• 文献检索
  • 文档翻译
  • 深度研究
  • 学术资讯
  • Suppr Zotero 插件Zotero 插件
  • 邀请有礼
  • 套餐&价格
  • 历史记录
应用&插件
Suppr Zotero 插件Zotero 插件浏览器插件Mac 客户端Windows 客户端微信小程序
定价
高级版会员购买积分包购买API积分包
服务
文献检索文档翻译深度研究API 文档MCP 服务
关于我们
关于 Suppr公司介绍联系我们用户协议隐私条款
关注我们

Suppr 超能文献

核心技术专利:CN118964589B侵权必究
粤ICP备2023148730 号-1Suppr @ 2026

文献检索

告别复杂PubMed语法,用中文像聊天一样搜索,搜遍4000万医学文献。AI智能推荐,让科研检索更轻松。

立即免费搜索

文件翻译

保留排版,准确专业,支持PDF/Word/PPT等文件格式,支持 12+语言互译。

免费翻译文档

深度研究

AI帮你快速写综述,25分钟生成高质量综述,智能提取关键信息,辅助科研写作。

立即免费体验

神经系统疾病患者绩效结果测量中的练习效应——一项系统评价

Practice effects in performance outcome measures in patients living with neurologic disorders - A systematic review.

作者信息

Holm Sven P, Wolfer Arnaud M, Pointeau Grégoire H S, Lipsmeier Florian, Lindemann Michael

机构信息

Roche Pharma Research and Early Development, pRED Informatics, Roche Innovation Center Basel, F. Hoffmann-La Roche Ltd., Basel, Switzerland.

出版信息

Heliyon. 2022 Aug 17;8(8):e10259. doi: 10.1016/j.heliyon.2022.e10259. eCollection 2022 Aug.

DOI:10.1016/j.heliyon.2022.e10259
PMID:36082322
原文链接:https://pmc.ncbi.nlm.nih.gov/articles/PMC9445299/
Abstract

BACKGROUND

In this systematic review we sought to characterize practice effects on traditional in-clinic or digital performance outcome measures commonly used in one of four neurologic disease areas (multiple sclerosis; Huntington's disease; Parkinson's disease; and Alzheimer's disease, mild cognitive impairment and other forms of dementia), describe mitigation strategies to minimize their impact on data interpretation and identify gaps to be addressed in future work.

METHODS

Fifty-eight original articles (49 from Embase and an additional 4 from PubMed and 5 from additional sources; cut-off date January 13, 2021) describing practice effects or their mitigation strategies were included.

RESULTS

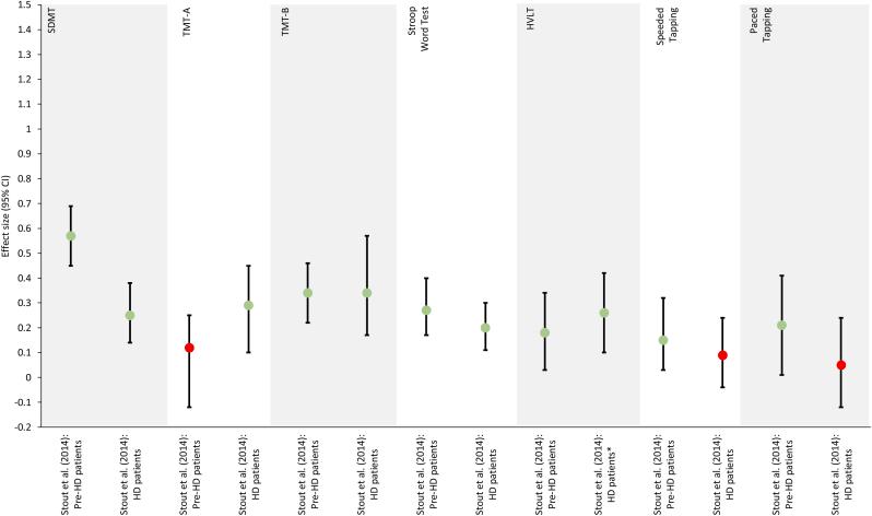
Practice effects observed in healthy volunteers do not always translate to patients living with neurologic disorders. Mitigation strategies include reliable changes indices that account for practice effects or a run-in period. While the former requires data from a reference sample showing similar practice effects, the latter requires a sufficient number of tests in the run-in period to reach steady-state performance. However, many studies only included 2 or 3 test administrations, which is insufficient to define the number of tests needed in a run-in period.

DISCUSSION

Several gaps have been identified. In particular the assessment of practice effects on an individual patient level as well as the temporal dynamics of practice effects are largely unaddressed. Here, digital tests, which allow much higher testing frequency over prolonged periods of time, can be used in future work to gain a deeper understanding of practice effects and to develop new metrics for assessing and accounting for practice effects in clinical research and clinical trials.

摘要

背景

在本系统评价中,我们试图描述练习效应在四种神经系统疾病领域(多发性硬化症、亨廷顿舞蹈病、帕金森病以及阿尔茨海默病、轻度认知障碍和其他形式的痴呆症)中常用的传统门诊或数字性能结局测量指标上的表现,描述减轻其对数据解释影响的缓解策略,并确定未来工作中需要解决的差距。

方法

纳入了58篇描述练习效应或其缓解策略的原创文章(49篇来自Embase,另外4篇来自PubMed,5篇来自其他来源;截止日期为2021年1月13日)。

结果

在健康志愿者中观察到的练习效应并不总是适用于患有神经系统疾病的患者。缓解策略包括考虑练习效应的可靠变化指数或预试验期。虽然前者需要来自显示类似练习效应的参考样本的数据,但后者需要在预试验期进行足够数量的测试以达到稳定状态表现。然而,许多研究仅包括2或3次测试管理,这不足以确定预试验期所需的测试次数。

讨论

已确定了几个差距。特别是,在个体患者层面上对练习效应的评估以及练习效应的时间动态在很大程度上未得到解决。在此,数字测试允许在较长时间内进行更高频率的测试,可在未来工作中用于更深入地了解练习效应,并开发新的指标以评估和考虑临床研究和临床试验中的练习效应。

https://cdn.ncbi.nlm.nih.gov/pmc/blobs/b638/9445299/6bf8192ff751/gr6.jpg
https://cdn.ncbi.nlm.nih.gov/pmc/blobs/b638/9445299/834a95205781/gr1.jpg
https://cdn.ncbi.nlm.nih.gov/pmc/blobs/b638/9445299/e5fb48a62bbe/gr2.jpg
https://cdn.ncbi.nlm.nih.gov/pmc/blobs/b638/9445299/67df4f8ccfbd/gr3.jpg
https://cdn.ncbi.nlm.nih.gov/pmc/blobs/b638/9445299/b0fb6cfa976e/gr4.jpg
https://cdn.ncbi.nlm.nih.gov/pmc/blobs/b638/9445299/091ce839c7f3/gr5.jpg
https://cdn.ncbi.nlm.nih.gov/pmc/blobs/b638/9445299/6bf8192ff751/gr6.jpg
https://cdn.ncbi.nlm.nih.gov/pmc/blobs/b638/9445299/834a95205781/gr1.jpg
https://cdn.ncbi.nlm.nih.gov/pmc/blobs/b638/9445299/e5fb48a62bbe/gr2.jpg
https://cdn.ncbi.nlm.nih.gov/pmc/blobs/b638/9445299/67df4f8ccfbd/gr3.jpg
https://cdn.ncbi.nlm.nih.gov/pmc/blobs/b638/9445299/b0fb6cfa976e/gr4.jpg
https://cdn.ncbi.nlm.nih.gov/pmc/blobs/b638/9445299/091ce839c7f3/gr5.jpg
https://cdn.ncbi.nlm.nih.gov/pmc/blobs/b638/9445299/6bf8192ff751/gr6.jpg

相似文献

1
Practice effects in performance outcome measures in patients living with neurologic disorders - A systematic review.神经系统疾病患者绩效结果测量中的练习效应——一项系统评价
Heliyon. 2022 Aug 17;8(8):e10259. doi: 10.1016/j.heliyon.2022.e10259. eCollection 2022 Aug.
2
3
4
5
The future of Cochrane Neonatal.考克兰新生儿协作网的未来。
Early Hum Dev. 2020 Nov;150:105191. doi: 10.1016/j.earlhumdev.2020.105191. Epub 2020 Sep 12.
6
Informant Questionnaire on Cognitive Decline in the Elderly (IQCODE) for the early detection of dementia across a variety of healthcare settings.用于在各种医疗保健环境中早期发现痴呆症的老年人认知减退信息问卷 (IQCODE)。
Cochrane Database Syst Rev. 2021 Jul 18;7(7):CD011333. doi: 10.1002/14651858.CD011333.pub3.
7
Efficacy of nicergoline in dementia and other age associated forms of cognitive impairment.尼麦角林治疗痴呆及其他与年龄相关的认知障碍形式的疗效。
Cochrane Database Syst Rev. 2001;2001(4):CD003159. doi: 10.1002/14651858.CD003159.
8
Cholinesterase inhibitors for dementia with Lewy bodies, Parkinson's disease dementia and cognitive impairment in Parkinson's disease.用于路易体痴呆、帕金森病痴呆及帕金森病认知障碍的胆碱酯酶抑制剂
Cochrane Database Syst Rev. 2012 Mar 14;2012(3):CD006504. doi: 10.1002/14651858.CD006504.pub2.
9
How well do people living with neurodegenerative diseases manage their finances? A meta-analysis and systematic review on the capacity to make financial decisions in people living with neurodegenerative diseases.患有神经退行性疾病的人在财务管理方面的表现如何?一项关于神经退行性疾病患者财务决策能力的荟萃分析和系统评价。
Neurosci Biobehav Rev. 2021 Aug;127:709-739. doi: 10.1016/j.neubiorev.2021.05.021. Epub 2021 May 28.
10
Regional cerebral blood flow single photon emission computed tomography for detection of Frontotemporal dementia in people with suspected dementia.用于检测疑似痴呆患者额颞叶痴呆的局部脑血流单光子发射计算机断层扫描
Cochrane Database Syst Rev. 2015 Jun 23;2015(6):CD010896. doi: 10.1002/14651858.CD010896.pub2.

引用本文的文献

1
Practice effects on digital cognitive assessment tools: insights from the defense automated neurobehavioral assessment battery.数字认知评估工具的练习效应:来自国防自动化神经行为评估量表的见解
Alzheimers Dement. 2025 Sep;21(9):e70644. doi: 10.1002/alz.70644.
2
Uncovering heterogeneous cognitive trajectories in relapsing-remitting multiple sclerosis: a longitudinal study.揭示复发缓解型多发性硬化症中的异质性认知轨迹:一项纵向研究。
Acta Neurol Belg. 2025 Apr;125(2):519-530. doi: 10.1007/s13760-025-02754-7. Epub 2025 Mar 15.
3
Excellent test-retest reliability of perturbation-evoked cortical responses supports feasibility of the balance N1 as a clinical biomarker.

本文引用的文献

1
Smartphone-based symbol-digit modalities test reliably captures brain damage in multiple sclerosis.基于智能手机的符号数字模式测试能够可靠地检测出多发性硬化症中的脑损伤。
NPJ Digit Med. 2021 Feb 24;4(1):36. doi: 10.1038/s41746-021-00401-y.
2
Individual cognitive changes in subjective cognitive decline, mild cognitive impairment and Alzheimer's disease using the reliable change index methodology.使用可靠变化指数方法研究主观认知下降、轻度认知障碍和阿尔茨海默病个体认知变化。
Wien Klin Wochenschr. 2021 Oct;133(19-20):1064-1069. doi: 10.1007/s00508-020-01755-1. Epub 2020 Oct 23.
3
Practice effects in mild cognitive impairment: A validation of Calamia et al. (2012).
诱发扰动皮层反应具有出色的重测信度,这支持了平衡N1作为临床生物标志物的可行性。
J Neurophysiol. 2025 Mar 1;133(3):987-1001. doi: 10.1152/jn.00583.2024. Epub 2025 Feb 24.
4
Characterizing Performance on a Suite of English-Language NeuroUX Mobile Cognitive Tests in a US Adult Sample: Ecological Momentary Cognitive Testing Study.美国成人样本中一套英语语言神经 UX 移动认知测试的性能特征:生态瞬时认知测试研究。
J Med Internet Res. 2024 Nov 25;26:e51978. doi: 10.2196/51978.
5
Evaluating practice effects across learning trials - ceiling effects or something more?评估学习试验中的练习效应——是天花板效应还是其他的什么?
J Clin Exp Neuropsychol. 2024 Sep;46(7):630-643. doi: 10.1080/13803395.2024.2400107. Epub 2024 Sep 11.
6
Smartphone-Based Assessment of Mobility and Manual Dexterity in Adult People with Spinal Muscular Atrophy.基于智能手机的脊髓性肌萎缩症成人运动和手灵巧度评估。
J Neuromuscul Dis. 2024;11(5):1049-1065. doi: 10.3233/JND-240004.
7
CD4 nadir and neurocognitive trajectories in people living with HIV.艾滋病毒感染者的 CD4 最低点和神经认知轨迹。
J Neurovirol. 2024 Aug;30(4):423-433. doi: 10.1007/s13365-024-01217-8. Epub 2024 Jun 10.
8
Minimal effect of long-term clonazepam on cognitive function in patients with isolated rapid eye movement sleep behavior disorder.长期氯硝西泮治疗对孤立性快动眼睡眠行为障碍患者认知功能影响很小。
J Clin Sleep Med. 2024 Jul 1;20(7):1173-1182. doi: 10.5664/jcsm.11126.
9
Use of smartphone-based remote assessments of multiple sclerosis in Floodlight Open, a global, prospective, open-access study.基于智能手机的多发性硬化症远程评估在 Floodlight Open 中的应用,这是一项全球性、前瞻性、开放获取的研究。
Sci Rep. 2024 Jan 2;14(1):122. doi: 10.1038/s41598-023-49299-4.
10
Misinterpreting cognitive change over multiple timepoints: When practice effects meet age-related decline.多次时间点上认知变化的误解:当练习效应遇到与年龄相关的衰退时。
Neuropsychology. 2023 Jul;37(5):568-581. doi: 10.1037/neu0000903. Epub 2023 Apr 20.
轻度认知障碍中的练习效应:Calamia 等人(2012 年)研究的验证。
Clin Neuropsychol. 2022 Apr;36(3):571-583. doi: 10.1080/13854046.2020.1781933. Epub 2020 Jun 27.
4
Multiple Sclerosis Performance Test: validation of self-administered neuroperformance modules.多发性硬化症性能测试:自我管理神经性能模块的验证
Eur J Neurol. 2020 May;27(5):878-886. doi: 10.1111/ene.14162. Epub 2020 Mar 2.
5
Diagnosis and Management of Dementia: Review.痴呆的诊断与管理:综述。
JAMA. 2019 Oct 22;322(16):1589-1599. doi: 10.1001/jama.2019.4782.
6
Tracking cognitive impairment in multiple sclerosis using the Brain on Track test: a validation study.使用“大脑追踪测试”追踪多发性硬化症中的认知障碍:一项验证研究。
Neurol Sci. 2020 Jan;41(1):183-191. doi: 10.1007/s10072-019-04088-8. Epub 2019 Oct 21.
7
The feasibility, reliability and concurrent validity of the MSReactor computerized cognitive screening tool in multiple sclerosis.MSReactor计算机化认知筛查工具在多发性硬化症中的可行性、可靠性和同时效度。
Ther Adv Neurol Disord. 2019 Jul 12;12:1756286419859183. doi: 10.1177/1756286419859183. eCollection 2019.
8
Distinctive Pattern of Cognitive Disorders During Multiple Sclerosis Relapse and Recovery Based on Computerized CANTAB Tests.基于计算机化CANTAB测试的多发性硬化症复发和恢复期间认知障碍的独特模式
Front Neurol. 2019 Jun 4;10:572. doi: 10.3389/fneur.2019.00572. eCollection 2019.
9
Repeated assessment of key clinical walking measures can induce confounding practice effects.对关键临床步行指标的重复评估可能会引发混杂的实践效应。
Mult Scler. 2020 Oct;26(11):1298-1302. doi: 10.1177/1352458519845839. Epub 2019 May 13.
10
Trait Conscientiousness predicts rate of longitudinal SDMT decline in multiple sclerosis.尽责特质可预测多发性硬化症中纵向 SDMT 下降的速度。
Mult Scler. 2020 Feb;26(2):245-252. doi: 10.1177/1352458518820272. Epub 2019 Jan 7.