Suppr超能文献

使用紧凑数值方法对光电晶体管进行研究,该方法能够对二维材料光电晶体管进行详细分析。

Study of an phototransistor using a compact numerical method enabling detailed analysis of 2D material phototransistors.

作者信息

Islam Raonaqul, Anjum Ishraq Md, Menyuk Curtis R, Simsek Ergun

机构信息

Department of Computer Science and Electrical Engineering, University of Maryland Baltimore County, Baltimore, MD, 21250, USA.

出版信息

Sci Rep. 2024 Jul 3;14(1):15269. doi: 10.1038/s41598-024-66171-1.

Abstract

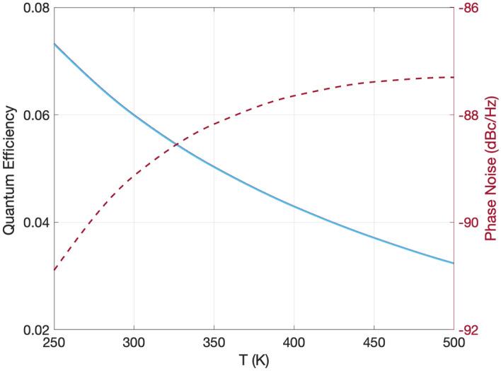
Research on two-dimensional material-based phototransistors has recently become a topic of great interest. However, the high number of design features, which impact the performance of these devices, and the multi-physical nature of the device operation make the accurate analysis of these devices a challenge. Here, we present a simple yet effective numerical framework to overcome this challenge. The one-dimensional framework is constructed on the drift-diffusion equations, Poisson's equation, and wave propagation in multi-layered medium formalism. We apply this framework to study phototransistors made from monolayer molybdenum disulfide ( ) placed on top of a back-gated silicon-oxide-coated silicon substrate. Numerical results, which show good agreement with the experimental results found in the literature, emphasize the necessity of including the inhomogeneous background for accurately calculating device metrics such as quantum efficiency and bandwidth. For the first time in literature, we calculate the phase noise of these phototransistors, which is a crucial performance metric for many applications where precise timing and synchronization are critical. We determine that applying a low drain-to-source voltage is the key requirement for low phase noise.

摘要

近年来,基于二维材料的光电晶体管研究成为了一个备受关注的话题。然而,影响这些器件性能的设计特征众多,且器件运行具有多物理特性,这使得对这些器件进行精确分析成为一项挑战。在此,我们提出了一个简单而有效的数值框架来克服这一挑战。该一维框架基于漂移扩散方程、泊松方程以及多层介质形式中的波传播构建而成。我们应用此框架来研究置于背栅氧化硅涂层硅衬底之上的单层二硫化钼制成的光电晶体管。数值结果与文献中的实验结果吻合良好,强调了在精确计算诸如量子效率和带宽等器件指标时纳入非均匀背景的必要性。在文献中,我们首次计算了这些光电晶体管的相位噪声,对于许多需要精确计时和同步的应用而言,这是一个关键的性能指标。我们确定施加低漏源电压是实现低相位噪声的关键要求。

https://cdn.ncbi.nlm.nih.gov/pmc/blobs/a572/11222441/422798c8df5e/41598_2024_66171_Fig1_HTML.jpg

文献AI研究员

20分钟写一篇综述,助力文献阅读效率提升50倍。

立即体验

用中文搜PubMed

大模型驱动的PubMed中文搜索引擎

马上搜索

文档翻译

学术文献翻译模型,支持多种主流文档格式。

立即体验