• 文献检索
  • 文档翻译
  • 深度研究
  • 学术资讯
  • Suppr Zotero 插件Zotero 插件
  • 邀请有礼
  • 套餐&价格
  • 历史记录
应用&插件
Suppr Zotero 插件Zotero 插件浏览器插件Mac 客户端Windows 客户端微信小程序
定价
高级版会员购买积分包购买API积分包
服务
文献检索文档翻译深度研究API 文档MCP 服务
关于我们
关于 Suppr公司介绍联系我们用户协议隐私条款
关注我们

Suppr 超能文献

核心技术专利:CN118964589B侵权必究
粤ICP备2023148730 号-1Suppr @ 2026

文献检索

告别复杂PubMed语法,用中文像聊天一样搜索,搜遍4000万医学文献。AI智能推荐,让科研检索更轻松。

立即免费搜索

文件翻译

保留排版,准确专业,支持PDF/Word/PPT等文件格式,支持 12+语言互译。

免费翻译文档

深度研究

AI帮你快速写综述,25分钟生成高质量综述,智能提取关键信息,辅助科研写作。

立即免费体验

抗新冠病毒药物阿兹夫定和奈玛特韦-利托那韦在治疗血液系统恶性肿瘤患者 COVID-19 中的疗效。

Effectiveness of the antiviral medications azvudine and nirmatrelvir-ritonavir in treating COVID-19 in patients with hematological malignancies.

机构信息

Department of Pharmacy, Affiliated Hospital of Guilin Medical University, Guilin, China.

School of Pharmacy, Guilin Medical University, Guilin, China.

出版信息

Clinics (Sao Paulo). 2024 Jul 25;79:100406. doi: 10.1016/j.clinsp.2024.100406. eCollection 2024.

DOI:10.1016/j.clinsp.2024.100406
PMID:39059144
原文链接:https://pmc.ncbi.nlm.nih.gov/articles/PMC11338056/
Abstract

BACKGROUND

Patients with Hematological Malignancies (HM) are at a high risk of mortality from Coronavirus disease 2019 (COVID-19). The available antivirals were different between China and other countries. In China, azvudine was obtained for emergency use to treat adult COVID-19 patients with moderate symptoms in July 2022. While nirmatrelvir-ritonavir was well-known and used in many countries. The purpose of the present study was to assess whether there was any difference in the efficacy and safety of the two drugs.

METHODS

This study was a prospective observational study of patients with HM who developed COVID-19. Patients were divided into three treatment groups: nirmatrelvir-ritonavir, azvudine, and observation. Treatment outcomes, first nucleic acid test negative time, hospitalization time, and the conversion rate of mild or moderate disease to severe disease were recorded.

RESULTS

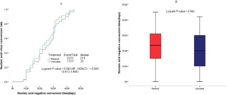
First nucleic acid test negative time (23.5 days vs. 34 days, p = 0.015), hospitalization time (p = 0.015), and conversion rate (31.8 % vs. 8 %, p = 0.046) were statistically different between the nirmatrelvir-ritonavir and observation groups. First nucleic acid test negative time (20 days vs. 34 days, p = 0.009) and hospitalization time (p = 0.026) were statistically different between the azvudine and observation groups. ECOG score and liver disease were significantly associated with the conversion rate from mild or moderate disease to severe disease using multivariate analysis (p < 0.05).

CONCLUSIONS

The authors found no significant differences existed in outcome measures between patients with HM and COVID-19 who were treated with nirmatrelvir-ritonavir or azvudine.

摘要

背景

血液恶性肿瘤(HM)患者因 2019 年冠状病毒病(COVID-19)而死亡的风险很高。可用于治疗 COVID-19 的抗病毒药物在中国和其他国家有所不同。在中国,阿兹夫定于 2022 年 7 月被批准紧急用于治疗中症 COVID-19 成年患者。而奈玛特韦/利托那韦在许多国家已广为人知并被广泛使用。本研究旨在评估这两种药物的疗效和安全性是否存在差异。

方法

本研究是一项前瞻性观察性研究,纳入了 HM 合并 COVID-19 的患者。患者分为三组:奈玛特韦/利托那韦组、阿兹夫定组和观察组。记录治疗结局、首次核酸检测转阴时间、住院时间和轻症或中症向重症的转化率。

结果

奈玛特韦/利托那韦组和观察组的首次核酸检测转阴时间(23.5 天比 34 天,p = 0.015)、住院时间(p = 0.015)和转化率(31.8%比 8%,p = 0.046)存在统计学差异。阿兹夫定组和观察组的首次核酸检测转阴时间(20 天比 34 天,p = 0.009)和住院时间(p = 0.026)存在统计学差异。多因素分析显示,ECOG 评分和肝病与轻症或中症向重症的转化率显著相关(p < 0.05)。

结论

作者发现 HM 合并 COVID-19 患者接受奈玛特韦/利托那韦或阿兹夫定治疗的结局指标无显著差异。

https://cdn.ncbi.nlm.nih.gov/pmc/blobs/6dba/11338056/0eb375e24fbf/gr4.jpg
https://cdn.ncbi.nlm.nih.gov/pmc/blobs/6dba/11338056/59c63ad7f543/gr1.jpg
https://cdn.ncbi.nlm.nih.gov/pmc/blobs/6dba/11338056/134ecdf9ef78/gr2.jpg
https://cdn.ncbi.nlm.nih.gov/pmc/blobs/6dba/11338056/859a7acc8d75/gr3.jpg
https://cdn.ncbi.nlm.nih.gov/pmc/blobs/6dba/11338056/0eb375e24fbf/gr4.jpg
https://cdn.ncbi.nlm.nih.gov/pmc/blobs/6dba/11338056/59c63ad7f543/gr1.jpg
https://cdn.ncbi.nlm.nih.gov/pmc/blobs/6dba/11338056/134ecdf9ef78/gr2.jpg
https://cdn.ncbi.nlm.nih.gov/pmc/blobs/6dba/11338056/859a7acc8d75/gr3.jpg
https://cdn.ncbi.nlm.nih.gov/pmc/blobs/6dba/11338056/0eb375e24fbf/gr4.jpg

相似文献

1
Effectiveness of the antiviral medications azvudine and nirmatrelvir-ritonavir in treating COVID-19 in patients with hematological malignancies.抗新冠病毒药物阿兹夫定和奈玛特韦-利托那韦在治疗血液系统恶性肿瘤患者 COVID-19 中的疗效。
Clinics (Sao Paulo). 2024 Jul 25;79:100406. doi: 10.1016/j.clinsp.2024.100406. eCollection 2024.
2
Nirmatrelvir combined with ritonavir for preventing and treating COVID-19.奈玛特韦/利托那韦片用于 COVID-19 的预防和治疗。
Cochrane Database Syst Rev. 2023 Nov 30;11(11):CD015395. doi: 10.1002/14651858.CD015395.pub3.
3
Nirmatrelvir combined with ritonavir for preventing and treating COVID-19.奈玛特韦片/利托那韦片组合包装用于 COVID-19 的预防和治疗。
Cochrane Database Syst Rev. 2022 Sep 20;9(9):CD015395. doi: 10.1002/14651858.CD015395.pub2.
4
Effectiveness of azvudine versus nirmatrelvir/ritonavir for hospitalized patients with SARS-CoV-2 infection and pre-existing liver diseases.阿兹夫定与奈玛特韦/利托那韦治疗合并基础肝病的新型冠状病毒肺炎住院患者的疗效比较
Virol J. 2025 May 19;22(1):147. doi: 10.1186/s12985-025-02771-1.
5
Nirmatrelvir-ritonavir versus placebo-ritonavir in individuals with long COVID in the USA (PAX LC): a double-blind, randomised, placebo-controlled, phase 2, decentralised trial.美国针对新冠长期症状患者开展的奈玛特韦-利托那韦对比安慰剂-利托那韦研究(PAX LC):一项双盲、随机、安慰剂对照的2期去中心化试验。
Lancet Infect Dis. 2025 Apr 3. doi: 10.1016/S1473-3099(25)00073-8.
6
Safety and Effectiveness of Nirmatrelvir-Ritonavir in Patients With Advanced Kidney Dysfunction and COVID-19.奈玛特韦-利托那韦在晚期肾功能不全合并 COVID-19 患者中的安全性和有效性
Am J Kidney Dis. 2025 Apr 7. doi: 10.1053/j.ajkd.2025.02.603.
7
Real-world effectiveness of simnotrelvir-ritonavir versus nirmatrelvir-ritonavir in hospitalized patients with COVID-19 during the omicron wave in China: a retrospective cohort study.在中国奥密克戎毒株流行期间,住院的新冠肺炎患者中,西米诺特韦-利托那韦与奈玛特韦-利托那韦的真实世界有效性:一项回顾性队列研究
BMC Infect Dis. 2025 Jul 1;25(1):840. doi: 10.1186/s12879-025-11195-9.
8
Effectiveness and safety of remdesivir and nirmatrelvir-ritonavir in mild to moderate COVID-19 in spanish hospital emergency departments.瑞德西韦和奈玛特韦-利托那韦在西班牙医院急诊科治疗轻至中度新型冠状病毒肺炎中的有效性和安全性
Med Clin (Barc). 2025 Aug;165(2):106912. doi: 10.1016/j.medcli.2025.106912. Epub 2025 May 23.
9
Nirmatrelvir-Ritonavir and Symptoms in Adults With Postacute Sequelae of SARS-CoV-2 Infection: The STOP-PASC Randomized Clinical Trial.尼马瑞韦/利托那韦片和成年人 SARS-CoV-2 感染后后遗症症状:STOP-PASC 随机临床试验。
JAMA Intern Med. 2024 Sep 1;184(9):1024-1034. doi: 10.1001/jamainternmed.2024.2007.
10
SARS-CoV-2 infection rebound among patients receiving antiviral agents, convalescent plasma, or no treatment: a systematic review with meta-analysis.接受抗病毒药物、恢复期血浆或未接受治疗的患者中 SARS-CoV-2 感染复发:系统评价与荟萃分析。
Blood Transfus. 2024 Nov;22(6):537-550. doi: 10.2450/BloodTransfus.764. Epub 2024 May 27.

本文引用的文献

1
Antiviral effect of azvudine and nirmatrelvir-ritonavir among hospitalized patients with COVID-19.阿兹夫定与奈玛特韦-利托那韦对新冠病毒感染住院患者的抗病毒作用。
J Infect. 2023 Jun;86(6):e158-e160. doi: 10.1016/j.jinf.2023.03.023. Epub 2023 Mar 30.
2
VV116 versus Nirmatrelvir-Ritonavir for Oral Treatment of Covid-19.VV116 对比奈玛特韦片/利托那韦片组合药物用于 COVID-19 口服治疗。
N Engl J Med. 2023 Feb 2;388(5):406-417. doi: 10.1056/NEJMoa2208822. Epub 2022 Dec 28.
3
B-cell malignancies treated with targeted drugs and SARS-CoV-2 infection: A European Hematology Association Survey (EPICOVIDEHA).
接受靶向药物治疗的B细胞恶性肿瘤与SARS-CoV-2感染:一项欧洲血液学协会调查(EPICOVIDEHA)
Front Oncol. 2022 Oct 3;12:992137. doi: 10.3389/fonc.2022.992137. eCollection 2022.
4
COVID-19 infection in adult patients with hematological malignancies: a European Hematology Association Survey (EPICOVIDEHA).COVID-19 感染成年血液病患者:欧洲血液学协会调查(EPICOVIDEHA)。
J Hematol Oncol. 2021 Oct 14;14(1):168. doi: 10.1186/s13045-021-01177-0.
5
Efficacy and safety of ReDuNing injection as a treatment for COVID-19 and its inhibitory effect against SARS-CoV-2.热毒宁注射液治疗 COVID-19 的疗效和安全性及其对 SARS-CoV-2 的抑制作用。
J Ethnopharmacol. 2021 Oct 28;279:114367. doi: 10.1016/j.jep.2021.114367. Epub 2021 Jun 24.
6
Efficacy and safety of Lianhuaqingwen capsules, a repurposed Chinese herb, in patients with coronavirus disease 2019: A multicenter, prospective, randomized controlled trial.连花清瘟胶囊治疗新型冠状病毒肺炎有效性和安全性的多中心前瞻性随机对照临床试验
Phytomedicine. 2021 May;85:153242. doi: 10.1016/j.phymed.2020.153242. Epub 2020 May 16.
7
Plant Products as Inhibitors of Coronavirus 3CL Protease.植物产品作为冠状病毒3CL蛋白酶的抑制剂
Front Pharmacol. 2021 Mar 9;12:583387. doi: 10.3389/fphar.2021.583387. eCollection 2021.
8
Association of clinical factors and recent anticancer therapy with COVID-19 severity among patients with cancer: a report from the COVID-19 and Cancer Consortium.癌症患者 COVID-19 严重程度与临床因素和近期抗癌治疗的相关性:来自 COVID-19 和癌症联合会的报告。
Ann Oncol. 2021 Jun;32(6):787-800. doi: 10.1016/j.annonc.2021.02.024. Epub 2021 Mar 19.
9
A comparative analysis of SARS-CoV-2 antivirals characterizes 3CL inhibitor PF-00835231 as a potential new treatment for COVID-19.一项针对严重急性呼吸综合征冠状病毒2(SARS-CoV-2)抗病毒药物的比较分析表明,3CL蛋白酶抑制剂PF-00835231是治疗新型冠状病毒肺炎(COVID-19)的一种潜在新疗法。
J Virol. 2021 Mar 10;95(7). doi: 10.1128/JVI.01819-20. Epub 2021 Feb 23.
10
Outcomes of patients with hematologic malignancies and COVID-19: a systematic review and meta-analysis of 3377 patients.血液系统恶性肿瘤合并 COVID-19 患者的结局:对 3377 例患者的系统评价和荟萃分析。
Blood. 2020 Dec 17;136(25):2881-2892. doi: 10.1182/blood.2020008824.