Suppr超能文献

卡介苗对前列腺放疗后非肌层浸润性膀胱癌的影响。

Effect of Bacille Calmette-Guérin for Non-Muscle-Invasive Bladder Cancer After Prostate Radiotherapy.

作者信息

Durant Adri M, Lee Yeonsoo S, Mi Lanyu, Faraj Kassem, Lyon Timothy D, Singh Parminder, Tyson Ii Mark D

机构信息

Department of Urology, Mayo Clinic, Phoenix, AZ, USA.

Mayo Clinic Alix School of Medicine - Florida campus, Mayo Clinic College of Medicine and Science, Jacksonville, FL, USA.

出版信息

Bladder Cancer. 2024 Mar 12;10(1):35-45. doi: 10.3233/BLC-230073. eCollection 2024.

Abstract

BACKGROUND

Little is known about the impact of prior prostate radiation therapy (RT) on the Bacille Calmette-Guerin (BCG) immunotherapy response in patients with non-muscle invasive bladder cancer (NMIBC).

OBJECTIVE

We hypothesized that the damaging radiation effects on the bladder could negatively influence BCG efficacy.

METHODS

Men with a history of high-risk NMIBC were identified within the Surveillance, Epidemiology, and End Results-Medicare database. All patients completed adequate BCG defined as at least 5 plus 2 treatments completed within 12 months. Patients were stratified into 2 groups: with prior RT for prostate cancer and without prior RT before the diagnosis of NMIBC. The primary endpoint was a 5-year composite for progression defined as disease progression requiring systemic chemotherapy, checkpoint inhibitors, radical or partial cystectomy, or cancer-specific death.

RESULTS

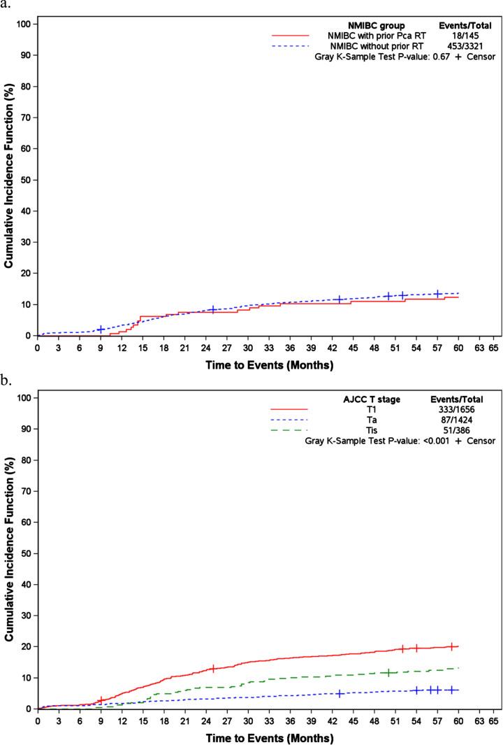
We identified 3,466 patients with NMIBC, including 145 with prior RT for prostate cancer. Five-year progression occurred in 471 patients (13.6%). Patients with prior RT were older than patients without prior RT (77.0 vs 75.0 years;  < .001). The distribution of T stage was significantly different at diagnosis between the RT and non-RT groups (RT: Ta, 44.8%; Tis, 18.6%; T1, 36.6%; without RT: Ta, 40.9%; Tis, 10.8%; T1, 48.3%;  = .002). No difference in the risk of total progression was observed between patients with and without prior RT ( = .67). Similarly, no difference was observed after multivariable adjustment (hazard ratio, 0.99; 95% CI, 0.61-1.58;  = .95).

CONCLUSION

For patients with NMIBC who undergo adequate BCG treatment, prior RT for prostate cancer was not associated with worse 5-year progression-free survival.

摘要

背景

关于既往前列腺放射治疗(RT)对非肌层浸润性膀胱癌(NMIBC)患者卡介苗(BCG)免疫治疗反应的影响,目前所知甚少。

目的

我们假设放疗对膀胱的损伤作用可能会对BCG疗效产生负面影响。

方法

在监测、流行病学和最终结果-医疗保险数据库中识别有高危NMIBC病史的男性。所有患者均完成了足够的BCG治疗,定义为在12个月内完成至少5次加2次治疗。患者被分为两组:既往有前列腺癌放疗史组和NMIBC诊断前无放疗史组。主要终点是5年复合进展,定义为需要全身化疗、检查点抑制剂、根治性或部分膀胱切除术或癌症特异性死亡的疾病进展。

结果

我们识别出3466例NMIBC患者,其中145例有前列腺癌既往放疗史。471例患者(13.6%)出现5年进展。有既往放疗史的患者比无既往放疗史的患者年龄更大(77.0岁对75.0岁;P<0.001)。放疗组和非放疗组在诊断时T分期分布有显著差异(放疗组:Ta,44.8%;Tis,18.6%;T1,36.6%;无放疗组:Ta,40.9%;Tis,10.8%;T1,48.3%;P=0.002)。有和无既往放疗史的患者在总进展风险上无差异(P=0.67)。同样,多变量调整后也未观察到差异(风险比,0.99;95%CI,0.61-1.58;P=0.95)。

结论

对于接受充分BCG治疗的NMIBC患者,既往前列腺癌放疗与较差的5年无进展生存率无关。

https://cdn.ncbi.nlm.nih.gov/pmc/blobs/46cc/11181702/e263d01f34b8/blc-10-blc230073-g001.jpg

文献检索

告别复杂PubMed语法,用中文像聊天一样搜索,搜遍4000万医学文献。AI智能推荐,让科研检索更轻松。

立即免费搜索

文件翻译

保留排版,准确专业,支持PDF/Word/PPT等文件格式,支持 12+语言互译。

免费翻译文档

深度研究

AI帮你快速写综述,25分钟生成高质量综述,智能提取关键信息,辅助科研写作。

立即免费体验