Suppr超能文献

一种基于日本患者肠道微生物群失调的抑郁症风险评估方法。

A risk estimation method for depression based on the dysbiosis of intestinal microbiota in Japanese patients.

作者信息

Okuma Kana, Hatayama Kouta, Tokuno Hidetaka, Ebara Aya, Odachi Ayano, Masuyama Hiroaki, Hoshiko Naomi, Tanaka Nobuaki

机构信息

Symbiosis Solutions Inc., Tokyo, Japan.

Department of Clinical Biology and Hormonal Regulation, Tohoku University Graduate School of Medicine, Sendai, Japan.

出版信息

Front Psychiatry. 2024 May 28;15:1382175. doi: 10.3389/fpsyt.2024.1382175. eCollection 2024.

Abstract

INTRODUCTION

Early detection of depression is important for preventing depression-related suicides and reducing the risk of recurrence. This study explored the association between depression and intestinal microbiota and developed a depression risk-estimation method based on this.

METHODS

The intestinal microbiota of Japanese patients with depression (33 males and 35 females) and disease-free controls (246 males and 384 females) in their 20's to 60's were compared by sex using 16S rRNA gene amplicon sequencing. A depression-risk estimation method was developed using structural equation modeling.

RESULTS

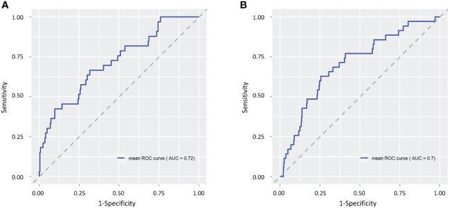
Intestinal bacteria taxa that differed between depression and control groups were identified based on effect size (absolute value greater than 0.2). was more abundant, while , , _XlVb, and were less abundant in the male depression group compared to the male control group. In the female depression group, , , and were more abundant, whereas and were less abundant compared to the female control group. Several of the intestinal bacterial taxa that were less abundant in depression were associated with butyrate or hydrogen production. Using these depression-associated intestinal bacteria as indicators, risk-estimation models using structural equation modeling for depression were developed. In the risk-estimation models for males and females, the areas under the receiver operating characteristic curve were 0.72 and 0.70, respectively, indicating that these models can distinguish between individuals with and without depression.

CONCLUSIONS

This study provides insights into depression etiology and aids in its early detection and treatment.

摘要

引言

早期发现抑郁症对于预防与抑郁症相关的自杀行为以及降低复发风险至关重要。本研究探讨了抑郁症与肠道微生物群之间的关联,并基于此开发了一种抑郁症风险评估方法。

方法

使用16S rRNA基因扩增子测序,按性别比较了20多岁至60多岁的日本抑郁症患者(33名男性和35名女性)和无病对照者(246名男性和384名女性)的肠道微生物群。使用结构方程模型开发了一种抑郁症风险评估方法。

结果

根据效应大小(绝对值大于0.2)确定了抑郁症组和对照组之间存在差异的肠道细菌分类群。与男性对照组相比,男性抑郁症组中 更为丰富,而 、 、_XlVb和 则较少。在女性抑郁症组中, 、 和 更为丰富,而与女性对照组相比, 和 较少。抑郁症中丰度较低的几种肠道细菌分类群与丁酸盐或氢气产生有关。以这些与抑郁症相关的肠道细菌为指标,使用结构方程模型开发了抑郁症风险评估模型。在男性和女性的风险评估模型中,受试者工作特征曲线下面积分别为0.72和0.70,表明这些模型可以区分抑郁症患者和非抑郁症患者。

结论

本研究为抑郁症病因学提供了见解,并有助于其早期发现和治疗。

https://cdn.ncbi.nlm.nih.gov/pmc/blobs/3f29/11165696/0d43881bd8d9/fpsyt-15-1382175-g001.jpg

文献AI研究员

20分钟写一篇综述,助力文献阅读效率提升50倍。

立即体验

用中文搜PubMed

大模型驱动的PubMed中文搜索引擎

马上搜索

文档翻译

学术文献翻译模型,支持多种主流文档格式。

立即体验