Suppr超能文献

基于密歇根州立大学(MSU)分类的腰椎间盘突出症手术策略:经皮内镜下腰椎间盘切除术与经椎间孔腰椎椎体间融合术的比较:一项5年回顾性研究

Surgical Strategy for Lumbar Disc Herniation based on the MSU Classification: Percutaneous Endoscopic Lumbar Discectomy versus Transforaminal Lumbar Interbody Fusion: A 5-year Retrospective Study.

作者信息

Li Hongtao, Xiao Changming, Pan Hongyu, Yang Haomiao, Lei Yang, Wang Haozhong, Li Sen

机构信息

Department of Spine Surgery, The Affiliated Traditional Chinese Medicine Hospital, Southwest Medical University, Luzhou, China.

Department of Spine Surgery, The Nanjing TCM Hospital Affiliated to Nanjing University of Traditional Chinese Medicine, Nanjing, China.

出版信息

Orthop Surg. 2024 Aug;16(8):1963-1973. doi: 10.1111/os.14145. Epub 2024 Jul 3.

Abstract

OBJECTIVE

Currently, there is no established guideline on whether to opt for percutaneous endoscopic lumbar discectomy (PELD) or traditional transforaminal lumbar interbody fusion (TLIF) surgery based on specific types of lumbar disc herniation (LDH). Based on the Michigan State University (MSU) classification system, this study conducted a medium- to long-term follow-up analysis of two surgical methods over 5 years for the first time, aiming to provide empirical evidence to assist in making more informed decisions before surgery for LDH treatment.

METHODS

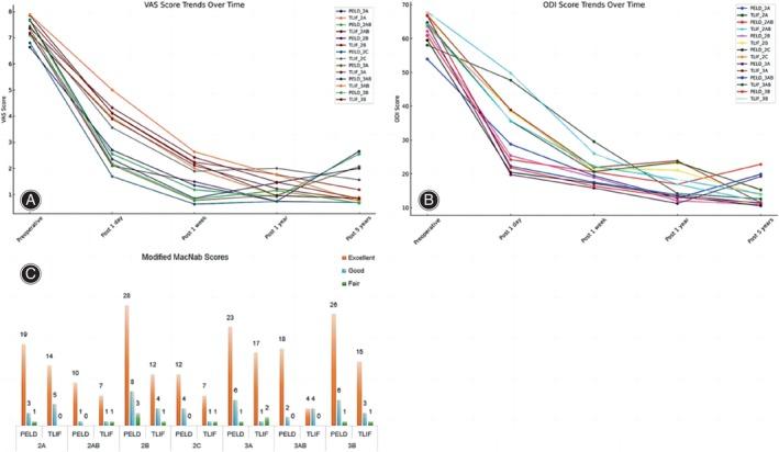
This was a retrospective study that included 273 patients with single-level LDH who underwent PELD or TLIF treatment at our hospital between January 1, 2016, and December 31, 2018. Detailed metrics included preoperative and postoperative visual analogue scale (VAS) scores and Oswestry disability index (ODI) at 1-day, 1-week, 1-year, and 5-year follow-ups. Complications, recurrences, and 5-year postoperative modified MacNab criteria scores were also recorded. Statistical methods included independent sample t-tests, repeated measures analysis of variance (ANOVA), and χ tests.

RESULTS

Classified into seven groups according to the MSU classification, it was found that there was an improvement in the VAS and ODI scores at four postoperative follow-ups (p < 0.001). PELD showed better results than TLIF in reducing pain and improving the ODI scores in the classifications of 3B, 2B, and 2C (p < 0.05). TLIF demonstrated consistent superiority over PELD in 2A, 2AB, 3A, and 3AB classifications (p < 0.05). The total recurrence rate in the PELD group (11.05%) within 5 years after surgery was higher (p < 0.05) than that in the TLIF group (3.96%). These were mainly concentrated in the 2A, 2AB, 3A, and 3AB types. Moreover, the rate of excellent and good outcomes in the PELD was higher than in the TLIF but no significant difference (χ = 1.0568, p = 0.5895).

CONCLUSION

This study suggests that PELD and TLIF may relieve LDH, but have advantages under different MSU classifications. The MSU classification has specific guiding significance and could aid in the surgical selection of PELD or TLIF to achieve optimal treatment outcomes for patients with lumbar disc herniation.

摘要

目的

目前,尚无基于特定类型腰椎间盘突出症(LDH)选择经皮内镜下腰椎间盘切除术(PELD)或传统经椎间孔腰椎椎体间融合术(TLIF)手术的既定指南。基于密歇根州立大学(MSU)分类系统,本研究首次对两种手术方法进行了为期5年的中长期随访分析,旨在提供实证依据,以协助在对LDH进行手术治疗前做出更明智的决策。

方法

这是一项回顾性研究,纳入了2016年1月1日至2018年12月31日期间在我院接受PELD或TLIF治疗的273例单节段LDH患者。详细指标包括术前和术后1天、1周、1年及5年随访时的视觉模拟评分(VAS)和Oswestry功能障碍指数(ODI)。还记录了并发症、复发情况以及术后5年的改良MacNab标准评分。统计方法包括独立样本t检验、重复测量方差分析(ANOVA)和χ检验。

结果

根据MSU分类分为七组,发现在四个术后随访时间点VAS和ODI评分均有改善(p < 0.001)。在3B、2B和2C分类中,PELD在减轻疼痛和改善ODI评分方面比TLIF效果更好(p < 0.05)。在2A、2AB、3A和3AB分类中,TLIF显示出比PELD持续的优势(p < 0.05)。PELD组术后5年内的总复发率(11.05%)高于TLIF组(3.96%)(p < 0.05)。这些主要集中在2A、2AB、3A和3AB类型。此外,PELD的优良率高于TLIF,但差异无统计学意义(χ = 1.0568,p = 0.5895)。

结论

本研究表明,PELD和TLIF均可缓解LDH,但在不同的MSU分类下各有优势。MSU分类具有特定的指导意义,有助于在PELD或TLIF的手术选择中为腰椎间盘突出症患者实现最佳治疗效果。

https://cdn.ncbi.nlm.nih.gov/pmc/blobs/7f39/11293921/fe5aeebf191f/OS-16-1963-g004.jpg

文献AI研究员

20分钟写一篇综述,助力文献阅读效率提升50倍。

立即体验

用中文搜PubMed

大模型驱动的PubMed中文搜索引擎

马上搜索

文档翻译

学术文献翻译模型,支持多种主流文档格式。

立即体验