Suppr超能文献

Setrusumab 治疗成骨不全症:2b 期小行星研究的 12 个月结果。

Setrusumab for the treatment of osteogenesis imperfecta: 12-month results from the phase 2b asteroid study.

机构信息

Departments of Surgery, Pediatrics and Human Genetics, Shriners Hospitals for Children, McGill University, Montreal, Quebec H4A 0A9, Canada.

Department of Endocrinology and Internal Medicine, Aarhus University Hospital, Aarhus, Middle Jutland 8200, Denmark.

出版信息

J Bone Miner Res. 2024 Sep 2;39(9):1215-1228. doi: 10.1093/jbmr/zjae112.

Abstract

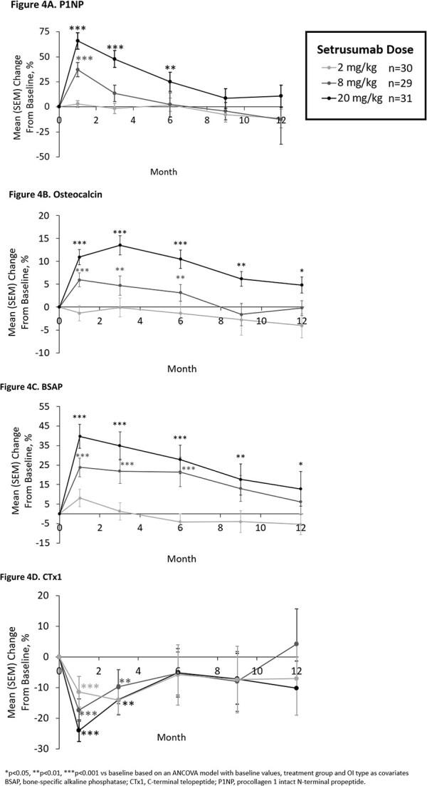
Osteogenesis imperfecta (OI) is a rare genetic disorder commonly caused by variants of the type I collagen genes COL1A1 and COL1A2. OI is associated with increased bone fragility, bone deformities, bone pain, and reduced growth. Setrusumab, a neutralizing antibody to sclerostin, increased areal bone mineral density (aBMD) in a 21-week phase 2a dose escalation study. The phase 2b Asteroid (NCT03118570) study evaluated the efficacy and safety of setrusumab in adults. Adults with a clinical diagnosis of OI type I, III, or IV, a pathogenic variant in COL1A1/A2, and a recent fragility fracture were randomized 1:1:1:1 to receive 2, 8, or 20 mg/kg setrusumab doses or placebo by monthly intravenous infusion during a 12-mo treatment period. Participants initially randomized to the placebo group were subsequently reassigned to receive setrusumab 20 mg/kg open label. Therefore, only results from the 2, 8, and 20 mg/kg double-blind groups are presented herein. The primary endpoint of Asteroid was change in distal radial trabecular volumetric bone mineral density (vBMD) from baseline at month 12, supported by changes in high-resolution peripheral quantitative computed tomography micro-finite element (microFE)-derived bone strength. A total of 110 adults were enrolled with similar baseline characteristics across treatment groups. At 12 mo, there was a significant increase in mean (SE) failure load in the 20 mg/kg group (3.17% [1.26%]) and stiffness in the 8 (3.06% [1.70%]) and 20 mg/kg (3.19% [1.29%]) groups from baseline. There were no changes in radial trabecula vBMD (p>05). Gains in failure load and stiffness were similar across OI types. There were no significant differences in annualized fracture rates between doses. Two adults in the 20 mg/kg group experienced related serious adverse reactions. Asteroid demonstrated a beneficial effect of setrusumab on estimates of bone strength across the different types of OI and provides the basis for additional phase 3 evaluation.

摘要

成骨不全症(OI)是一种罕见的遗传性疾病,通常由 I 型胶原基因 COL1A1 和 COL1A2 的变异引起。OI 与骨脆性增加、骨骼畸形、骨痛和生长受限有关。司特鲁单抗是一种针对硬骨素的中和抗体,在一项为期 21 周的 2a 剂量递增研究中增加了面积骨矿物质密度(aBMD)。2b 期 Asteroid 研究(NCT03118570)评估了司特鲁单抗在成人中的疗效和安全性。患有 I 型、III 型或 IV 型 OI、COL1A1/A2 中的致病性变异和最近脆性骨折的成人按 1:1:1:1 的比例随机接受 2、8 或 20mg/kg 司特鲁单抗剂量或安慰剂,通过每月静脉输注,持续 12 个月的治疗期。最初随机分配到安慰剂组的参与者随后被重新分配接受 20mg/kg 司特鲁单抗开放标签治疗。因此,本文仅呈现 2、8 和 20mg/kg 双盲组的结果。Asteroid 的主要终点是第 12 个月时远端桡骨小梁容积骨矿物质密度(vBMD)相对于基线的变化,由高分辨率外周定量计算机断层扫描微有限元(microFE)衍生的骨强度变化支持。共有 110 名成人入组,各组治疗之间的基线特征相似。12 个月时,20mg/kg 组的平均(SE)失效负荷(3.17%[1.26%])和刚度(8 组为 3.06%[1.70%]和 20mg/kg 组为 3.19%[1.29%])均显著增加。桡骨小梁 vBMD 无变化(p>05)。不同 OI 类型的失效负荷和刚度增加相似。各剂量组的年化骨折率无显著差异。20mg/kg 组的 2 名成人出现与治疗相关的严重不良反应。Asteroid 显示司特鲁单抗对不同类型 OI 的骨强度估计具有有益作用,并为进一步的 3 期评估提供了依据。

https://cdn.ncbi.nlm.nih.gov/pmc/blobs/1cb4/11371902/ce9219ecf72c/zjae112f1.jpg

文献检索

告别复杂PubMed语法,用中文像聊天一样搜索,搜遍4000万医学文献。AI智能推荐,让科研检索更轻松。

立即免费搜索

文件翻译

保留排版,准确专业,支持PDF/Word/PPT等文件格式,支持 12+语言互译。

免费翻译文档

深度研究

AI帮你快速写综述,25分钟生成高质量综述,智能提取关键信息,辅助科研写作。

立即免费体验