• 文献检索
  • 文档翻译
  • 深度研究
  • 学术资讯
  • Suppr Zotero 插件Zotero 插件
  • 邀请有礼
  • 套餐&价格
  • 历史记录
应用&插件
Suppr Zotero 插件Zotero 插件浏览器插件Mac 客户端Windows 客户端微信小程序
定价
高级版会员购买积分包购买API积分包
服务
文献检索文档翻译深度研究API 文档MCP 服务
关于我们
关于 Suppr公司介绍联系我们用户协议隐私条款
关注我们

Suppr 超能文献

核心技术专利:CN118964589B侵权必究
粤ICP备2023148730 号-1Suppr @ 2026

文献检索

告别复杂PubMed语法,用中文像聊天一样搜索,搜遍4000万医学文献。AI智能推荐,让科研检索更轻松。

立即免费搜索

文件翻译

保留排版,准确专业,支持PDF/Word/PPT等文件格式,支持 12+语言互译。

免费翻译文档

深度研究

AI帮你快速写综述,25分钟生成高质量综述,智能提取关键信息,辅助科研写作。

立即免费体验

家族性噬血细胞性淋巴组织细胞增生症的诊断指南再探讨。

Diagnostic guidelines for familial hemophagocytic lymphohistiocytosis revisited.

机构信息

Childhood Cancer Research Unit, Department of Women's and Children's Health, Karolinska Institutet, Stockholm, Sweden.

Department of Pediatrics, Astrid Lindgrens Children's Hospital, Karolinska University Hospital, Stockholm, Sweden.

出版信息

Blood. 2024 Nov 28;144(22):2308-2318. doi: 10.1182/blood.2024025077.

DOI:10.1182/blood.2024025077
PMID:
39046779
原文链接:https://pmc.ncbi.nlm.nih.gov/articles/PMC11619794/
Abstract

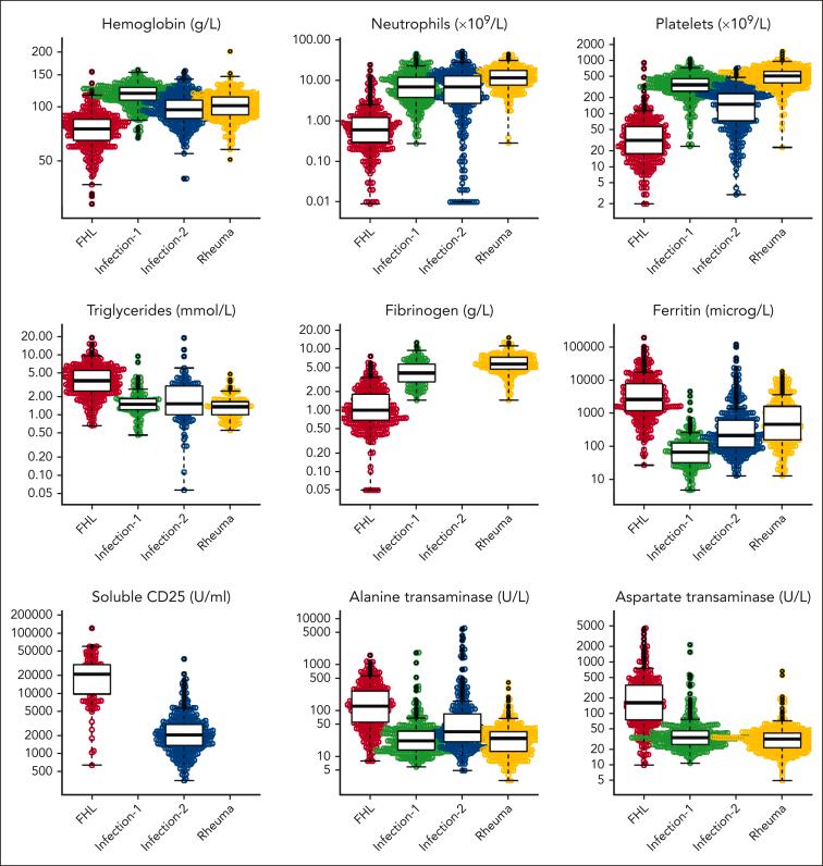
Current hemophagocytic lymphohistiocytosis 2004 (HLH-2004)-based diagnostic criteria for familial hemophagocytic lymphohistiocytosis (FHL) are based on expert opinion. Here, we performed a case-control study to test and possibly improve these criteria. We also developed 2 complementary expert opinion-based diagnostic strategies for FHL in patients with signs/symptoms suggestive of HLH, based on genetic and cellular cytotoxicity assays. The cases (N = 366) were children aged <16 years with verified familial and/or genetic FHL (n = 341) or Griscelli syndrome type 2 (n = 25); 276 from the HLH-94/HLH-2004 databases and 90 from the Italian HLH Registry. All fulfilled the HLH-94/HLH-2004 patient inclusion criteria. Controls were 374 children with systemic-onset juvenile idiopathic arthritis (sJIA) and 329 + 361 children in 2 cohorts with febrile infections that could be confused with HLH and sepsis, respectively. To provide complete data sets, multiple imputations were performed. The optimal model, based on 17 variables studied, revealed almost similar diagnostic thresholds as the existing criteria, with accuracy 99.1% (sensitivity 97.1%; specificity 99.5%); the original HLH-2004 criteria had accuracy 97.4% (sensitivity 99.0%; specificity 97.1%). Because cellular cytotoxicity assays here constitute a separate diagnostic strategy, HLH-2004 criteria without natural killer (NK)-cell function was also studied, which showed accuracy 99.0% (sensitivity, 96.2%; specificity, 99.5%). Thus, we conclude that the HLH-2004 criteria (without NK-cell function) have significant validity in their current form when tested against severe infections or sJIA. It is important to exclude underlying malignancies and atypical infections. In addition, complementary cellular and genetic diagnostic guidelines can facilitate necessary confirmation of clinical diagnosis.

摘要

当前基于 2004 年噬血细胞性淋巴组织细胞增生症(HLH-2004)的家族性噬血细胞性淋巴组织细胞增生症(FHL)诊断标准基于专家意见。在这里,我们进行了一项病例对照研究,以测试并可能改进这些标准。我们还根据遗传和细胞细胞毒性测定,为有噬血细胞性淋巴组织细胞增生症(HLH)迹象/症状的患者制定了两种基于专家意见的补充 FHL 诊断策略。这些病例(N=366)是年龄<16 岁的患有证实的家族性和/或遗传性 FHL(n=341)或 2 型 Griscelli 综合征(n=25)的儿童;其中 276 例来自 HLH-94/HLH-2004 数据库,90 例来自意大利 HLH 登记处。所有患者均符合 HLH-94/HLH-2004 患者纳入标准。对照组为 374 例全身型幼年特发性关节炎(sJIA)儿童和 329+361 例分别可能与 HLH 和脓毒症混淆的发热感染的儿童。为了提供完整的数据集,进行了多次插补。基于研究的 17 个变量的最佳模型显示出与现有标准几乎相似的诊断阈值,准确率为 99.1%(灵敏度 97.1%;特异性 99.5%);原始的 HLH-2004 标准的准确率为 97.4%(灵敏度 99.0%;特异性 97.1%)。由于细胞细胞毒性测定在这里构成了另一种诊断策略,因此还研究了不包括自然杀伤(NK)细胞功能的 HLH-2004 标准,其准确率为 99.0%(灵敏度为 96.2%;特异性为 99.5%)。因此,我们得出结论,当针对严重感染或 sJIA 进行测试时,当前形式的 HLH-2004 标准具有显著的有效性。排除潜在的恶性肿瘤和非典型感染非常重要。此外,补充的细胞和遗传诊断指南可以有助于确认临床诊断。

https://cdn.ncbi.nlm.nih.gov/pmc/blobs/f6be/11619794/a68bdcef916e/BLOOD_BLD-2024-025077-gr1a.jpg
https://cdn.ncbi.nlm.nih.gov/pmc/blobs/f6be/11619794/c32e124b505d/BLOOD_BLD-2024-025077-ga1.jpg
https://cdn.ncbi.nlm.nih.gov/pmc/blobs/f6be/11619794/a68bdcef916e/BLOOD_BLD-2024-025077-gr1a.jpg
https://cdn.ncbi.nlm.nih.gov/pmc/blobs/f6be/11619794/c32e124b505d/BLOOD_BLD-2024-025077-ga1.jpg
https://cdn.ncbi.nlm.nih.gov/pmc/blobs/f6be/11619794/a68bdcef916e/BLOOD_BLD-2024-025077-gr1a.jpg

相似文献

1
Diagnostic guidelines for familial hemophagocytic lymphohistiocytosis revisited.家族性噬血细胞性淋巴组织细胞增生症的诊断指南再探讨。
Blood. 2024 Nov 28;144(22):2308-2318. doi: 10.1182/blood.2024025077.
2
Signs and symptoms to determine if a patient presenting in primary care or hospital outpatient settings has COVID-19.在基层医疗机构或医院门诊环境中,如果患者出现以下症状和体征,可判断其是否患有 COVID-19。
Cochrane Database Syst Rev. 2022 May 20;5(5):CD013665. doi: 10.1002/14651858.CD013665.pub3.
3
123I-MIBG scintigraphy and 18F-FDG-PET imaging for diagnosing neuroblastoma.用于诊断神经母细胞瘤的123I-间碘苄胍闪烁扫描术和18F-氟代脱氧葡萄糖正电子发射断层显像
Cochrane Database Syst Rev. 2015 Sep 29;2015(9):CD009263. doi: 10.1002/14651858.CD009263.pub2.
4
Elucigene FH20 and LIPOchip for the diagnosis of familial hypercholesterolaemia: a systematic review and economic evaluation.Elucigene FH20 和 LIPOchip 用于家族性高胆固醇血症的诊断:系统评价和经济评估。
Health Technol Assess. 2012;16(17):1-266. doi: 10.3310/hta16170.
5
Ocular inflammation as the first presenting feature of PRF1-associated familial hemophagocytic lymphohistiocytosis, case report and review of literature.眼部炎症作为PRF1相关家族性噬血细胞性淋巴组织细胞增生症的首发特征:病例报告及文献复习
BMC Ophthalmol. 2025 Jul 7;25(1):394. doi: 10.1186/s12886-025-04226-1.
6
Systemic pharmacological treatments for chronic plaque psoriasis: a network meta-analysis.系统性药理学治疗慢性斑块状银屑病:网络荟萃分析。
Cochrane Database Syst Rev. 2021 Apr 19;4(4):CD011535. doi: 10.1002/14651858.CD011535.pub4.
7
Comparison of Two Modern Survival Prediction Tools, SORG-MLA and METSSS, in Patients With Symptomatic Long-bone Metastases Who Underwent Local Treatment With Surgery Followed by Radiotherapy and With Radiotherapy Alone.两种现代生存预测工具 SORG-MLA 和 METSSS 在接受手术联合放疗和单纯放疗治疗有症状长骨转移患者中的比较。
Clin Orthop Relat Res. 2024 Dec 1;482(12):2193-2208. doi: 10.1097/CORR.0000000000003185. Epub 2024 Jul 23.
8
Clinicopathological and Immunogenetic Characterization in 8 Patients with Familial Hemophagocytic Lymphohistiocytosis Type 2: A Study from North India with Literature Review.8例2型家族性噬血细胞性淋巴组织细胞增生症患者的临床病理及免疫遗传学特征:来自印度北部的一项研究及文献综述
J Clin Immunol. 2025 Jun 19;45(1):108. doi: 10.1007/s10875-025-01895-x.
9
Diagnostic test accuracy and cost-effectiveness of tests for codeletion of chromosomal arms 1p and 19q in people with glioma.染色体臂 1p 和 19q 缺失的检测在胶质瘤患者中的诊断准确性和成本效益。
Cochrane Database Syst Rev. 2022 Mar 2;3(3):CD013387. doi: 10.1002/14651858.CD013387.pub2.
10
Clinical symptoms, signs and tests for identification of impending and current water-loss dehydration in older people.老年人即将发生和当前失水脱水的识别的临床症状、体征及检查
Cochrane Database Syst Rev. 2015 Apr 30;2015(4):CD009647. doi: 10.1002/14651858.CD009647.pub2.

引用本文的文献

1
Hemophagocytic Lymphohistiocytosis: An 18-Year-Long Retrospective Single-Center Study.噬血细胞性淋巴组织细胞增生症:一项长达18年的回顾性单中心研究。
Cureus. 2025 Jul 26;17(7):e88831. doi: 10.7759/cureus.88831. eCollection 2025 Jul.
2
Hemophagocytic Lymphohistiocytosis Gene Variants in Severe COVID-19 Cytokine Storm Syndrome.重症 COVID-19 细胞因子风暴综合征中的噬血细胞性淋巴组织细胞增生症基因变异
Viruses. 2025 Aug 8;17(8):1093. doi: 10.3390/v17081093.
3
Haemophagocytic Lymphohistiocytosis: An Uncommon Presentation in Systemic Lupus Erythematosus and Acute Leukaemia.

本文引用的文献

1
Efficacy of T-cell assays for the diagnosis of primary defects in cytotoxic lymphocyte exocytosis.T 细胞检测在细胞毒性淋巴细胞胞吐作用原发性缺陷诊断中的作用。
Blood. 2024 Aug 22;144(8):873-887. doi: 10.1182/blood.2024024499.
2
Hyperferritinemic sepsis, macrophage activation syndrome, and mortality in a pediatric research network: a causal inference analysis.高血清铁蛋白血症性脓毒症、巨噬细胞活化综合征与儿科研究网络中的病死率:因果推理分析。
Crit Care. 2023 Sep 6;27(1):347. doi: 10.1186/s13054-023-04628-x.
3
Simple Evaluation of Clinical Situation and Subtypes of Pediatric Hemophagocytic Lymphohistiocytosis by Cytokine Patterns.
噬血细胞性淋巴组织细胞增生症:系统性红斑狼疮和急性白血病中的罕见表现
Eur J Case Rep Intern Med. 2025 Jul 9;12(8):005555. doi: 10.12890/2025_005555. eCollection 2025.
4
Clinicopathological and Immunogenetic Characterization in 8 Patients with Familial Hemophagocytic Lymphohistiocytosis Type 2: A Study from North India with Literature Review.8例2型家族性噬血细胞性淋巴组织细胞增生症患者的临床病理及免疫遗传学特征:来自印度北部的一项研究及文献综述
J Clin Immunol. 2025 Jun 19;45(1):108. doi: 10.1007/s10875-025-01895-x.
5
Haemophagocytic Lymphohistiocytosis as an Initial Presentation of Undiagnosed Systemic Lupus Erythematosus.噬血细胞性淋巴组织细胞增生症作为未确诊系统性红斑狼疮的首发表现
Eur J Case Rep Intern Med. 2025 Apr 14;12(5):005336. doi: 10.12890/2025_005336. eCollection 2025.
6
A case of acid sphingomyelinase deficiency type B with prominent histiocytes with engulfed nucleated cells and compound heterozygosity.1例B型酸性鞘磷脂酶缺乏症,伴有大量吞噬有核细胞的组织细胞及复合杂合性。
J Hematop. 2025 May 9;18(1):24. doi: 10.1007/s12308-025-00641-x.
7
Histiocytoses and reactive proliferations of histiocytes: current state of the art and evolving concepts-a report from the joint CSHP-EA4HP-SH workshop 2024, Hefei, China.组织细胞增多症和组织细胞反应性增生:最新进展与不断演变的概念——2024年中国合肥CSHP-EA4HP-SH联合研讨会报告
Virchows Arch. 2025 Apr 10. doi: 10.1007/s00428-025-04096-4.
8
Multicenter validation of secondary hemophagocytic lymphohistiocytosis diagnostic criteria.继发性噬血细胞性淋巴组织细胞增生症诊断标准的多中心验证
J Intern Med. 2025 Mar;297(3):312-327. doi: 10.1111/joim.20065. Epub 2025 Jan 27.
9
Hemophagocytic lymphohistiocytosis: current treatment advances, emerging targeted therapy and underlying mechanisms.噬血细胞性淋巴组织细胞增生症:当前的治疗进展、新兴的靶向治疗和潜在机制。
J Hematol Oncol. 2024 Nov 7;17(1):106. doi: 10.1186/s13045-024-01621-x.
基于细胞因子模式对儿科噬血细胞性淋巴组织细胞增生症的临床情况和亚型进行简单评估。
Front Immunol. 2022 Feb 28;13:850443. doi: 10.3389/fimmu.2022.850443. eCollection 2022.
4
Prevalence of Pathogenic and Potentially Pathogenic Inborn Error of Immunity Associated Variants in Children with Severe Sepsis.严重脓毒症患儿中与先天免疫相关的致病性和潜在致病性遗传变异的流行情况。
J Clin Immunol. 2022 Feb;42(2):350-364. doi: 10.1007/s10875-021-01183-4. Epub 2022 Jan 1.
5
Digenic Inheritance: Evidence and Gaps in Hemophagocytic Lymphohistiocytosis.二基因遗传:噬血细胞性淋巴组织细胞增生症的证据和空白。
Front Immunol. 2021 Nov 17;12:777851. doi: 10.3389/fimmu.2021.777851. eCollection 2021.
6
Variant interpretation using population databases: Lessons from gnomAD.使用人群数据库进行变异解释:来自 gnomAD 的经验。
Hum Mutat. 2022 Aug;43(8):1012-1030. doi: 10.1002/humu.24309. Epub 2021 Dec 16.
7
An improved index for diagnosis and mortality prediction in malignancy-associated hemophagocytic lymphohistiocytosis.一种改良的指标,用于恶性肿瘤相关性噬血细胞性淋巴组织细胞增多症的诊断和死亡预测。
Blood. 2022 Feb 17;139(7):1098-1110. doi: 10.1182/blood.2021012764.
8
Evaluation of Multiple Imputation with Large Proportions of Missing Data: How Much Is Too Much?对大量数据缺失情况下多重填补法的评估:多少算过多?
Iran J Public Health. 2021 Jul;50(7):1372-1380. doi: 10.18502/ijph.v50i7.6626.
9
The mutational constraint spectrum quantified from variation in 141,456 humans.从 141456 名人类个体的变异中量化的突变约束谱。
Nature. 2020 May;581(7809):434-443. doi: 10.1038/s41586-020-2308-7. Epub 2020 May 27.
10
A research-driven approach to the identification of novel natural killer cell deficiencies affecting cytotoxic function.一种以研究为导向的方法,用于鉴定影响细胞毒性功能的新型自然杀伤细胞缺陷。
Blood. 2020 Feb 27;135(9):629-637. doi: 10.1182/blood.2019000925.