Suppr超能文献

体育活动对主观幸福感的影响:社会支持和自我效能感的中介作用。

Effects of physical activity on subjective well-being: the mediating role of social support and self-efficacy.

作者信息

Guo Siqiang, Fu Huaying, Guo Kelei

机构信息

School of Physical Education and Health, Zhaoqing University, Zhaoqing, Guangdong, China.

College of Economics and Management, Zhaoqing University, Zhaoqing, Guangdong, China.

出版信息

Front Sports Act Living. 2024 May 28;6:1362816. doi: 10.3389/fspor.2024.1362816. eCollection 2024.

Abstract

OBJECTIVE

Subjective well-being is an essential component of college students' mental health, and the purpose of this study was to investigate the relationship between physical activity and subjective well-being among college students and to examine the mediating role of social support and self-efficacy between the physical activity and subjective well-being.

METHODS

This study utilized a cross-sectional design with a stratified whole group sample of 989 college students (M = 19.65 years, SD = 1.1) from three universities in Guangdong Province, China, and used the Physical Activity Scale, Subjective Well-Being Scale, Social Support Scale, and Self-Efficacy Scale for data collection. In this study, SPSS 26.0 was used for descriptive statistical analysis and correlation analysis of the collected data. Harman's one-way method was used to test for common method bias.

RESULTS

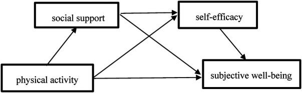
(1) Physical activity, subjective well-being, social support and self-efficacy were significantly correlated with each other. Among them, physical activity was significantly and positively correlated with subjective well-being ( 0.36), physical activity directly predicted subjective well-being (0.125, 3.992, 0.01). (2) Physical activity positively predicted social support (0.386,  12.505,  0.01) and self-efficacy ( 0.358, 11.793, 0.01), social support significantly positively predicted subjective well-being (0.332, 11.370, 0.01) and self-efficacy ( 0.254, 8.744, 0.01), self-efficacy significantly and positively predicted subjective well-being (0.255, 8.251, 0.01). (3) Not only did social support and self-efficacy play an independent mediating role between physical activity and subjective well-being, but social support and self-efficacy played a chain mediating role between physical activity and subjective well-being.

CONCLUSION

This study enriched the theoretical guidance for physical activity in promoting college students' subjective well-being. In the practical teaching of promoting college students' subjective well-being, in addition to paying attention to stimulating physical activity, special attention should be paid to the promotion of social support and self-efficacy.

摘要

目的

主观幸福感是大学生心理健康的重要组成部分,本研究旨在探讨大学生体育活动与主观幸福感之间的关系,并检验社会支持和自我效能感在体育活动与主观幸福感之间的中介作用。

方法

本研究采用横断面设计,对来自中国广东省三所大学的989名大学生(M = 19.65岁,SD = 1.1)进行分层整群抽样,并使用体育活动量表、主观幸福感量表、社会支持量表和自我效能量表收集数据。本研究使用SPSS 26.0对收集到的数据进行描述性统计分析和相关性分析。采用Harman单因素法检验共同方法偏差。

结果

(1)体育活动、主观幸福感、社会支持和自我效能感之间存在显著相关性。其中,体育活动与主观幸福感显著正相关(0.36),体育活动直接预测主观幸福感(0.125,3.992,0.01)。(2)体育活动正向预测社会支持(0.386,12.505,0.01)和自我效能感(0.358,11.793,0.01),社会支持显著正向预测主观幸福感(0.332,11.370,0.01)和自我效能感(0.254,8.744,0.01),自我效能感显著正向预测主观幸福感(0.255,8.251,0.01)。(3)社会支持和自我效能感不仅在体育活动与主观幸福感之间起独立中介作用,而且在体育活动与主观幸福感之间起链式中介作用。

结论

本研究丰富了体育活动促进大学生主观幸福感的理论指导。在促进大学生主观幸福感的实践教学中,除了注重激发体育活动外,还应特别关注社会支持和自我效能感的提升。

https://cdn.ncbi.nlm.nih.gov/pmc/blobs/9a69/11165021/a05abb5bb22e/fspor-06-1362816-g001.jpg

文献AI研究员

20分钟写一篇综述,助力文献阅读效率提升50倍。

立即体验

用中文搜PubMed

大模型驱动的PubMed中文搜索引擎

马上搜索

文档翻译

学术文献翻译模型,支持多种主流文档格式。

立即体验