Suppr超能文献

情感标注:一种基于神经科学的、有前景的治疗退伍军人战斗相关创伤后应激障碍的新方法。

Affect labeling: a promising new neuroscience-based approach to treating combat-related PTSD in veterans.

作者信息

Burklund Lisa J, Davies Carolyn D, Niles Andrea, Torre Jared B, Brown Lily, Vinograd Meghan, Lieberman Matthew D, Craske Michelle G

机构信息

Department of Psychology, University of California, Los Angeles, Los Angeles, CA, United States.

NeuroGen Technologies Inc., Los Angeles, CA, United States.

出版信息

Front Psychol. 2024 Jun 7;15:1270424. doi: 10.3389/fpsyg.2024.1270424. eCollection 2024.

Abstract

INTRODUCTION

A significant portion of individuals exposed to combat-related trauma will develop posttraumatic stress disorder (PTSD), a severe, debilitating disorder with adverse impacts on both mental and physical functioning. Current treatments are effective for many individuals, however, there is a need for new treatment approaches to improve outcomes in PTSD and address the many existing barriers to seeking or completing treatment.

METHODS

In this open trial pilot study, we tested a novel, brief, computer-based intervention for PTSD utilizing "affect labeling" that was inspired by recent advances in neuroscience with U.S. veterans.

RESULTS

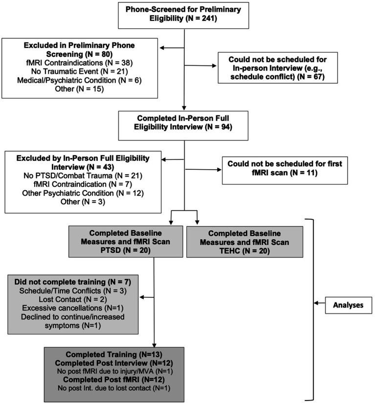
As expected, pre-intervention clinical and fMRI neuroimaging data indicated that U.S. veterans with combat-related PTSD ( = 20) had significantly higher PTSD symptoms, depression symptoms, and amygdala reactivity to trauma cues than trauma-exposed healthy control veterans ( = 20). Veterans with PTSD who completed the affect labeling intervention ( = 13) evidenced reduced PTSD symptoms and these reductions were correlated with reductions in amygdala reactivity.

DISCUSSION

Results from this initial proof-of-concept study are intriguing and suggest that affect labeling training offers significant potential as a novel, cost-effective, computer-based intervention for PTSD. Implications and next steps for further developing affect labeling interventions for PTSD are discussed.

CLINICAL TRIAL REGISTRATION

https://clinicaltrials.gov/, identifier NCT05924399.

摘要

引言

很大一部分遭受与战斗相关创伤的人会患上创伤后应激障碍(PTSD),这是一种严重的、使人衰弱的疾病,对心理和身体功能都会产生不利影响。目前的治疗方法对许多人有效,然而,仍需要新的治疗方法来改善PTSD的治疗效果,并解决寻求或完成治疗过程中存在的诸多障碍。

方法

在这项开放试验性初步研究中,我们测试了一种新颖、简短、基于计算机的PTSD干预方法,该方法利用了“情感标签”,其灵感来自于美国退伍军人神经科学的最新进展。

结果

正如预期的那样,干预前的临床和功能磁共振成像(fMRI)神经影像数据表明,患有与战斗相关PTSD的美国退伍军人(n = 20)比暴露于创伤的健康对照退伍军人(n = 20)有明显更高的PTSD症状、抑郁症状以及杏仁核对创伤线索的反应性。完成情感标签干预的PTSD退伍军人(n = 13)的PTSD症状有所减轻,且这些减轻与杏仁核反应性的降低相关。

讨论

这项初步概念验证研究的结果很有趣,表明情感标签训练作为一种新颖、经济高效的基于计算机的PTSD干预方法具有巨大潜力。文中讨论了对进一步开发PTSD情感标签干预措施的启示和下一步计划。

临床试验注册

https://clinicaltrials.gov/,标识符NCT05924399。

https://cdn.ncbi.nlm.nih.gov/pmc/blobs/35b1/11192197/da29f91101bf/fpsyg-15-1270424-g001.jpg

文献AI研究员

20分钟写一篇综述,助力文献阅读效率提升50倍。

立即体验

用中文搜PubMed

大模型驱动的PubMed中文搜索引擎

马上搜索

文档翻译

学术文献翻译模型,支持多种主流文档格式。

立即体验