Suppr超能文献

制备用于高效析氧反应的(Co, Fe, Mn, Ni, Cr)O尖晶石型高熵氧化物

Fabricating Spinel-Type High-Entropy Oxides of (Co, Fe, Mn, Ni, Cr)O for Efficient Oxygen Evolution Reaction.

作者信息

Hao Xiaofei, Wang Ran, Tan Xiumin, Zhang Xiufeng, Liu Xupo, Wu Zhaoyang, Yuan Dongli

机构信息

Zhengzhou Institute of Multipurpose Utilization of Mineral Resources, Chinese Academy of Geological Sciences, Zhengzhou 450006, China.

School of Materials Science and Engineering, Henan Normal University, Xinxiang 453007, China.

出版信息

Materials (Basel). 2024 Jul 10;17(14):3415. doi: 10.3390/ma17143415.

Abstract

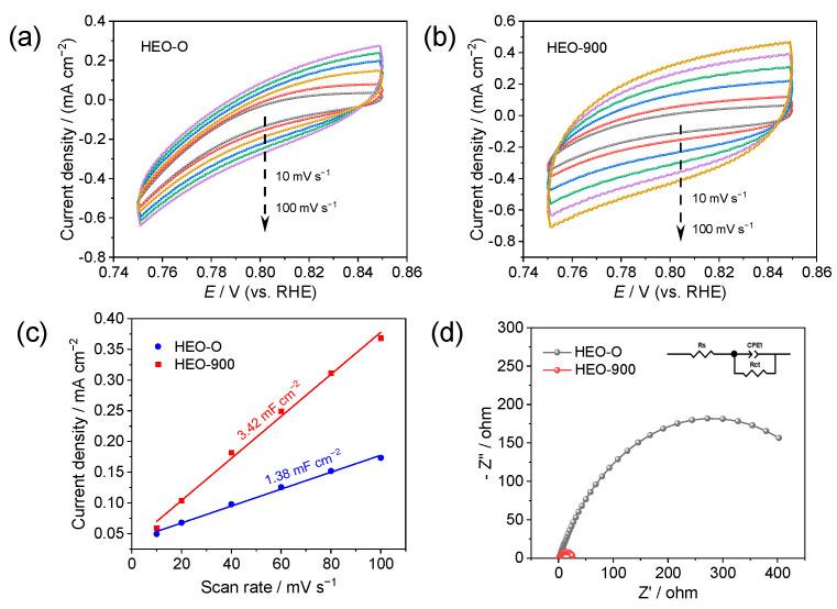
Fabricating efficient oxygen evolution reaction (OER) electrocatalysts is crucial for water electrocatalysis. Herein, the spinel-type high-entropy oxides of (Co, Fe, Mn, Ni, Cr)O were synthesized through the high-temperature calcination approach. The influences of calcination temperatures on structures and electrochemical properties were investigated. The optimized catalyst of HEO-900 contains the hybrid structure of regular polyhedrons and irregular nanoparticles, which is beneficial for the exposure of electrochemically active sites. It was identified that the abundant high-valence metal species of Ni, Co, Fe, Mn, and Cr are formed during the OER process, which is generally regarded as the electrochemically active sites for OER. Because of the synergistic effect of multi-metal active sites, the optimized HEO-900 catalyst indicates excellent OER activity, which needs the overpotential of 366 mV to reach the current density of 10 mA cm. Moreover, HEO-900 reveals the prominent durability of running for 24 h at the current density of 10 mA cm without clear delay. Therefore, this work supplies a promising route for preparing high-performance multi-metal OER electrocatalysts for water electrocatalysis application.

摘要

制备高效的析氧反应(OER)电催化剂对于水电催化至关重要。在此,通过高温煅烧法合成了(Co,Fe,Mn,Ni,Cr)O尖晶石型高熵氧化物。研究了煅烧温度对结构和电化学性能的影响。优化后的HEO-900催化剂包含规则多面体和不规则纳米颗粒的混合结构,这有利于电化学活性位点的暴露。研究发现,在OER过程中形成了丰富的高价金属物种Ni、Co、Fe、Mn和Cr,这些通常被认为是OER的电化学活性位点。由于多金属活性位点的协同效应,优化后的HEO-900催化剂表现出优异的OER活性,达到10 mA cm的电流密度需要366 mV的过电位。此外,HEO-900在10 mA cm的电流密度下运行24 h仍具有显著的耐久性,且无明显延迟。因此,这项工作为制备用于水电催化应用的高性能多金属OER电催化剂提供了一条有前景的途径。

https://cdn.ncbi.nlm.nih.gov/pmc/blobs/be3b/11277610/172e651a21e8/materials-17-03415-sch001.jpg

文献检索

告别复杂PubMed语法,用中文像聊天一样搜索,搜遍4000万医学文献。AI智能推荐,让科研检索更轻松。

立即免费搜索

文件翻译

保留排版,准确专业,支持PDF/Word/PPT等文件格式,支持 12+语言互译。

免费翻译文档

深度研究

AI帮你快速写综述,25分钟生成高质量综述,智能提取关键信息,辅助科研写作。

立即免费体验