Suppr超能文献

在非转移性胰腺导管腺癌中建立 ctDNA 分析的临床适用性。

Building on the clinical applicability of ctDNA analysis in non-metastatic pancreatic ductal adenocarcinoma.

机构信息

Oncobiona Group, Navarrabiomed-Instituto de Investigación Sanitaria de Navarra (IdiSNA), Irunlarrea 3, 31008, Pamplona, Spain.

Medical Oncology Department, Hospital Universitario de Navarra (HUN), Irunlarrea 3, 31008, Pamplona, Spain.

出版信息

Sci Rep. 2024 Jul 13;14(1):16203. doi: 10.1038/s41598-024-67235-y.

Abstract

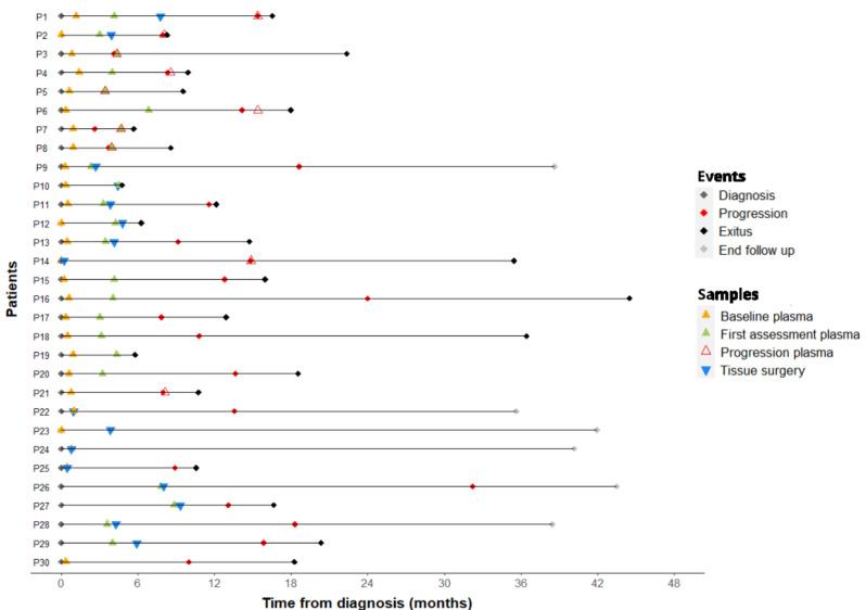
Pancreatic ductal adenocarcinoma represents one of the solid tumors showing the worst prognosis worldwide, with a high recurrence rate after adjuvant or neoadjuvant therapy. Circulating tumor DNA analysis raised as a promising non-invasive tool to characterize tumor genomics and to assess treatment response. In this study, surgical tumor tissue and sequential blood samples were analyzed by next-generation sequencing and were correlated with clinical and pathological characteristics. Thirty resectable/borderline pancreatic ductal adenocarcinoma patients treated at the Hospital Universitario de Navarra were included. Circulating tumoral DNA sequencing identified pathogenic variants in KRAS and TP53, and in other cancer-associated genes. Pathogenic variants at diagnosis were detected in patients with a poorer outcome, and were correlated with response to neoadjuvant therapy in borderline pancreatic ductal adneocarcinoma patients. Higher variant allele frequency at diagnosis was associated with worse prognosis, and thesum of variant allele frequency was greater in samples at progression. Our results build on the potential value of circulating tumor DNA for non-metastatic pancreatic ductal adenocarcinoma patients, by complementing tissue genetic information and as a non-invasive tool for treatment decision. Confirmatory studies are needed to corroborate these findings.

摘要

胰腺导管腺癌是全球预后最差的实体肿瘤之一,在辅助或新辅助治疗后复发率很高。循环肿瘤 DNA 分析作为一种很有前途的非侵入性工具,可以用于描述肿瘤基因组并评估治疗反应。在这项研究中,对手术肿瘤组织和连续的血液样本进行了下一代测序,并与临床和病理特征相关联。共纳入了 30 名在纳瓦拉大学医院接受治疗的可切除/交界性胰腺导管腺癌患者。循环肿瘤 DNA 测序在 KRAS 和 TP53 以及其他与癌症相关的基因中发现了致病性变异。在预后较差的患者中检测到诊断时的致病性变异,并且与交界性胰腺导管腺癌患者的新辅助治疗反应相关。在诊断时更高的变异等位基因频率与更差的预后相关,并且在进展时样本的变异等位基因频率总和更大。我们的研究结果通过补充组织遗传信息并作为治疗决策的非侵入性工具,为非转移性胰腺导管腺癌患者的循环肿瘤 DNA 潜在价值提供了依据。需要进一步的研究来证实这些发现。

https://cdn.ncbi.nlm.nih.gov/pmc/blobs/3d45/11246447/ce1e4535e495/41598_2024_67235_Fig1_HTML.jpg

文献检索

告别复杂PubMed语法,用中文像聊天一样搜索,搜遍4000万医学文献。AI智能推荐,让科研检索更轻松。

立即免费搜索

文件翻译

保留排版,准确专业,支持PDF/Word/PPT等文件格式,支持 12+语言互译。

免费翻译文档

深度研究

AI帮你快速写综述,25分钟生成高质量综述,智能提取关键信息,辅助科研写作。

立即免费体验