• 文献检索
  • 文档翻译
  • 深度研究
  • 学术资讯
  • Suppr Zotero 插件Zotero 插件
  • 邀请有礼
  • 套餐&价格
  • 历史记录
应用&插件
Suppr Zotero 插件Zotero 插件浏览器插件Mac 客户端Windows 客户端微信小程序
定价
高级版会员购买积分包购买API积分包
服务
文献检索文档翻译深度研究API 文档MCP 服务
关于我们
关于 Suppr公司介绍联系我们用户协议隐私条款
关注我们

Suppr 超能文献

核心技术专利:CN118964589B侵权必究
粤ICP备2023148730 号-1Suppr @ 2026

文献检索

告别复杂PubMed语法,用中文像聊天一样搜索,搜遍4000万医学文献。AI智能推荐,让科研检索更轻松。

立即免费搜索

文件翻译

保留排版,准确专业,支持PDF/Word/PPT等文件格式,支持 12+语言互译。

免费翻译文档

深度研究

AI帮你快速写综述,25分钟生成高质量综述,智能提取关键信息,辅助科研写作。

立即免费体验

孕期唾液激素、龋齿与致龋微生物之间的关联

Association between Salivary Hormones, Dental Caries, and Cariogenic Microorganisms during Pregnancy.

作者信息

Yang Ruqian, Lu Xingyi, Alomeir Nora, Quataert Sally, Wu Tongtong, Xiao Jin

机构信息

Eastman Institute for Oral Health, University of Rochester Medical Center, Rochester, NY 14620, USA.

Biostatistics and Computational Biology, University of Rochester Medical Center, Rochester, NY 14620, USA.

出版信息

J Clin Med. 2024 May 29;13(11):3183. doi: 10.3390/jcm13113183.

DOI:10.3390/jcm13113183
PMID:38892893
原文链接:https://pmc.ncbi.nlm.nih.gov/articles/PMC11173116/
Abstract

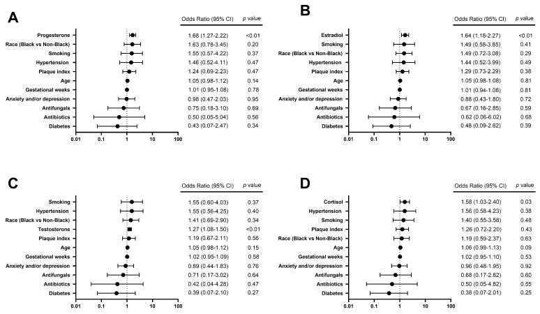
: This study aimed to identify the salivary levels of six hormones (progesterone, estradiol, testosterone, cortisol, thyroxine T3, and triiodothyronine T4) in pregnant women, and to assess the association between salivary hormones, dental caries, and cariogenic microorganisms. : This cross-sectional study included 181 low-income US pregnant women who were in their third trimester. Demographic details, oral hygiene practices, and medical backgrounds were obtained via questionnaires and medical records. Calibrated dentists obtained data on plaque index and caries status through comprehensive oral examinations. Unstimulated saliva was collected 2 h before eating and brushing. Salivary hormones were measured with a multiplex assay. Oral () and () were quantified via colony-forming unit (CFU) counts. A latent model was used to generate clusters of pregnant women based on salivary hormone levels, followed by post-clustering analysis. Factors associated with salivary cariogenic microorganisms were further evaluated via multiple regression analyses. : Estradiol, progesterone, testosterone, cortisol, T3, and T4 in saliva were detectable at rates of 92%, 97%, 77%, 99%, 71%, and 50%, respectively. Three distinct participant clusters (high, intermediate, and low) were identified based on salivary hormone levels. Intermediate-level and high-level clusters had increased numbers of decayed teeth, decayed surfaces, ICDAS scores, and salivary and , compared to the low-level cluster ( < 0.05). Covariate analysis demonstrated that the high-level cluster was positively associated with salivary carriage of (CFU/mL) ( < 0.05). Participants with higher levels of progesterone, estradiol, testosterone, and cortisol were associated with a high carriage status of in saliva (>10 CFU/mL) ( < 0.05). : This study demonstrated the feasibility of detecting salivary hormones during pregnancy and revealed the positive association between salivary steroid hormones and cariogenic pathogens.

摘要

本研究旨在确定孕妇唾液中六种激素(孕酮、雌二醇、睾酮、皮质醇、甲状腺素T3和三碘甲状腺原氨酸T4)的水平,并评估唾液激素、龋齿和致龋微生物之间的关联。本横断面研究纳入了181名处于孕晚期的美国低收入孕妇。通过问卷调查和病历获取人口统计学细节、口腔卫生习惯和医学背景信息。经过校准的牙医通过全面口腔检查获取菌斑指数和龋齿状况的数据。在进食和刷牙前2小时收集未刺激唾液。采用多重检测法测量唾液激素。通过菌落形成单位(CFU)计数对口腔()和()进行定量。基于唾液激素水平,使用潜在模型生成孕妇聚类,随后进行聚类后分析。通过多元回归分析进一步评估与唾液致龋微生物相关的因素。唾液中的雌二醇、孕酮、睾酮、皮质醇、T3和T4的检出率分别为92%、97%、77%、99%、71%和50%。根据唾液激素水平确定了三个不同的参与者聚类(高、中、低)。与低水平聚类相比,中水平和高水平聚类的龋齿数、龋面数、国际龋病检测和评估系统(ICDAS)评分以及唾液()和()均增加(<0.05)。协变量分析表明,高水平聚类与唾液中(CFU/mL)的携带呈正相关(<0.05)。孕酮、雌二醇、睾酮和皮质醇水平较高的参与者与唾液中(>10 CFU/mL)的高携带状态相关(<0.05)。本研究证明了孕期检测唾液激素的可行性,并揭示了唾液类固醇激素与致龋病原体之间的正相关关系。

https://cdn.ncbi.nlm.nih.gov/pmc/blobs/58b8/11173116/98977bf6d16d/jcm-13-03183-g003.jpg
https://cdn.ncbi.nlm.nih.gov/pmc/blobs/58b8/11173116/01348429908b/jcm-13-03183-g001.jpg
https://cdn.ncbi.nlm.nih.gov/pmc/blobs/58b8/11173116/47e4ab6f1963/jcm-13-03183-g002.jpg
https://cdn.ncbi.nlm.nih.gov/pmc/blobs/58b8/11173116/98977bf6d16d/jcm-13-03183-g003.jpg
https://cdn.ncbi.nlm.nih.gov/pmc/blobs/58b8/11173116/01348429908b/jcm-13-03183-g001.jpg
https://cdn.ncbi.nlm.nih.gov/pmc/blobs/58b8/11173116/47e4ab6f1963/jcm-13-03183-g002.jpg
https://cdn.ncbi.nlm.nih.gov/pmc/blobs/58b8/11173116/98977bf6d16d/jcm-13-03183-g003.jpg

相似文献

1
Association between Salivary Hormones, Dental Caries, and Cariogenic Microorganisms during Pregnancy.孕期唾液激素、龋齿与致龋微生物之间的关联
J Clin Med. 2024 May 29;13(11):3183. doi: 10.3390/jcm13113183.
2
Oral health and Candida carriage in socioeconomically disadvantaged US pregnant women.美国贫困孕妇的口腔健康与念珠菌携带情况。
BMC Pregnancy Childbirth. 2019 Dec 5;19(1):480. doi: 10.1186/s12884-019-2618-7.
3
ARE CARIOGENIC BACTERIA THE MAJOR RISK FACTOR TO DENTAL CARIES IN PATIENTS WITH ULCERATIVE COLITIS?致龋细菌是溃疡性结肠炎患者龋齿的主要危险因素吗?
Arq Gastroenterol. 2019 Aug 13;56(2):118-123. doi: 10.1590/S0004-2803.201900000-25.
4
Candida albicans Carriage in Children with Severe Early Childhood Caries (S-ECC) and Maternal Relatedness.重度幼儿龋(S-ECC)患儿白色念珠菌携带情况及其与母亲的相关性
PLoS One. 2016 Oct 14;11(10):e0164242. doi: 10.1371/journal.pone.0164242. eCollection 2016.
5
The Oral Microbiome and Cross-Kingdom Interactions during Pregnancy.口腔微生物组与孕期的跨界相互作用。
J Dent Res. 2023 Sep;102(10):1122-1130. doi: 10.1177/00220345231176459. Epub 2023 Jul 11.
6
Oral Predicts Emergence in Underserved US Infants.口服预测未满足需求的美国婴儿的出现。
J Dent Res. 2022 Jan;101(1):54-62. doi: 10.1177/00220345211012385. Epub 2021 May 21.
7
Effects of Nystatin oral rinse on oral Candida species and Streptococcus mutans among healthy adults.制霉菌素漱口液对健康成年人口腔白色念珠菌和变形链球菌的影响。
Clin Oral Investig. 2023 Jul;27(7):3557-3568. doi: 10.1007/s00784-023-04969-5. Epub 2023 Mar 24.
8
A cross-sectional study of dental caries, intake of confectionery and foods rich in starch and sugars, and salivary counts of Streptococcus mutans in children in Spain.一项关于西班牙儿童龋齿、糖果及富含淀粉和糖的食物摄入量以及变形链球菌唾液计数的横断面研究。
Am J Clin Nutr. 1997 Nov;66(5):1257-63. doi: 10.1093/ajcn/66.5.1257.
9
Streptococcus mutans carriage in the saliva of mothers and its association with dental caries and Streptococcus mutans carriage in the saliva of children between 6 and 30 months old in a low-income setting in Karachi, Pakistan.巴基斯坦卡拉奇低收入地区母亲唾液中的变异链球菌携带情况及其与儿童 6 至 30 个月间龋齿和变异链球菌携带情况的关系。
Clin Exp Dent Res. 2022 Dec;8(6):1523-1532. doi: 10.1002/cre2.648. Epub 2022 Sep 30.
10
Association between salivary level of infection with Streptococcus mutans/Lactobacilli and caries-risk factors in mothers.母亲口腔中变形链球菌/乳酸杆菌感染的唾液水平与龋齿风险因素之间的关联。
Eur J Paediatr Dent. 2016 Mar;17(1):70-4.

引用本文的文献

1
Association between salivary immune markers and oral health conditions in pregnant women.孕妇唾液免疫标志物与口腔健康状况之间的关联。
Sci Rep. 2025 May 6;15(1):15776. doi: 10.1038/s41598-025-99692-4.
2
Association between Salivary Immune Markers and Oral Health Conditions in Pregnant Women.孕妇唾液免疫标志物与口腔健康状况之间的关联
Res Sq. 2025 Apr 14:rs.3.rs-5968375. doi: 10.21203/rs.3.rs-5968375/v1.
3
Association between pica practice, oral health, and cariogenic microorganisms of US pregnant women: A cross-sectional study.

本文引用的文献

1
Multilocus sequence typing of Candida albicans oral isolates reveals high genetic relatedness of mother-child dyads in early life.对口腔白色念珠菌分离株的多位点序列分型揭示了生命早期母婴对子的高度遗传相关性。
PLoS One. 2024 Jan 17;19(1):e0290938. doi: 10.1371/journal.pone.0290938. eCollection 2024.
2
Longitudinal Course of Sex Steroids From Pregnancy to Postpartum.从孕期到产后的性激素纵向变化过程。
Endocrinology. 2023 Jun 26;164(8). doi: 10.1210/endocr/bqad108.
3
The Oral Microbiome and Cross-Kingdom Interactions during Pregnancy.口腔微生物组与孕期的跨界相互作用。
美国孕妇异食癖行为、口腔健康与致龋微生物之间的关联:一项横断面研究。
Arch Oral Biol. 2025 Jul;175:106277. doi: 10.1016/j.archoralbio.2025.106277. Epub 2025 Apr 29.
J Dent Res. 2023 Sep;102(10):1122-1130. doi: 10.1177/00220345231176459. Epub 2023 Jul 11.
4
Antifungal Susceptibility of Oral Isolates from Mother-Infant Dyads to Nystatin, Fluconazole, and Caspofungin.母婴二元组口腔分离株对制霉菌素、氟康唑和卡泊芬净的抗真菌药敏性
J Fungi (Basel). 2023 May 17;9(5):580. doi: 10.3390/jof9050580.
5
Microbiome Changes in Pregnancy Disorders.妊娠疾病中的微生物组变化
Antioxidants (Basel). 2023 Feb 12;12(2):463. doi: 10.3390/antiox12020463.
6
Changes in the global burden of untreated dental caries from 1990 to 2019: A systematic analysis for the Global Burden of Disease study.1990年至2019年全球未经治疗的龋齿负担变化:全球疾病负担研究的系统分析
Heliyon. 2022 Sep 21;8(9):e10714. doi: 10.1016/j.heliyon.2022.e10714. eCollection 2022 Sep.
7
Oral Healthcare during Pregnancy: Its Importance and Challenges in Lower-Middle-Income Countries (LMICs).孕期口腔保健:中低收入国家(LMICs)的重要性和挑战。
Int J Environ Res Public Health. 2022 Aug 27;19(17):10681. doi: 10.3390/ijerph191710681.
8
Increase in Bifidobacterium is a characteristic of the difference in the salivary microbiota of pregnant and non-pregnant women.双歧杆菌的增加是孕妇和非孕妇唾液微生物群差异的特征。
BMC Oral Health. 2022 Jun 28;22(1):260. doi: 10.1186/s12903-022-02293-0.
9
Profile of the oral microbiota from preconception to the third trimester of pregnancy and its association with oral hygiene practices.从孕前到妊娠晚期的口腔微生物群概况及其与口腔卫生习惯的关联。
J Oral Microbiol. 2022 Mar 20;14(1):2053389. doi: 10.1080/20002297.2022.2053389. eCollection 2022.
10
Sex Steroid Hormones as a Balancing Factor in Oral Host Microbiome Interactions.性激素作为口腔宿主微生物组相互作用的平衡因素。
Front Cell Infect Microbiol. 2021 Sep 29;11:714229. doi: 10.3389/fcimb.2021.714229. eCollection 2021.