Suppr超能文献

功能化纤维作为再生聚合物复合材料中的偶联增强剂

Functionalised Fibres as a Coupling Reinforcement Agent in Recycled Polymer Composites.

作者信息

Črešnar Klementina Pušnik, Plohl Olivija, Zemljič Lidija Fras

机构信息

Faculty of Mechanical Engineering, University of Maribor, 2000 Maribor, Slovenia.

Faculty of Chemistry and Chemical Engineering, University of Maribor, 2000 Maribor, Slovenia.

出版信息

Materials (Basel). 2024 Jun 4;17(11):2739. doi: 10.3390/ma17112739.

Abstract

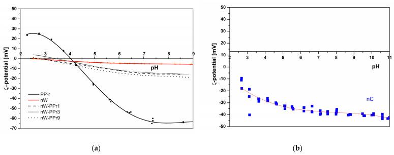
This study addresses the structure-property relationship within the green concept of wood fibres with cellulose nanofibre functionalised composites (nW-PPr) containing recycled plastic polyolefins, in particular, polypropylene (PP-r). It focuses especially on the challenges posed by nanoscience in relation to wood fibres (WF) and explores possible changes in the thermal properties, crystallinity, morphology, and mechanical properties. In a two-step methodology, wood fibres (50% wt%) were first functionalised with nanocellulose (nC; 1-9 wt%) and then, secondly, processed into composites using an extrusion process. The surface modification of nC improves its compatibility with the polymer matrix, resulting in improved adhesion, mechanical properties, and inherent biodegradability. The effects of the functionalised WF on the recycled polymer composites were investigated systematically and included analyses of the structure, crystallisation, morphology, and surface properties, as well as thermal and mechanical properties. Using a comprehensive range of techniques, including X-ray diffraction (XRD), attenuated total reflectance Fourier transform infrared spectroscopy (ATR-FTIR), differential scanning calorimetry (DSC), thermogravimetric analysis (TGA), scanning electron microscopy (SEM), zeta potential measurements, and dynamic mechanical analysis (DMA), this study aims to unravel the intricate interplay of factors affecting the performance and properties of the developed nanocellulose-functionalised wood fibre-polymer composites. The interfacial adhesion of the nW-PPr polymer composites, crystallisation process, and surface properties was improved due to the formation of an H-bond between the nW coupling agent and neat PP-r. In addition, the role of nW (1.0 wt%) as a nucleating agent resulted in increased crystallinity, or, on the other hand, promoted the interfacial interaction with the highest amount (3.0% wt%, 9.0% wt%) of nW in the PP-r preferentially between the nW and neat PP-r, and also postponed the crystallisation temperature. The changes in the isoelectric point of the nW-PPr polymer composites compared to the neat PP-r polymer indicate the acid content of the polymer composite and, consequently, the final surface morphology. Finally, the higher storage modulus of the composites compared to neat r-PP shows a dependence on improved crystallinity, morphology, and adhesion. It was clear that the results of this study contribute to a better understanding of sustainable materials and can drive the development of environmentally friendly composites applied in packaging.

摘要

本研究探讨了含有回收塑料聚烯烃(特别是聚丙烯(PP-r))的纤维素纳米纤维功能化复合材料(nW-PPr)在绿色概念下木材纤维的结构-性能关系。它特别关注纳米科学给木材纤维(WF)带来的挑战,并探索热性能、结晶度、形态和机械性能可能发生的变化。采用两步法,首先用纳米纤维素(nC;1-9 wt%)对木材纤维(50% wt%)进行功能化,然后通过挤出工艺将其加工成复合材料。nC的表面改性提高了其与聚合物基体的相容性,从而改善了附着力、机械性能和固有生物降解性。系统研究了功能化WF对回收聚合物复合材料的影响,包括对结构、结晶、形态和表面性能以及热性能和机械性能的分析。本研究使用了一系列综合技术,包括X射线衍射(XRD)、衰减全反射傅里叶变换红外光谱(ATR-FTIR)、差示扫描量热法(DSC)、热重分析(TGA)、扫描电子显微镜(SEM)、zeta电位测量和动态力学分析(DMA),旨在揭示影响所开发的纳米纤维素功能化木材纤维-聚合物复合材料性能的各种因素之间的复杂相互作用。由于nW偶联剂与纯PP-r之间形成了氢键,nW-PPr聚合物复合材料的界面附着力、结晶过程和表面性能得到了改善。此外,nW(1.0 wt%)作为成核剂的作用导致结晶度增加,或者另一方面,在PP-r中nW含量最高(3.0% wt%,9.0% wt%)时,优先促进了nW与纯PP-r之间的界面相互作用,同时也推迟了结晶温度。与纯PP-r聚合物相比,nW-PPr聚合物复合材料等电点的变化表明了聚合物复合材料的酸含量,进而表明了最终的表面形态。最后,与纯r-PP相比,复合材料较高的储能模量表明其依赖于改善的结晶度、形态和附着力。显然,本研究结果有助于更好地理解可持续材料,并推动应用于包装的环保复合材料的发展。

https://cdn.ncbi.nlm.nih.gov/pmc/blobs/20db/11174083/6044d3bbe1b5/materials-17-02739-g001.jpg

文献检索

告别复杂PubMed语法,用中文像聊天一样搜索,搜遍4000万医学文献。AI智能推荐,让科研检索更轻松。

立即免费搜索

文件翻译

保留排版,准确专业,支持PDF/Word/PPT等文件格式,支持 12+语言互译。

免费翻译文档

深度研究

AI帮你快速写综述,25分钟生成高质量综述,智能提取关键信息,辅助科研写作。

立即免费体验