Suppr超能文献

癌症患者报告结局通用术语标准不良事件(PRO-CTCAE®)的心理测量学特性:前瞻性观察性多中心 VIP 研究。

Psychometric properties of patient-reported outcomes Common Terminology Criteria for adverse events (PRO-CTCAE®) in breast cancer patients: The prospective observational multicenter VIP study.

机构信息

Clinical and Epidemiological Research Unit, University Hospital, Parma, Italy.

Clinical Trial Unit, Istituto Nazionale Tumori, IRCCS Fondazione G.Pascale, Napoli, Italy.

出版信息

Breast. 2024 Oct;77:103781. doi: 10.1016/j.breast.2024.103781. Epub 2024 Jul 20.

Abstract

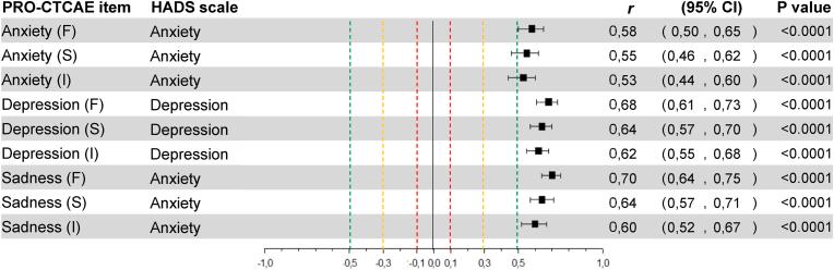
Patients' self-reporting is increasingly considered essential to measure quality-of-life and treatment-related side-effects. However, if multiple patient-reported instruments are used, redundancy may represent an overload for patients. Patient-Reported Outcomes Common Terminology Criteria for Adverse Events (PRO-CTCAE) are a tool allowing direct patients' reporting of side-effects. We tested psychometric properties of a selected list of PRO-CTCAE items, in a cohort of 303 breast cancer patients, using validated instruments for quality of life assessment as anchors. The analysis of convergent validity with HADS (Hospital Anxiety and Depression Scale) and EORTC BR-23 sub-scales, and the analysis of responsiveness with the PGIC (Patients Global Impression of Change) score supported that a selected list of PRO-CTCAE symptoms might represent a standardized, agile tool for both research and practice settings to reduce patient burden without missing relevant information on patient perceptions. Among patients using digital devices, those with a higher education levels required shorter time to fulfil questionnaires. In conclusion, a selected list of PRO-CTCAE items can be considered as a standardized, agile tool for capturing crucial domains of side-effects and quality of life in patients with breast cancer. The study is registered on clinicaltrials.gov (NCT04416672).

摘要

患者自我报告越来越被认为是衡量生活质量和治疗相关副作用的重要指标。然而,如果使用多个患者报告的工具,冗余可能会给患者带来负担。患者报告结局通用术语标准不良反应事件(PRO-CTCAE)是一种允许患者直接报告不良反应的工具。我们使用经过验证的生活质量评估工具作为锚点,对 303 名乳腺癌患者的一组选定的 PRO-CTCAE 项目进行了心理测量学特性测试。与 HADS(医院焦虑和抑郁量表)和 EORTC BR-23 子量表的相关性分析,以及与 PGIC(患者总体印象变化)评分的反应性分析,支持了一组选定的 PRO-CTCAE 症状可能代表一种标准化、灵活的工具,可用于研究和实践环境,减轻患者负担,同时不会遗漏患者感知的相关信息。在使用数字设备的患者中,受教育程度较高的患者完成问卷所需的时间更短。总之,一组选定的 PRO-CTCAE 项目可以被视为一种标准化、灵活的工具,用于捕捉乳腺癌患者的关键副作用和生活质量领域。该研究已在 clinicaltrials.gov(NCT04416672)注册。

https://cdn.ncbi.nlm.nih.gov/pmc/blobs/56e3/11332192/39bea86dad6a/ga1.jpg

文献检索

告别复杂PubMed语法,用中文像聊天一样搜索,搜遍4000万医学文献。AI智能推荐,让科研检索更轻松。

立即免费搜索

文件翻译

保留排版,准确专业,支持PDF/Word/PPT等文件格式,支持 12+语言互译。

免费翻译文档

深度研究

AI帮你快速写综述,25分钟生成高质量综述,智能提取关键信息,辅助科研写作。

立即免费体验