Suppr超能文献

关于……果实的分布、化学成分、健康益处及应用的最新进展

Recent Advances in the Distribution, Chemical Composition, Health Benefits, and Application of the Fruit of .

作者信息

Guo Qihan, Shi Minke, Xiao Zhewen, Xiao Ying, Feng Ke

机构信息

Medical Science Division, Macau University of Science and Technology, Macao 999078, China.

College of Life Science, Zhuhai College of Science and Technology, Zhuhai 519041, China.

出版信息

Foods. 2024 Jul 19;13(14):2278. doi: 10.3390/foods13142278.

Abstract

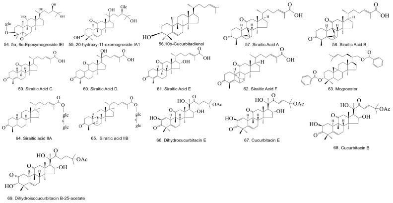
The fruits of () have attracted a lot of scientific interest as part of the current healthy diet. has diverse health-promoting effects, including antioxidant, anti-inflammatory, antimicrobial, respiratory modulation, metabolic modulation, antitumor, and neuroprotective effects, as well as gastrointestinal function modulation. As a plant resource, has broad application prospects, which promotes the development of the horticultural industry. Moreover, Mogroside has attracted much attention as an important active ingredient of . This review provides an in-depth exploration of the distribution, chemical composition, health benefits, and application of , particularly Mogroside. This comprehensive exploration highlights the important therapeutic potential of , prompting further research into its applications. As value-added functional ingredients, and its constituents have significant potential for disease prevention and are widely used in the development of food and health supplements.

摘要

作为当前健康饮食的一部分,()的果实引起了众多科学关注。()具有多种促进健康的功效,包括抗氧化、抗炎、抗菌、呼吸调节、代谢调节、抗肿瘤和神经保护作用,以及胃肠道功能调节。作为一种植物资源,()具有广阔的应用前景,这推动了园艺产业的发展。此外,罗汉果甜苷作为()的一种重要活性成分备受关注。本综述深入探讨了()的分布、化学成分、健康益处及应用,特别是罗汉果甜苷。这种全面的探索凸显了()重要的治疗潜力,促使对其应用进行进一步研究。作为增值功能成分,()及其成分在疾病预防方面具有巨大潜力,并广泛应用于食品和健康补充剂的开发。

https://cdn.ncbi.nlm.nih.gov/pmc/blobs/d6fc/11275593/89ba2bda18d2/foods-13-02278-g001.jpg

文献检索

告别复杂PubMed语法,用中文像聊天一样搜索,搜遍4000万医学文献。AI智能推荐,让科研检索更轻松。

立即免费搜索

文件翻译

保留排版,准确专业,支持PDF/Word/PPT等文件格式,支持 12+语言互译。

免费翻译文档

深度研究

AI帮你快速写综述,25分钟生成高质量综述,智能提取关键信息,辅助科研写作。

立即免费体验