Suppr超能文献

重组带状疱疹疫苗产生的训练免疫

Trained Immunity Generated by the Recombinant Zoster Vaccine.

作者信息

Weinberg Adriana, Johnson Michael, Crotteau Megan, Ghosh Debashis, Vu Thao, Levin Myron J

机构信息

University of Colorado Denver | Anschutz Medical Campus.

University of Colorado Denver.

出版信息

Res Sq. 2024 Jul 10:rs.3.rs-4607744. doi: 10.21203/rs.3.rs-4607744/v1.

Abstract

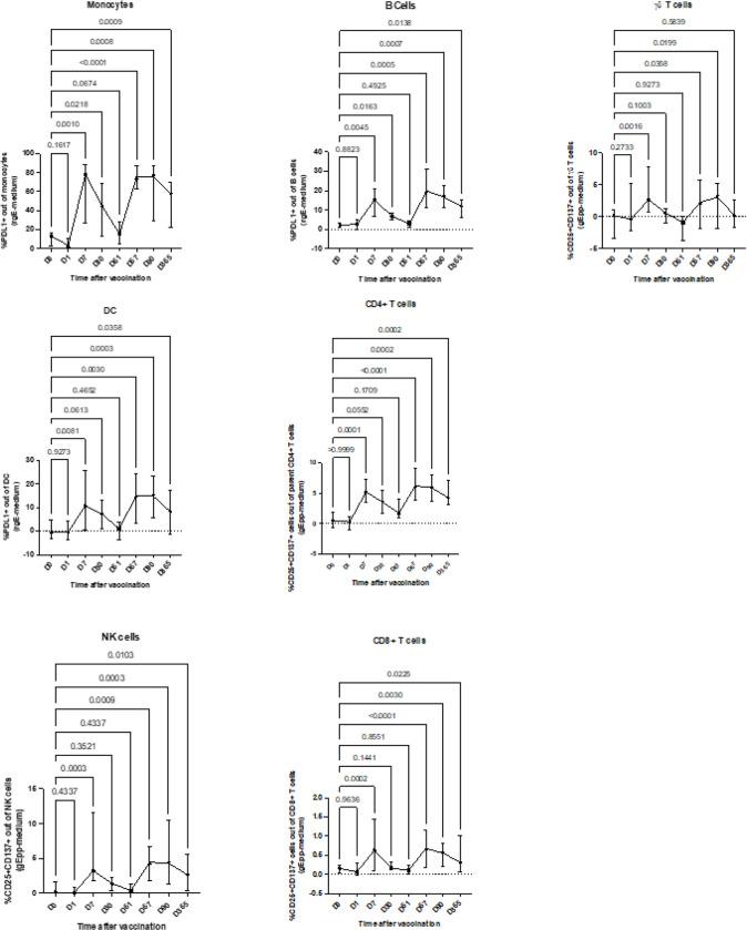
Trained immunity may play a role in vaccine-induced protection against infections. We showed that the highly efficacious recombinant VZV-gE zoster vaccine (RZV) generated trained immunity in monocytes, natural killer (NK) cells, and dendritic cells (DCs) and that the less efficacious live zoster vaccine did not. RZV stimulated ex vivo gE-specific monocyte, DC and NK cell responses that did not correlate with CD4 + T-cell responses. These responses were also elicited in purified monocyte and NK cell cocultures stimulated with VZV-gE and persisted above prevaccination levels for ≥ 4 years post-RZV administration. RZV administration also increased ex vivo heterologous monocyte and NK cell responses to herpes simplex and cytomegalovirus antigens. ATAC-seq analysis and ex vivo TGFβ1 supplementation and inhibition experiments demonstrated that decreased transcription resulting from RZV-induced chromatin modifications may explain the development of monocyte trained immunity. The role of RZV-trained immunity in protection against herpes zoster and other infections should be further studied.

摘要

训练有素的免疫可能在疫苗诱导的抗感染保护中发挥作用。我们发现,高效的重组水痘-带状疱疹病毒糖蛋白E(VZV-gE)带状疱疹疫苗(RZV)可在单核细胞、自然杀伤(NK)细胞和树突状细胞(DC)中产生训练有素的免疫,而效力较低的减毒活带状疱疹疫苗则不能。RZV刺激体外gE特异性单核细胞、DC和NK细胞反应,这些反应与CD4 + T细胞反应无关。在用VZV-gE刺激的纯化单核细胞和NK细胞共培养物中也引发了这些反应,并且在RZV给药后≥4年,这些反应持续高于接种前水平。RZV给药还增加了体外单核细胞和NK细胞对单纯疱疹和巨细胞病毒抗原的异源反应。ATAC-seq分析以及体外TGFβ1补充和抑制实验表明,RZV诱导的染色质修饰导致的转录减少可能解释了单核细胞训练有素免疫的发展。RZV训练有素的免疫在预防带状疱疹和其他感染中的作用应进一步研究。

https://cdn.ncbi.nlm.nih.gov/pmc/blobs/fff3/11261968/119bf886c822/nihpp-rs4607744v1-f0001.jpg

文献检索

告别复杂PubMed语法,用中文像聊天一样搜索,搜遍4000万医学文献。AI智能推荐,让科研检索更轻松。

立即免费搜索

文件翻译

保留排版,准确专业,支持PDF/Word/PPT等文件格式,支持 12+语言互译。

免费翻译文档

深度研究

AI帮你快速写综述,25分钟生成高质量综述,智能提取关键信息,辅助科研写作。

立即免费体验