Suppr超能文献

对锰硅d波反铁磁候选材料中自发反常霍尔响应的观测。

Observation of a spontaneous anomalous Hall response in the MnSi d-wave altermagnet candidate.

作者信息

Reichlova Helena, Lopes Seeger Rafael, González-Hernández Rafael, Kounta Ismaila, Schlitz Richard, Kriegner Dominik, Ritzinger Philipp, Lammel Michaela, Leiviskä Miina, Birk Hellenes Anna, Olejník Kamil, Petřiček Vaclav, Doležal Petr, Horak Lukas, Schmoranzerova Eva, Badura Antonín, Bertaina Sylvain, Thomas Andy, Baltz Vincent, Michez Lisa, Sinova Jairo, Goennenwein Sebastian T B, Jungwirth Tomáš, Šmejkal Libor

机构信息

Institut für Festkörper- und Materialphysik and Würzburg-Dresden Cluster of Excellence ct.qmat, Technische Universität Dresden, 01062, Dresden, Germany.

Institute of Physics, Czech Academy of Sciences, Cukrovarnická 10, 162 00, Praha 6, Czech Republic.

出版信息

Nat Commun. 2024 Jun 11;15(1):4961. doi: 10.1038/s41467-024-48493-w.

Abstract

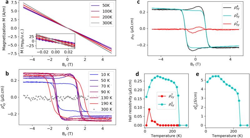
Phases with spontaneous time-reversal ( ) symmetry breaking are sought after for their anomalous physical properties, low-dissipation electronic and spin responses, and information-technology applications. Recently predicted altermagnetic phase features an unconventional and attractive combination of a strong -symmetry breaking in the electronic structure and a zero or only weak-relativistic magnetization. In this work, we experimentally observe the anomalous Hall effect, a prominent representative of the -symmetry breaking responses, in the absence of an external magnetic field in epitaxial thin-film MnSi with a vanishingly small net magnetic moment. By symmetry analysis and first-principles calculations we demonstrate that the unconventional d-wave altermagnetic phase is consistent with the experimental structural and magnetic characterization of the MnSi epilayers, and that the theoretical anomalous Hall conductivity generated by the phase is sizable, in agreement with experiment. An analogy with unconventional d-wave superconductivity suggests that our identification of a candidate of unconventional d-wave altermagnetism points towards a new chapter of research and applications of magnetic phases.

摘要

具有自发时间反演( )对称性破缺的相因其反常的物理性质、低耗散电子和自旋响应以及信息技术应用而备受关注。最近预测的交替磁相具有电子结构中强烈的 -对称性破缺与零或仅弱相对论性磁化强度的非常规且吸引人的组合。在这项工作中,我们在具有极小净磁矩的外延薄膜MnSi中,在没有外部磁场的情况下,通过实验观测到反常霍尔效应,这是 -对称性破缺响应的一个突出代表。通过对称性分析和第一性原理计算,我们证明非常规d波交替磁相与MnSi外延层的实验结构和磁性表征一致,并且该相产生的理论反常霍尔电导率很大,与实验相符。与非常规d波超导的类比表明,我们对非常规d波交替磁体候选物的识别为磁相的研究和应用开启了新篇章。

https://cdn.ncbi.nlm.nih.gov/pmc/blobs/44ba/11167012/3891c6010267/41467_2024_48493_Fig1_HTML.jpg

文献AI研究员

20分钟写一篇综述,助力文献阅读效率提升50倍。

立即体验

用中文搜PubMed

大模型驱动的PubMed中文搜索引擎

马上搜索

文档翻译

学术文献翻译模型,支持多种主流文档格式。

立即体验