Suppr超能文献

基于智能手机的脊髓性肌萎缩症成人运动和手灵巧度评估。

Smartphone-Based Assessment of Mobility and Manual Dexterity in Adult People with Spinal Muscular Atrophy.

机构信息

Biogen Digital Health, Biogen, Cambridge, MA, USA.

Department of Neurology, Dresden University Hospital, Dresden, Germany.

出版信息

J Neuromuscul Dis. 2024;11(5):1049-1065. doi: 10.3233/JND-240004.

Abstract

BACKGROUND

More responsive, reliable, and clinically valid endpoints of disability are essential to reduce size, duration, and burden of clinical trials in adult persons with spinal muscular atrophy (aPwSMA).

OBJECTIVE

The aim is to investigate the feasibility of smartphone-based assessments in aPwSMA and provide evidence on the reliability and construct validity of sensor-derived measures (SDMs) of mobility and manual dexterity collected remotely in aPwSMA.

METHODS

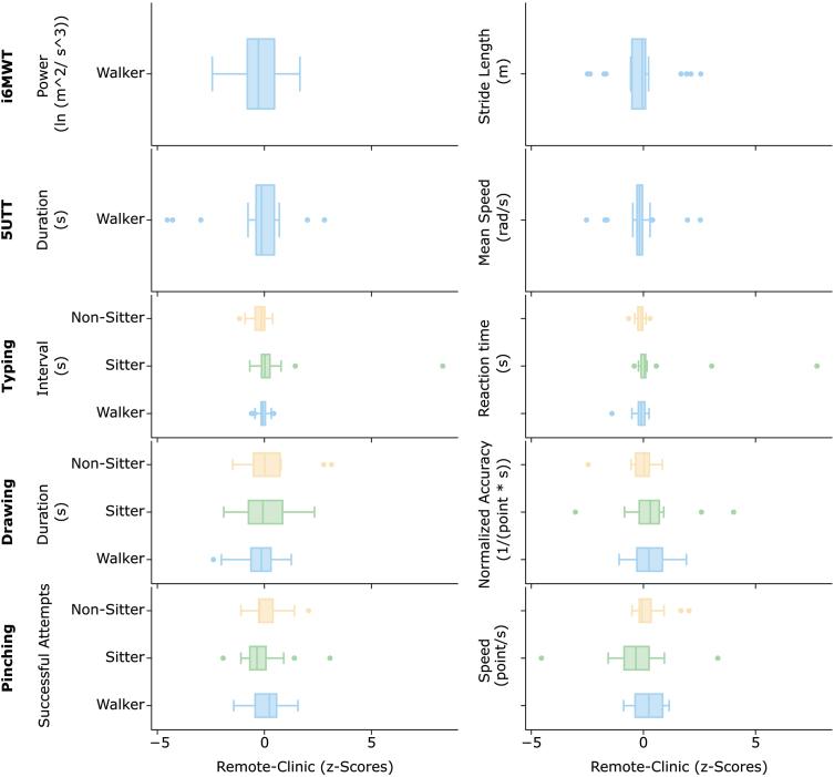
Data were collected from 59 aPwSMA (23 walkers, 20 sitters and 16 non-sitters) and 30 age-matched healthy controls (HC). SDMs were extracted from five smartphone-based tests capturing mobility and manual dexterity, which were administered in-clinic and remotely in daily life for four weeks. Reliability (Intraclass Correlation Coefficients, ICC) and construct validity (ability to discriminate between HC and aPwSMA and correlations with Revised Upper Limb Module, RULM and Hammersmith Functional Scale - Expanded HFMSE) were quantified for all SDMs.

RESULTS

The smartphone-based assessments proved feasible, with 92.1% average adherence in aPwSMA. The SDMs allowed to reliably assess both mobility and dexterity (ICC > 0.75 for 14/22 SDMs). Twenty-one out of 22 SDMs significantly discriminated between HC and aPwSMA. The highest correlations with the RULM were observed for SDMs from the manual dexterity tests in both non-sitters (Typing, ρ= 0.78) and sitters (Pinching, ρ= 0.75). In walkers, the highest correlation was between mobility tests and HFMSE (5 U-Turns, ρ= 0.79).

CONCLUSIONS

This exploratory study provides preliminary evidence for the usability of smartphone-based assessments of mobility and manual dexterity in aPwSMA when deployed remotely in participants' daily life. Reliability and construct validity of SDMs remotely collected in real-life was demonstrated, which is a pre-requisite for their use in longitudinal trials. Additionally, three novel smartphone-based performance outcome assessments were successfully established for aPwSMA. Upon further validation of responsiveness to interventions, this technology holds potential to increase the efficiency of clinical trials in aPwSMA.

摘要

背景

对于成年脊髓性肌萎缩症(aPwSMA)患者,需要更具反应性、更可靠且更具临床意义的残疾终点来减少临床试验的规模、时长和负担。

目的

旨在探讨基于智能手机的评估在 aPwSMA 中的可行性,并提供关于在 aPwSMA 中远程采集的传感器衍生移动性和手动灵巧度测量值(SDMs)的可靠性和结构有效性的证据。

方法

从 59 名 aPwSMA 患者(23 名行走者、20 名坐姿者和 16 名非坐姿者)和 30 名年龄匹配的健康对照者(HC)中收集数据。从五项基于智能手机的测试中提取 SDMs,这些测试可在诊所中进行,并在四周的日常生活中远程进行。对所有 SDMs 的可靠性(组内相关系数,ICC)和结构有效性(区分 HC 和 aPwSMA 的能力,以及与修订后的上肢模块、RULM 和扩展后的哈默史密斯功能量表-HFMSE 的相关性)进行了量化。

结果

基于智能手机的评估被证明是可行的,aPwSMA 的平均依从率为 92.1%。SDMs 可可靠地评估移动性和灵巧性(14/22 SDMs 的 ICC>0.75)。22 个 SDMs 中有 21 个能显著区分 HC 和 aPwSMA。与 RULM 相关性最高的是在非坐姿者(打字,ρ=0.78)和坐姿者(捏夹,ρ=0.75)的手动灵巧性测试中的 SDMs。在行走者中,与 HFMSE 相关性最高的是移动性测试(5 个 U 型转弯,ρ=0.79)。

结论

本探索性研究初步证明了在参与者日常生活中远程采集时,基于智能手机的 aPwSMA 移动性和手动灵巧度评估的可用性。证明了在现实生活中远程采集的 SDMs 的可靠性和结构有效性,这是在纵向试验中使用它们的前提。此外,还成功建立了三种用于 aPwSMA 的新型基于智能手机的性能评估方法。在进一步验证对干预措施的反应性后,该技术有望提高 aPwSMA 临床试验的效率。

https://cdn.ncbi.nlm.nih.gov/pmc/blobs/242b/11380318/27c47de9413a/jnd-11-jnd240004-g001.jpg

文献AI研究员

20分钟写一篇综述,助力文献阅读效率提升50倍。

立即体验

用中文搜PubMed

大模型驱动的PubMed中文搜索引擎

马上搜索

文档翻译

学术文献翻译模型,支持多种主流文档格式。

立即体验