• 文献检索
  • 文档翻译
  • 深度研究
  • 学术资讯
  • Suppr Zotero 插件Zotero 插件
  • 邀请有礼
  • 套餐&价格
  • 历史记录
应用&插件
Suppr Zotero 插件Zotero 插件浏览器插件Mac 客户端Windows 客户端微信小程序
定价
高级版会员购买积分包购买API积分包
服务
文献检索文档翻译深度研究API 文档MCP 服务
关于我们
关于 Suppr公司介绍联系我们用户协议隐私条款
关注我们

Suppr 超能文献

核心技术专利:CN118964589B侵权必究
粤ICP备2023148730 号-1Suppr @ 2026

文献检索

告别复杂PubMed语法,用中文像聊天一样搜索,搜遍4000万医学文献。AI智能推荐,让科研检索更轻松。

立即免费搜索

文件翻译

保留排版,准确专业,支持PDF/Word/PPT等文件格式,支持 12+语言互译。

免费翻译文档

深度研究

AI帮你快速写综述,25分钟生成高质量综述,智能提取关键信息,辅助科研写作。

立即免费体验

用富含单宁的来源(L.)和高剂量维生素E育肥猪:对生长性能、经济效益、消化率、生理和行为的影响。

Fattening Pigs with Tannin-Rich Source ( L.) and High Doses of Vitamin E: Effects on Growth Performance, Economics, Digestibility, Physiology, and Behaviour.

作者信息

Bottegal Diego Nicolas, Latorre María Ángeles, Lobón Sandra, Verdú Marçal, Álvarez-Rodríguez Javier

机构信息

Departament de Ciència Animal, Universitat de Lleida, Av. Alcalde Rovira Roure 191, 25198 Lleida, Spain.

Instituto Nacional de Tecnología Agropecuaria (INTA), Rivadavia 1439, Ciudad de Buenos Aires C1033AAE, Argentina.

出版信息

Animals (Basel). 2024 Jun 22;14(13):1855. doi: 10.3390/ani14131855.

DOI:10.3390/ani14131855
PMID:38997967
原文链接:https://pmc.ncbi.nlm.nih.gov/articles/PMC11240671/
Abstract

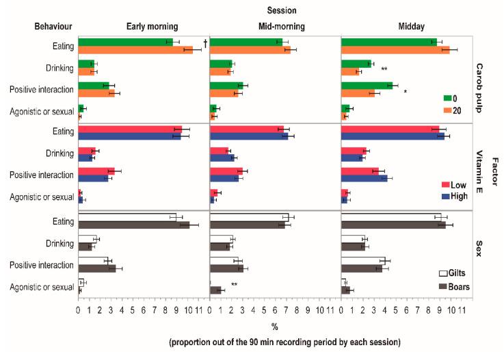
This study aimed to assess the impact on growth, economic results, apparent nutrient digestibility (CTTAD), physiological variables, and animal behaviour when 214 fattening pigs (78 ± 8.5 kg of initial body weight and 130 ± 4.5 days of age) of both sexes (gilts and boars) were fed two levels of carob pulp (Cp, 0 vs. 20%) and two doses of vitamin E (Vit E, 30 vs. 300 IU/kg) for 40 days. No interaction effects between factors studied (Cp, Vit E, and sex) were observed on the variables. Most productive traits were unaffected by Cp or Vit E inclusion. However, the Cp increased the feed conversion ratio during the first 20 days. The Cp group showed a higher CTTAD of ether extract and hemicellulose but lower CTTAD of crude protein. Pigs fed Cp had a lower plasmatic urea content than the control group. The high Vit E doses increased the CTTAD of every nutrient and the plasmatic α-tocopherol content. The pigs fed Cp tended to spend more time eating in the early morning, likely to mitigate tannins' astringent effects. Dietary inclusion of 20% Cp in finishing high-conformation pigs is possible without affecting overall performance though it reduces nutrient CTTAD and increases feeding cost. Supra-nutritional doses of Vit E do not affect pig performance but increase the α-tocopherol deposition with potential antioxidant effects.

摘要

本研究旨在评估,当给214头育肥猪(初始体重78±8.5千克,年龄130±4.5天)(包括小母猪和公猪)饲喂两种水平的角豆果肉(Cp,0% 对比20%)和两种剂量的维生素E(Vit E,30对比300国际单位/千克),为期40天时,对其生长、经济结果、表观养分消化率(CTTAD)、生理变量和动物行为的影响。在所研究的变量上,未观察到各因素(Cp、Vit E和性别)之间的交互作用。大多数生产性状不受Cp或Vit E添加的影响。然而,Cp在最初20天内提高了饲料转化率。Cp组的乙醚提取物和半纤维素的CTTAD较高,但粗蛋白的CTTAD较低。饲喂Cp的猪血浆尿素含量低于对照组。高剂量的Vit E提高了每种养分的CTTAD和血浆α-生育酚含量。饲喂Cp的猪在清晨往往花费更多时间进食,可能是为了减轻单宁的涩味。在育肥的高体型猪日粮中添加20%的Cp是可行的,尽管它会降低养分CTTAD并增加饲养成本,但不会影响整体性能。超营养剂量的Vit E不影响猪的性能,但会增加α-生育酚的沉积,具有潜在的抗氧化作用。

https://cdn.ncbi.nlm.nih.gov/pmc/blobs/5bb9/11240671/cd0bf130df5a/animals-14-01855-g002.jpg
https://cdn.ncbi.nlm.nih.gov/pmc/blobs/5bb9/11240671/1ba4275d1d44/animals-14-01855-g001.jpg
https://cdn.ncbi.nlm.nih.gov/pmc/blobs/5bb9/11240671/cd0bf130df5a/animals-14-01855-g002.jpg
https://cdn.ncbi.nlm.nih.gov/pmc/blobs/5bb9/11240671/1ba4275d1d44/animals-14-01855-g001.jpg
https://cdn.ncbi.nlm.nih.gov/pmc/blobs/5bb9/11240671/cd0bf130df5a/animals-14-01855-g002.jpg

相似文献

1
Fattening Pigs with Tannin-Rich Source ( L.) and High Doses of Vitamin E: Effects on Growth Performance, Economics, Digestibility, Physiology, and Behaviour.用富含单宁的来源(L.)和高剂量维生素E育肥猪:对生长性能、经济效益、消化率、生理和行为的影响。
Animals (Basel). 2024 Jun 22;14(13):1855. doi: 10.3390/ani14131855.
2
Effect of feeding mid- or zero-tannin faba bean cultivars differing in vicine and covicine content on diet nutrient digestibility and growth performance of weaned pigs.饲喂不同蚕豆嘧啶和伴蚕豆嘧啶含量的中丹宁或零丹宁蚕豆品种对断奶仔猪日粮养分消化率和生长性能的影响。
Transl Anim Sci. 2022 Apr 18;6(2):txac049. doi: 10.1093/tas/txac049. eCollection 2022 Apr.
3
Colour Stability, Fatty Acid Profile, and Lipid Oxidation in Meat Stored in Modified Atmosphere Packaging from Light Lambs Fed with Concentrate with Carob Pulp ( L.).用角豆荚果肉(L.)浓缩饲料喂养的轻量级羔羊经气调包装储存的肉的颜色稳定性、脂肪酸组成和脂质氧化
Antioxidants (Basel). 2023 Jul 25;12(8):1482. doi: 10.3390/antiox12081482.
4
Polyethylene glycol as a means for reducing the impact of condensed tannins in carob pulp: effects on lamb growth performance and meat quality.聚乙二醇作为降低角豆果肉中缩合单宁影响的一种手段:对羔羊生长性能和肉质的影响。
J Anim Sci. 2000 Apr;78(4):810-6. doi: 10.2527/2000.784810x.
5
Comparative digestion and fermentation characteristics of low-tannin or high-tannin sorghum grain in the porcine gastrointestinal tract.低单宁或高单宁高粱谷物在猪胃肠道中的消化和发酵特性比较。
J Anim Sci. 2022 Nov 1;100(11). doi: 10.1093/jas/skac300.
6
No carryover effect of feeding spray dried plasma to weanling pigs in phase 1 on energy and nutrient digestibility in phase 2 were observed.在第 2 阶段,给断奶仔猪饲喂喷雾干燥血浆在第 1 阶段没有表现出对能量和养分消化率的后续影响。
J Anim Sci. 2023 Jan 3;101. doi: 10.1093/jas/skad065.
7
The effects of low-, medium-, and high-oil distillers dried grains with solubles on growth performance, nutrient digestibility, and fat quality in finishing pigs.低、中、高油脂的玉米干酒糟及其可溶物对育肥猪生长性能、养分消化率和脂肪品质的影响。
J Anim Sci. 2014 Aug;92(8):3610-23. doi: 10.2527/jas.2014-7678. Epub 2014 Jul 28.
8
Nutrient digestibility of extruded canola meal in ileal-cannulated growing pigs and effects of its feeding on diet nutrient digestibility and growth performance in weaned pigs.膨化菜粕在回肠末端可消化养分及对断奶仔猪饲粮养分消化率和生产性能的影响。
J Anim Sci. 2021 May 1;99(5). doi: 10.1093/jas/skab135.
9
Sugary and salty former food products in pig diets affect energy and nutrient digestibility, feeding behaviour but not the growth performance and carcass composition.猪饲料中的含糖和含盐的前食物产品会影响能量和养分消化率、采食行为,但不会影响生长性能和胴体组成。
Animal. 2023 Dec;17(12):101019. doi: 10.1016/j.animal.2023.101019. Epub 2023 Oct 18.
10
Effect of quebracho-chestnut tannin extracts at 2 dietary crude protein levels on performance, rumen fermentation, and nitrogen partitioning in dairy cows.在两种日粮粗蛋白水平下,破斧树-栗木单宁提取物对奶牛生产性能、瘤胃发酵及氮分配的影响。
J Dairy Sci. 2016 Jun;99(6):4476-4486. doi: 10.3168/jds.2015-10745. Epub 2016 Apr 6.

引用本文的文献

1
The eubiotic perspective on utilization of tannins in phytotherapy and nutrition of pigs.关于单宁在猪的植物疗法和营养中应用的正常微生物群视角。
Front Pharmacol. 2025 Aug 25;16:1649388. doi: 10.3389/fphar.2025.1649388. eCollection 2025.
2
Valorization of Carob and Brewer's Spent Grain as Growth-Substrate Supplements in Rearing.将角豆荚和啤酒糟作为饲养中生长底物补充剂的增值利用。
Animals (Basel). 2025 Jun 8;15(12):1697. doi: 10.3390/ani15121697.
3
Reducing Dietary Protein Levels with Amino Acid Supplementation in Duroc Sire Line Finishing Pigs: Growth Performances, Carcass and Meat Traits and Nitrogen Balance in Males and Females.

本文引用的文献

1
Partial Replacement of Synthetic Vitamin E by Polyphenols in Post-Weaning Piglets.断奶仔猪中用多酚部分替代合成维生素E
Antioxidants (Basel). 2023 Sep 12;12(9):1752. doi: 10.3390/antiox12091752.
2
Feeding hazelnut skin to lambs delays lipid oxidation in meat.给羔羊喂食榛树皮可延缓肉中的脂质氧化。
Meat Sci. 2023 Aug;202:109218. doi: 10.1016/j.meatsci.2023.109218. Epub 2023 May 12.
3
Understanding the future meat consumers.了解未来的肉食消费者。
在杜洛克父系育肥猪中通过补充氨基酸降低日粮蛋白质水平:公猪和母猪的生长性能、胴体和肉质性状以及氮平衡
Animals (Basel). 2024 Dec 11;14(24):3572. doi: 10.3390/ani14243572.
Meat Sci. 2022 Nov;193:108941. doi: 10.1016/j.meatsci.2022.108941. Epub 2022 Aug 6.
4
Effects of dietary vitamin E and fat supplementation in growing-finishing swine fed to a heavy slaughter weight of 150 kg: I. Growth performance, lean growth, organ size, carcass characteristics, primal cuts, and pork quality.饲粮添加维生素 E 和脂肪对育肥猪达到 150kg 出栏体重的影响:I. 生长性能、瘦肉生长、器官大小、胴体特性、分割肉和猪肉品质。
J Anim Sci. 2022 Apr 1;100(4). doi: 10.1093/jas/skac081.
5
Effect of Feed Supplementation with , Alone or in Combination with Carob Meal or Citrus Pulp, on Digestive and Metabolic Status of Piglets.单独或与角豆粉或柑橘果肉联合添加饲料对仔猪消化和代谢状态的影响。
Animals (Basel). 2021 Oct 10;11(10):2924. doi: 10.3390/ani11102924.
6
Behavior and Welfare of Undocked Heavy Pigs Raised in Buildings with Different Ventilation Systems.在不同通风系统的猪舍中饲养的未断尾重型猪的行为与福利
Animals (Basel). 2021 Aug 8;11(8):2338. doi: 10.3390/ani11082338.
7
Effect of Immunocastration and Diet on Growth Performance, Serum Metabolites and Sex Hormones, Reproductive Organ Development and Carcass Quality of Heavy Gilts.免疫去势和日粮对重型后备母猪生长性能、血清代谢产物及性激素、生殖器官发育和胴体品质的影响
Animals (Basel). 2021 Jun 25;11(7):1900. doi: 10.3390/ani11071900.
8
Evaluation of increased fiber, decreased amino acids, or decreased electrolyte balance as dietary approaches to slow finishing pig growth rates.评估增加纤维、减少氨基酸或减少电解质平衡作为减缓育肥猪生长速度的饮食方法。
J Anim Sci. 2021 Jul 1;99(7). doi: 10.1093/jas/skab164.
9
Phenolic compounds as natural feed additives in poultry and swine diets: a review.酚类化合物作为家禽和猪日粮中的天然饲料添加剂:综述
J Anim Sci Biotechnol. 2021 Apr 7;12(1):48. doi: 10.1186/s40104-021-00565-3.
10
Impact of increasing levels of condensed tannins from sainfoin in the grower-finisher diets of entire male pigs on growth performance, carcass characteristics, and meat quality.提高公猪育肥期饲粮中毛蕊花糖甙水平对生长性能、胴体特性和肉质的影响。
Animal. 2021 Feb;15(2):100110. doi: 10.1016/j.animal.2020.100110. Epub 2020 Dec 23.