• 文献检索
  • 文档翻译
  • 深度研究
  • 学术资讯
  • Suppr Zotero 插件Zotero 插件
  • 邀请有礼
  • 套餐&价格
  • 历史记录
应用&插件
Suppr Zotero 插件Zotero 插件浏览器插件Mac 客户端Windows 客户端微信小程序
定价
高级版会员购买积分包购买API积分包
服务
文献检索文档翻译深度研究API 文档MCP 服务
关于我们
关于 Suppr公司介绍联系我们用户协议隐私条款
关注我们

Suppr 超能文献

核心技术专利:CN118964589B侵权必究
粤ICP备2023148730 号-1Suppr @ 2026

文献检索

告别复杂PubMed语法,用中文像聊天一样搜索,搜遍4000万医学文献。AI智能推荐,让科研检索更轻松。

立即免费搜索

文件翻译

保留排版,准确专业,支持PDF/Word/PPT等文件格式,支持 12+语言互译。

免费翻译文档

深度研究

AI帮你快速写综述,25分钟生成高质量综述,智能提取关键信息,辅助科研写作。

立即免费体验

组织蛋白酶 F 表达降低预示着透明细胞肾细胞癌患者预后不良。

Reduced expression of cathepsin F predicts poor prognosis in patients with clear cell renal cell carcinoma.

机构信息

School of Chemistry and Environmental Science, Guangdong Ocean University, Zhanjiang, 524088, China.

Department of Pharmacy, Affiliated Hospital of Guangdong Medical University, Guangdong, 524001, China.

出版信息

Sci Rep. 2024 Jun 12;14(1):13556. doi: 10.1038/s41598-024-64542-2.

DOI:10.1038/s41598-024-64542-2
PMID:38866930
原文链接:https://pmc.ncbi.nlm.nih.gov/articles/PMC11169360/
Abstract

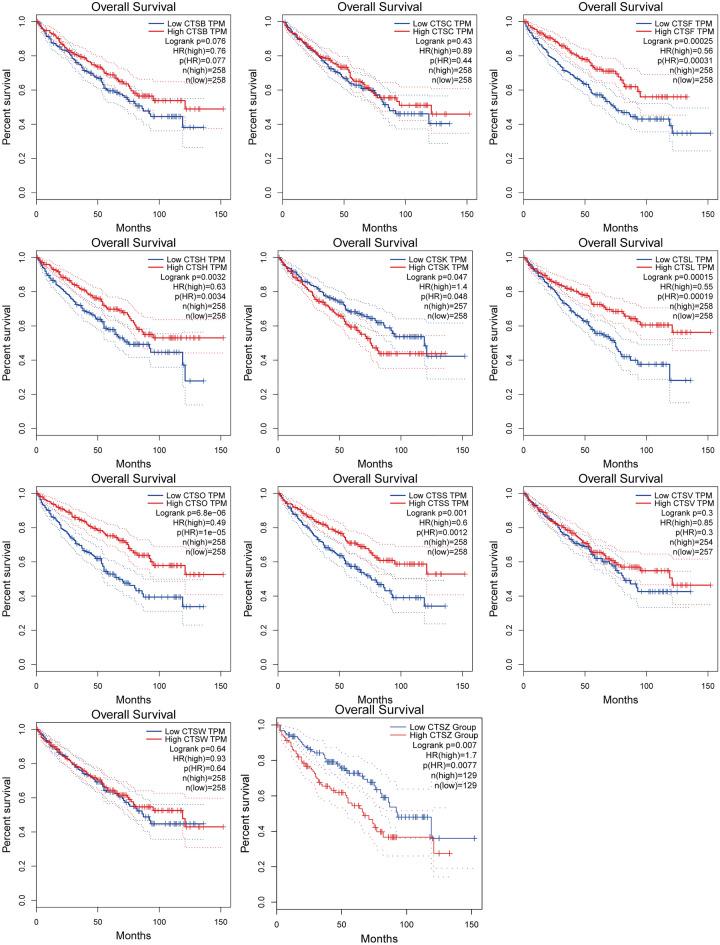
Abnormalities in the extracellular matrix (ECM) play important roles in the regulation and progression of clear cell renal cell carcinoma (ccRCC). The cysteine cathepsin is one of the major proteases involved in ECM remodeling and has been shown to be aberrantly expressed in multiple cancer types. However, the clinical significance and biological function of distinct cysteine cathepsins in ccRCC remain poorly understood. In this study, several bioinformatics databases, including UALCAN, TIMER, GEPIA and the Human Protein Atlas datasets, were used to analyze the expression and prognostic value of different cysteine cathepsin family members in ccRCC. We found that the expression level of CTSF was downregulated in tumor tissues and closely related to the poor survival of ccRCC patients. Further in vitro experiments suggested that CTSF overexpression suppressed the proliferation and migration of ccRCC cells. Moreover, the expression of CTSF was shown to be associated with several immune-infiltrating cells and immunomodulators in ccRCC. These results indicated that CTSF might be a promising diagnostic and prognostic marker in ccRCC.

摘要

细胞外基质 (ECM) 的异常在透明细胞肾细胞癌 (ccRCC) 的调控和进展中起着重要作用。半胱氨酸组织蛋白酶是参与 ECM 重塑的主要蛋白酶之一,已在多种癌症类型中显示出异常表达。然而,不同半胱氨酸组织蛋白酶在 ccRCC 中的临床意义和生物学功能仍知之甚少。在这项研究中,我们使用了UALCAN、TIMER、GEPIA 和人类蛋白质图谱数据集等几个生物信息学数据库,分析了不同半胱氨酸组织蛋白酶家族成员在 ccRCC 中的表达和预后价值。我们发现 CTSF 的表达水平在肿瘤组织中下调,与 ccRCC 患者的不良预后密切相关。进一步的体外实验表明,CTSF 过表达抑制了 ccRCC 细胞的增殖和迁移。此外,CTSF 的表达与 ccRCC 中的几种免疫浸润细胞和免疫调节剂有关。这些结果表明 CTSF 可能是 ccRCC 有前途的诊断和预后标志物。

https://cdn.ncbi.nlm.nih.gov/pmc/blobs/06f8/11169360/4f869bc68720/41598_2024_64542_Fig7_HTML.jpg
https://cdn.ncbi.nlm.nih.gov/pmc/blobs/06f8/11169360/973635e15735/41598_2024_64542_Fig1_HTML.jpg
https://cdn.ncbi.nlm.nih.gov/pmc/blobs/06f8/11169360/5393825baf03/41598_2024_64542_Fig2_HTML.jpg
https://cdn.ncbi.nlm.nih.gov/pmc/blobs/06f8/11169360/0ac841fc72d6/41598_2024_64542_Fig3_HTML.jpg
https://cdn.ncbi.nlm.nih.gov/pmc/blobs/06f8/11169360/7621fa45f4d1/41598_2024_64542_Fig4_HTML.jpg
https://cdn.ncbi.nlm.nih.gov/pmc/blobs/06f8/11169360/0533ee1afd37/41598_2024_64542_Fig5_HTML.jpg
https://cdn.ncbi.nlm.nih.gov/pmc/blobs/06f8/11169360/94245e94108d/41598_2024_64542_Fig6_HTML.jpg
https://cdn.ncbi.nlm.nih.gov/pmc/blobs/06f8/11169360/4f869bc68720/41598_2024_64542_Fig7_HTML.jpg
https://cdn.ncbi.nlm.nih.gov/pmc/blobs/06f8/11169360/973635e15735/41598_2024_64542_Fig1_HTML.jpg
https://cdn.ncbi.nlm.nih.gov/pmc/blobs/06f8/11169360/5393825baf03/41598_2024_64542_Fig2_HTML.jpg
https://cdn.ncbi.nlm.nih.gov/pmc/blobs/06f8/11169360/0ac841fc72d6/41598_2024_64542_Fig3_HTML.jpg
https://cdn.ncbi.nlm.nih.gov/pmc/blobs/06f8/11169360/7621fa45f4d1/41598_2024_64542_Fig4_HTML.jpg
https://cdn.ncbi.nlm.nih.gov/pmc/blobs/06f8/11169360/0533ee1afd37/41598_2024_64542_Fig5_HTML.jpg
https://cdn.ncbi.nlm.nih.gov/pmc/blobs/06f8/11169360/94245e94108d/41598_2024_64542_Fig6_HTML.jpg
https://cdn.ncbi.nlm.nih.gov/pmc/blobs/06f8/11169360/4f869bc68720/41598_2024_64542_Fig7_HTML.jpg

相似文献

1
Reduced expression of cathepsin F predicts poor prognosis in patients with clear cell renal cell carcinoma.组织蛋白酶 F 表达降低预示着透明细胞肾细胞癌患者预后不良。
Sci Rep. 2024 Jun 12;14(1):13556. doi: 10.1038/s41598-024-64542-2.
2
Overexpression of cyclin F/CCNF as an independent prognostic factor for poor survival in clear cell renal cell carcinoma.细胞周期蛋白F/CCNF的过表达作为透明细胞肾细胞癌患者生存预后不良的独立危险因素。
Sci Rep. 2024 Apr 23;14(1):9280. doi: 10.1038/s41598-024-59437-1.
3
TMSB10 acts as a biomarker and promotes progression of clear cell renal cell carcinoma.TMSB10 作为一种生物标志物,促进了肾透明细胞癌的进展。
Int J Oncol. 2020 May;56(5):1101-1114. doi: 10.3892/ijo.2020.4991. Epub 2020 Feb 19.
4
Prognostic value of KLFs family genes in renal clear cell carcinoma.KLFs 家族基因在肾透明细胞癌中的预后价值。
Sci Rep. 2024 Aug 30;14(1):20204. doi: 10.1038/s41598-024-69892-5.
5
Low expression of ferritinophagy-related NCOA4 gene in relation to unfavorable outcome and defective immune cells infiltration in clear cell renal carcinoma.铁蛋白自噬相关基因 NCOA4 低表达与肾透明细胞癌不良预后及免疫细胞浸润缺陷有关。
BMC Cancer. 2021 Jan 5;21(1):18. doi: 10.1186/s12885-020-07726-z.
6
HJURP is a prognostic biomarker for clear cell renal cell carcinoma and is linked to immune infiltration.HJURP 是透明细胞肾细胞癌的预后生物标志物,与免疫浸润有关。
Int Immunopharmacol. 2021 Oct;99:107899. doi: 10.1016/j.intimp.2021.107899. Epub 2021 Jul 1.
7
Ubiquitin specific peptidase 19 is a prognostic biomarker and affect the proliferation and migration of clear cell renal cell carcinoma.泛素特异性肽酶 19 是一个预后生物标志物,可影响肾透明细胞癌的增殖和迁移。
Oncol Rep. 2020 Jun;43(6):1964-1974. doi: 10.3892/or.2020.7565. Epub 2020 Mar 26.
8
Bromodomain-containing protein 9 is a prognostic biomarker associated with immune infiltrates and promotes tumor malignancy through activating notch signaling pathway in negative HIF-2α clear cell renal cell carcinoma.含溴结构域蛋白9是一种与免疫浸润相关的预后生物标志物,在HIF-2α阴性的透明细胞肾细胞癌中通过激活Notch信号通路促进肿瘤恶性进展。
IUBMB Life. 2021 Nov;73(11):1334-1347. doi: 10.1002/iub.2547. Epub 2021 Aug 29.
9
Golgi Alpha-Mannosidase II as a Novel Biomarker Predicts Prognosis in Clear Cell Renal Cell Carcinoma.高尔基α-甘露糖苷酶 II 作为一种新型生物标志物预测透明细胞肾细胞癌的预后。
Oncol Res Treat. 2020;43(6):264-275. doi: 10.1159/000505931. Epub 2020 May 13.
10
RAC2 acts as a prognostic biomarker and promotes the progression of clear cell renal cell carcinoma.RAC2 可作为一种预后生物标志物,并促进肾透明细胞癌的进展。
Int J Oncol. 2019 Sep;55(3):645-656. doi: 10.3892/ijo.2019.4849. Epub 2019 Jul 26.

引用本文的文献

1
Genetic alterations in coronary cell lines exposed to sirolimus and paclitaxel.暴露于西罗莫司和紫杉醇的冠状动脉细胞系中的基因改变。
Arch Toxicol. 2025 Jun 6. doi: 10.1007/s00204-025-04101-4.
2
Integrating single-cell with transcriptome-proteome Mendelian randomization reveals colorectal cancer targets.整合单细胞与转录组-蛋白质组孟德尔随机化揭示结直肠癌靶点。
Discov Oncol. 2025 May 17;16(1):794. doi: 10.1007/s12672-025-02636-7.
3
Bioinformatics analysis reveals CTSF suppresses tumor cell malignant phenotype and CD8 + T cell exhaustion by downregulating Bcl- 2 protein in the microenvironment of bladder cancer.

本文引用的文献

1
Cathepsin W restrains peripheral regulatory T cells for mucosal immune quiescence.组织蛋白酶 W 抑制外周调节性 T 细胞以维持黏膜免疫静止状态。
Sci Adv. 2023 Jul 14;9(28):eadf3924. doi: 10.1126/sciadv.adf3924. Epub 2023 Jul 12.
2
Cathepsin B S-nitrosylation promotes ADAR1-mediated editing of its own mRNA transcript via an ADD1/MATR3 regulatory axis.组织蛋白酶 B 的 S-亚硝基化通过 ADD1/MATR3 调节轴促进 ADAR1 介导的自身 mRNA 转录本的编辑。
Cell Res. 2023 Jul;33(7):546-561. doi: 10.1038/s41422-023-00812-4. Epub 2023 May 8.
3
Intranasal delivery of BDNF-loaded small extracellular vesicles for cerebral ischemia therapy.
生物信息学分析表明,在膀胱癌微环境中,CTSF通过下调Bcl-2蛋白抑制肿瘤细胞的恶性表型和CD8 + T细胞耗竭。
Naunyn Schmiedebergs Arch Pharmacol. 2025 Apr 25. doi: 10.1007/s00210-025-04189-6.
4
Biomarkers associated with cell-in-cell structure in kidney renal clear cell carcinoma based on transcriptome sequencing.基于转录组测序的肾透明细胞癌中与细胞内细胞结构相关的生物标志物
PeerJ. 2025 Apr 16;13:e19246. doi: 10.7717/peerj.19246. eCollection 2025.
5
Causal relationship between cathepsins and major salivary gland neoplasms: a bidirectional Mendelian randomization study.组织蛋白酶与主要唾液腺肿瘤之间的因果关系:一项双向孟德尔随机化研究。
Gland Surg. 2024 Nov 30;13(11):2148-2162. doi: 10.21037/gs-24-374. Epub 2024 Nov 26.
脑源性神经营养因子负载的小细胞外囊泡经鼻腔给药治疗脑缺血。
J Control Release. 2023 May;357:1-19. doi: 10.1016/j.jconrel.2023.03.033. Epub 2023 Mar 28.
4
Phosphorylation of USP29 by CDK1 Governs TWIST1 Stability and Oncogenic Functions.CDK1 调控 USP29 对 TWIST1 稳定性及其致癌功能的影响
Adv Sci (Weinh). 2023 Apr;10(11):e2205873. doi: 10.1002/advs.202205873. Epub 2023 Feb 13.
5
EHBP1L1 Drives Immune Evasion in Renal Cell Carcinoma through Binding and Stabilizing JAK1.EHBP1L1 通过结合和稳定 JAK1 驱动肾细胞癌中的免疫逃逸。
Adv Sci (Weinh). 2023 Apr;10(11):e2206792. doi: 10.1002/advs.202206792. Epub 2023 Feb 12.
6
Clinical implications of T cell exhaustion for cancer immunotherapy.T 细胞耗竭对癌症免疫治疗的临床意义。
Nat Rev Clin Oncol. 2022 Dec;19(12):775-790. doi: 10.1038/s41571-022-00689-z. Epub 2022 Oct 10.
7
Transformable ECM Deprivation System Effectively Suppresses Renal Cell Carcinoma by Reversing Anoikis Resistance and Increasing Chemotherapy Sensitivity.可变形细胞外基质剥夺系统通过逆转失巢凋亡抗性和增加化疗敏感性有效抑制肾细胞癌。
Adv Mater. 2022 Oct;34(43):e2203518. doi: 10.1002/adma.202203518. Epub 2022 Sep 20.
8
Enhanced antigen cross-presentation in human colorectal cancer-associated fibroblasts through upregulation of the lysosomal protease cathepsin S.通过上调溶酶体蛋白酶组织蛋白酶 S 增强人结直肠癌相关成纤维细胞中的抗原交叉呈递。
J Immunother Cancer. 2022 Mar;10(3). doi: 10.1136/jitc-2021-003591.
9
UALCAN: An update to the integrated cancer data analysis platform.UALCAN:一个集成癌症数据分析平台的更新。
Neoplasia. 2022 Mar;25:18-27. doi: 10.1016/j.neo.2022.01.001. Epub 2022 Jan 22.
10
Expression signature, prognosis value and immune characteristics of cathepsin F in non-small cell lung cancer identified by bioinformatics assessment.生物信息学评估鉴定的非小细胞肺癌组织蛋白酶 F 的表达特征、预后价值和免疫特征。
BMC Pulm Med. 2021 Dec 20;21(1):420. doi: 10.1186/s12890-021-01796-w.