两阶段、1/2 期随机临床试验第 1 阶段的数据,该试验采用了基于膜抗原的通用模块的 4 种成分疫苗,用于预防宋内志贺菌和福氏志贺菌 1b、2a 和 3a(altSonflex1-2-3;GSK)。

方法

18-50 岁的欧洲人(N=102)按 2:1 的比例随机分配(3 个月或 6 个月间隔)接受 2 次 altSonflex1-2-3 或安慰剂注射。在预先指定的时间点评估安全性和免疫原性。

结果

最常见的注射部位局部不良事件(每次注射后 7 天内)和不良事件(每次注射后 28 天内)是疼痛(altSonflex1-2-3,97.1%;安慰剂,58.8%)和头痛(32.4%;23.5%)。所有血清型特异性功能性 IgG 抗体在注射后 14-28 天达到峰值,并且在接种后 3 或 6 个月时仍明显高于接种前;第二次注射没有增强,但恢复了初始免疫反应。最高的血清反应率(与基线相比,滴度增加 4 倍以上)是针对福氏志贺菌 2a(酶联免疫吸附试验[ELISA],注射后 1 天,91.0%;注射后 2 天[第 113 天;第 197 天],100%;97.0%和血清杀菌活性[SBA],注射后 1 天,94.4%;注射后 2 天,85.7%;88.9%),其次是宋内志贺菌(ELISA,注射后 1 天,77.6%;注射后 2 天,84.6%;78.8%和 SBA,注射后 1 天,83.3%;注射后 2 天,71.4%;88.9%)。与宋内志贺菌和福氏志贺菌 2a 相比,通过 ELISA 和 SBA 测量的福氏志贺菌 1b 和福氏志贺菌 3a 的免疫反应数值较低。

结论

未发现安全性信号或问题。altSonflex1-2-3 诱导了针对特定血清型的功能性免疫应答,允许在目标人群中进一步进行临床开发。临床试验注册。NCT05073003。

https://cdn.ncbi.nlm.nih.gov/pmc/blobs/b04b/11481318/cdecabfad7dd/jiae273_ga.jpg

文献AI研究员

20分钟写一篇综述,助力文献阅读效率提升50倍。

立即体验

用中文搜PubMed

大模型驱动的PubMed中文搜索引擎

马上搜索

文档翻译

学术文献翻译模型,支持多种主流文档格式。

立即体验