• 文献检索
  • 文档翻译
  • 深度研究
  • 学术资讯
  • Suppr Zotero 插件Zotero 插件
  • 邀请有礼
  • 套餐&价格
  • 历史记录
应用&插件
Suppr Zotero 插件Zotero 插件浏览器插件Mac 客户端Windows 客户端微信小程序
定价
高级版会员购买积分包购买API积分包
服务
文献检索文档翻译深度研究API 文档MCP 服务
关于我们
关于 Suppr公司介绍联系我们用户协议隐私条款
关注我们

Suppr 超能文献

核心技术专利:CN118964589B侵权必究
粤ICP备2023148730 号-1Suppr @ 2026

文献检索

告别复杂PubMed语法,用中文像聊天一样搜索,搜遍4000万医学文献。AI智能推荐,让科研检索更轻松。

立即免费搜索

文件翻译

保留排版,准确专业,支持PDF/Word/PPT等文件格式,支持 12+语言互译。

免费翻译文档

深度研究

AI帮你快速写综述,25分钟生成高质量综述,智能提取关键信息,辅助科研写作。

立即免费体验

焦虑在印度老年人中是一个公共卫生问题吗:系统评价与荟萃分析的结果

Is anxiety a public health problem among older adults in India: Results from a systematic review and meta-analysis.

作者信息

Patel Mamta, Mantri Neha, Joshi Nitin, Jain Yogesh, Goel Akhil Dhanesh, Gupta Manoj, Srinivasan Srikanth, Yadav Vikas, Joshi Vibha, Singh Kuldeep, Bhardwaj Pankaj

机构信息

School of Public Health, AIIMS, Jodhpur, Rajasthan, India.

Department of Community Medicine and Family Medicine, AIIMS, Jodhpur, Rajasthan, India.

出版信息

J Family Med Prim Care. 2024 Jul;13(7):2545-2554. doi: 10.4103/jfmpc.jfmpc_1664_23. Epub 2024 Jun 28.

DOI:10.4103/jfmpc.jfmpc_1664_23
PMID:39071033
原文链接:https://pmc.ncbi.nlm.nih.gov/articles/PMC11272018/
Abstract

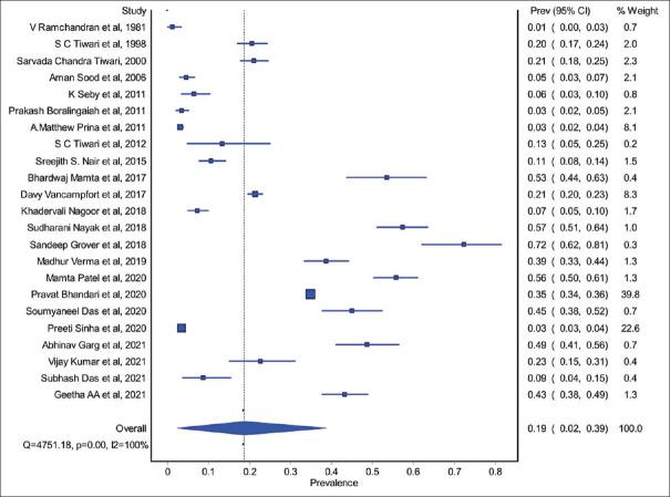
For medical fraternity, health system and policymakers to undertake effective countermeasures, a comprehensive assessment of the prevalence of anxiety among older adults is required; hence, we conducted a systematic review and meta-analysis using data pooled from surveys across the country. The search strategy was developed using medical subject headings (MeSH) terms and free-text keywords. We searched PubMed and Scopus for articles to report the prevalence of anxiety among older adults. The appraisal tool for cross-sectional studies was used for quality assessment. Prevalence from different studies was pooled together using the inverse variance heterogeneity method. Sensitivity analyses were performed to assess the impact of included studies' methodological quality on pooled results and to investigate potential causes of heterogeneity. Twenty-three studies were included in this systematic review. The overall pooled estimate of the prevalence of anxiety in older adults was 18.7% (95% CI: 2.4, 38.8). The studies had a high degree of heterogeneity. Publication bias was assessed using a Doi plot which showed an luis furuya-kanamori (LFK) index of 1.21 indicating minor asymmetry. Like other parts of the world, India has witnessed a rise in the number of elderly due to lower fertility rates, higher life expectancies and a shift in illness patterns from communicable to non-communicable. The number of elderly people suffering from diseases of mental health is expected to rise dramatically. This review consolidates the existing evidence to showcase anxiety as an upcoming public health problem requiring due focus from policymakers and health systems.

摘要

为了让医学界、卫生系统和政策制定者采取有效的应对措施,需要对老年人焦虑症的患病率进行全面评估;因此,我们利用全国范围内调查汇总的数据进行了一项系统评价和荟萃分析。检索策略是使用医学主题词(MeSH)术语和自由文本关键词制定的。我们在PubMed和Scopus上搜索了报告老年人焦虑症患病率的文章。横断面研究的评估工具用于质量评估。使用逆方差异质性方法汇总不同研究的患病率。进行敏感性分析以评估纳入研究的方法质量对汇总结果的影响,并调查异质性的潜在原因。本系统评价纳入了23项研究。老年人焦虑症患病率的总体汇总估计为18.7%(95%CI:2.4,38.8)。这些研究具有高度的异质性。使用Doi图评估发表偏倚,结果显示Luis Furuya-Kanamori(LFK)指数为1.21,表明存在轻微不对称。与世界其他地区一样,由于生育率下降、预期寿命延长以及疾病模式从传染病向非传染病转变,印度的老年人口数量有所增加。预计患有精神健康疾病的老年人数量将大幅上升。本综述整合了现有证据,表明焦虑症即将成为一个公共卫生问题,需要政策制定者和卫生系统给予应有的关注。

https://cdn.ncbi.nlm.nih.gov/pmc/blobs/05fd/11272018/048ad4948125/JFMPC-13-2545-g005.jpg
https://cdn.ncbi.nlm.nih.gov/pmc/blobs/05fd/11272018/d4df2863b373/JFMPC-13-2545-g001.jpg
https://cdn.ncbi.nlm.nih.gov/pmc/blobs/05fd/11272018/4e62cb79687c/JFMPC-13-2545-g002.jpg
https://cdn.ncbi.nlm.nih.gov/pmc/blobs/05fd/11272018/3107a79dad34/JFMPC-13-2545-g003.jpg
https://cdn.ncbi.nlm.nih.gov/pmc/blobs/05fd/11272018/a3aba08b1197/JFMPC-13-2545-g004.jpg
https://cdn.ncbi.nlm.nih.gov/pmc/blobs/05fd/11272018/048ad4948125/JFMPC-13-2545-g005.jpg
https://cdn.ncbi.nlm.nih.gov/pmc/blobs/05fd/11272018/d4df2863b373/JFMPC-13-2545-g001.jpg
https://cdn.ncbi.nlm.nih.gov/pmc/blobs/05fd/11272018/4e62cb79687c/JFMPC-13-2545-g002.jpg
https://cdn.ncbi.nlm.nih.gov/pmc/blobs/05fd/11272018/3107a79dad34/JFMPC-13-2545-g003.jpg
https://cdn.ncbi.nlm.nih.gov/pmc/blobs/05fd/11272018/a3aba08b1197/JFMPC-13-2545-g004.jpg
https://cdn.ncbi.nlm.nih.gov/pmc/blobs/05fd/11272018/048ad4948125/JFMPC-13-2545-g005.jpg

相似文献

1
Is anxiety a public health problem among older adults in India: Results from a systematic review and meta-analysis.焦虑在印度老年人中是一个公共卫生问题吗:系统评价与荟萃分析的结果
J Family Med Prim Care. 2024 Jul;13(7):2545-2554. doi: 10.4103/jfmpc.jfmpc_1664_23. Epub 2024 Jun 28.
2
Folic acid supplementation and malaria susceptibility and severity among people taking antifolate antimalarial drugs in endemic areas.在流行地区,服用抗叶酸抗疟药物的人群中,叶酸补充剂与疟疾易感性和严重程度的关系。
Cochrane Database Syst Rev. 2022 Feb 1;2(2022):CD014217. doi: 10.1002/14651858.CD014217.
3
Proactive neonatal treatment at 22 weeks of gestation: a systematic review and meta-analysis.孕22周时的新生儿积极治疗:一项系统评价和荟萃分析。
Am J Obstet Gynecol. 2021 Feb;224(2):158-174. doi: 10.1016/j.ajog.2020.07.051. Epub 2020 Jul 31.
4
Deployment of personnel to military operations: impact on mental health and social functioning.人员部署到军事行动中:对心理健康和社会功能的影响。
Campbell Syst Rev. 2018 Jun 1;14(1):1-127. doi: 10.4073/csr.2018.6. eCollection 2018.
5
Public sector reforms and their impact on the level of corruption: A systematic review.公共部门改革及其对腐败程度的影响:一项系统综述。
Campbell Syst Rev. 2021 May 24;17(2):e1173. doi: 10.1002/cl2.1173. eCollection 2021 Jun.
6
Effectiveness of a single dose of JYNNEOS vaccine in real world: A systematic review and meta-analysis.单剂量 JYNNEOS 疫苗在现实世界中的有效性:一项系统评价和荟萃分析。
Health Sci Rep. 2024 Sep 24;7(9):e70069. doi: 10.1002/hsr2.70069. eCollection 2024 Sep.
7
Smoking cessation for improving mental health.戒烟以改善心理健康。
Cochrane Database Syst Rev. 2021 Mar 9;3(3):CD013522. doi: 10.1002/14651858.CD013522.pub2.
8
Effects of Resistance Training on Pain Control and Physical Function in Older Adults With Low Back Pain: A Systematic Review With Meta-analysis.抗阻训练对老年腰痛患者疼痛控制和身体功能的影响:系统评价和荟萃分析。
J Geriatr Phys Ther. 2022;46(3):E113-E126. doi: 10.1519/JPT.0000000000000374. Epub 2023 Feb 20.
9
10
Anxiety and stress among healthcare professionals during COVID-19 in Ethiopia: systematic review and meta-analysis.COVID-19 期间埃塞俄比亚医护人员的焦虑和压力:系统评价和荟萃分析。
BMJ Open. 2023 Feb 7;13(2):e070367. doi: 10.1136/bmjopen-2022-070367.

本文引用的文献

1
Prevalence and its correlates of anxiety disorders from India's National Mental Health Survey 2016.来自2016年印度国家心理健康调查的焦虑症患病率及其相关因素
Indian J Psychiatry. 2022 Mar-Apr;64(2):138-142. doi: 10.4103/indianjpsychiatry.indianjpsychiatry_964_21. Epub 2022 Mar 24.
2
Anxiety Linked to COVID-19: A Systematic Review Comparing Anxiety Rates in Different Populations.焦虑与 COVID-19 相关:比较不同人群焦虑发生率的系统综述。
Int J Environ Res Public Health. 2022 Feb 15;19(4):2189. doi: 10.3390/ijerph19042189.
3
Assessment of mental health issues among geriatric population during COVID19 pandemic, Indian perspective.
评估 COVID19 大流行期间老年人群的心理健康问题,印度视角。
Asian J Psychiatr. 2021 Dec;66:102897. doi: 10.1016/j.ajp.2021.102897. Epub 2021 Oct 28.
4
Psychiatric morbidity, stress and quality of life among geriatric dermatology patients: Therapeutic considerations from an Indian perspective.老年皮肤科患者的精神疾病发病率、压力和生活质量:从印度视角考虑的治疗注意事项。
Dermatol Ther. 2021 Jul;34(4):e15018. doi: 10.1111/dth.15018. Epub 2021 Jun 14.
5
Prevalence and risk factors of anxiety and depression among the community-dwelling elderly in Nay Pyi Taw Union Territory, Myanmar.缅甸内比都特区社区老年人焦虑和抑郁的患病率及危险因素。
Sci Rep. 2021 May 7;11(1):9763. doi: 10.1038/s41598-021-88621-w.
6
Prevalence of anxiety and depression in South Asia during COVID-19: A systematic review and meta-analysis.新冠疫情期间南亚地区焦虑和抑郁的患病率:一项系统综述与荟萃分析
Heliyon. 2021 Apr 5;7(4):e06677. doi: 10.1016/j.heliyon.2021.e06677. eCollection 2021 Apr.
7
Impact of the COVID-19 Pandemic on Older Adults: Rapid Review.2019冠状病毒病大流行对老年人的影响:快速综述
JMIR Aging. 2021 Apr 12;4(2):e26474. doi: 10.2196/26474.
8
Efficacy and effectiveness of psychological interventions on co-occurring mood and anxiety disorders in older adults: A systematic review and meta-analysis.心理干预对老年共病情绪和焦虑障碍的疗效和效果:系统评价和荟萃分析。
Int J Geriatr Psychiatry. 2021 Jun;36(6):858-872. doi: 10.1002/gps.5486. Epub 2021 Jan 2.
9
Prevalence of Common mental disorders in older adults: Results from the National Mental Health Survey of India.老年人常见精神障碍的患病率:印度全国心理健康调查结果
Asian J Psychiatr. 2021 Jan;55:102463. doi: 10.1016/j.ajp.2020.102463. Epub 2020 Nov 2.
10
The effect of exercise on anxiety in the elderly worldwide: a systematic review and meta-analysis.运动对全球老年人焦虑的影响:系统评价和荟萃分析。
Health Qual Life Outcomes. 2020 Nov 11;18(1):363. doi: 10.1186/s12955-020-01609-4.