• 文献检索
  • 文档翻译
  • 深度研究
  • 学术资讯
  • Suppr Zotero 插件Zotero 插件
  • 邀请有礼
  • 套餐&价格
  • 历史记录
应用&插件
Suppr Zotero 插件Zotero 插件浏览器插件Mac 客户端Windows 客户端微信小程序
定价
高级版会员购买积分包购买API积分包
服务
文献检索文档翻译深度研究API 文档MCP 服务
关于我们
关于 Suppr公司介绍联系我们用户协议隐私条款
关注我们

Suppr 超能文献

核心技术专利:CN118964589B侵权必究
粤ICP备2023148730 号-1Suppr @ 2026

文献检索

告别复杂PubMed语法,用中文像聊天一样搜索,搜遍4000万医学文献。AI智能推荐,让科研检索更轻松。

立即免费搜索

文件翻译

保留排版,准确专业,支持PDF/Word/PPT等文件格式,支持 12+语言互译。

免费翻译文档

深度研究

AI帮你快速写综述,25分钟生成高质量综述,智能提取关键信息,辅助科研写作。

立即免费体验

蚕豆高通量种子质量分析:利用近红外光谱(NIRS)数据和统计方法

High-throughput seed quality analysis in faba bean: leveraging Near-InfraRed spectroscopy (NIRS) data and statistical methods.

作者信息

Lippolis Antonio, Polo Pamela Vega, de Sousa Guilherme, Dechesne Annemarie, Pouvreau Laurice, Trindade Luisa M

机构信息

Plant Breeding, Wageningen University & Research, Droevendaalsesteeg 1, 6708PB, Wageningen, the Netherlands.

Wageningen Food & Biobased Research, Wageningen University & Research, Bornse Weilanden 9, 6708WG, Wageningen, the Netherlands.

出版信息

Food Chem X. 2024 Jun 26;23:101583. doi: 10.1016/j.fochx.2024.101583. eCollection 2024 Oct 30.

DOI:10.1016/j.fochx.2024.101583
PMID:39071925
原文链接:https://pmc.ncbi.nlm.nih.gov/articles/PMC11282932/
Abstract

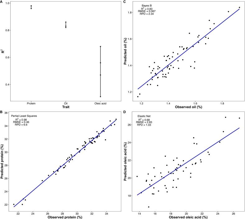
Near-infrared spectroscopy (NIRS) provides a high-throughput phenotyping technique to assist breeding for improved faba bean seed quality. We combined chemical analysis of protein, oil content (and composition) with NIRS through chemometrics, employing Partial Least Squares (PLS), Elastic Net (EN), Memory-based Learning (MBL), and Bayes B (BB) as prediction models. Protein was the most reliably predicted trait (R = 0.96-0.98) across field trials, followed by oil (R = 0.82-0.86) and oleic acid (R = 0.31-0.68). Samples for training the models were selected using K-means clustering. The optimal statistical approach for prediction was compound-specific: PLS for protein (Root Mean Squared Error - RMSE = 0.46), BB for oil (RMSE = 0.067), and EN for oleic acid content (RMSE = 2.83). Reduced training set simulations revealed different effects on prediction accuracy depending on the model and compound. Several NIR regions were pinpointed as highly informative for the compounds, using the shrinkage and variable selection capabilities of EN and BB.

摘要

近红外光谱(NIRS)提供了一种高通量表型分析技术,以辅助蚕豆种子品质改良育种。我们通过化学计量学将蛋白质、油含量(及组成)的化学分析与近红外光谱相结合,采用偏最小二乘法(PLS)、弹性网络(EN)、基于记忆的学习(MBL)和贝叶斯B(BB)作为预测模型。在田间试验中,蛋白质是预测最可靠的性状(R = 0.96 - 0.98),其次是油(R = 0.82 - 0.86)和油酸(R = 0.31 - 0.68)。使用K均值聚类选择用于训练模型的样本。预测的最佳统计方法是针对特定化合物的:蛋白质采用PLS(均方根误差 - RMSE = 0.46),油采用BB(RMSE = 0.067),油酸含量采用EN(RMSE = 2.83)。简化训练集模拟显示,根据模型和化合物的不同,对预测准确性有不同影响。利用EN和BB的收缩和变量选择能力,确定了几个对这些化合物具有高度信息性的近红外区域。

https://cdn.ncbi.nlm.nih.gov/pmc/blobs/4a77/11282932/55c17c80894d/gr5.jpg
https://cdn.ncbi.nlm.nih.gov/pmc/blobs/4a77/11282932/0c170d6fbb19/gr1.jpg
https://cdn.ncbi.nlm.nih.gov/pmc/blobs/4a77/11282932/da18435aab99/gr2.jpg
https://cdn.ncbi.nlm.nih.gov/pmc/blobs/4a77/11282932/ced679dd47a8/gr3.jpg
https://cdn.ncbi.nlm.nih.gov/pmc/blobs/4a77/11282932/ec34a846735c/gr4.jpg
https://cdn.ncbi.nlm.nih.gov/pmc/blobs/4a77/11282932/55c17c80894d/gr5.jpg
https://cdn.ncbi.nlm.nih.gov/pmc/blobs/4a77/11282932/0c170d6fbb19/gr1.jpg
https://cdn.ncbi.nlm.nih.gov/pmc/blobs/4a77/11282932/da18435aab99/gr2.jpg
https://cdn.ncbi.nlm.nih.gov/pmc/blobs/4a77/11282932/ced679dd47a8/gr3.jpg
https://cdn.ncbi.nlm.nih.gov/pmc/blobs/4a77/11282932/ec34a846735c/gr4.jpg
https://cdn.ncbi.nlm.nih.gov/pmc/blobs/4a77/11282932/55c17c80894d/gr5.jpg

相似文献

1
High-throughput seed quality analysis in faba bean: leveraging Near-InfraRed spectroscopy (NIRS) data and statistical methods.蚕豆高通量种子质量分析:利用近红外光谱(NIRS)数据和统计方法
Food Chem X. 2024 Jun 26;23:101583. doi: 10.1016/j.fochx.2024.101583. eCollection 2024 Oct 30.
2
Protein, weight, and oil prediction by single-seed near-infrared spectroscopy for selection of seed quality and yield traits in pea (Pisum sativum).利用单粒近红外光谱技术预测豌豆的蛋白质、重量和油分,用于选择种子质量和产量性状。
J Sci Food Agric. 2020 Jun;100(8):3488-3497. doi: 10.1002/jsfa.10389. Epub 2020 Apr 9.
3
Optimized variable selection and machine learning models for olive oil quality assessment using portable near infrared spectroscopy.利用便携式近红外光谱法优化橄榄油质量评估的变量选择和机器学习模型。
Spectrochim Acta A Mol Biomol Spectrosc. 2023 Dec 15;303:123213. doi: 10.1016/j.saa.2023.123213. Epub 2023 Jul 27.
4
Rapid Detection of Volatile Oil in by Near-Infrared Spectroscopy and Chemometrics.近红外光谱法和化学计量学快速检测[具体物质]中的挥发油 。(你提供的原文中“by Near-Infrared Spectroscopy and Chemometrics”前面缺少具体检测对象,我按格式补齐翻译了,你可根据实际情况修改完善。)
Pharmacogn Mag. 2017 Jul-Sep;13(51):439-445. doi: 10.4103/0973-1296.211026. Epub 2017 Jul 19.
5
Convolutional neural network allows amylose content prediction in yam (Dioscorea alata L.) flour using near infrared spectroscopy.卷积神经网络利用近红外光谱法预测山药(Dioscorea alata L.)面粉中的直链淀粉含量。
J Sci Food Agric. 2024 Jun;104(8):4915-4921. doi: 10.1002/jsfa.12825. Epub 2023 Jul 31.
6
Predicting Forage Quality of Warm-Season Legumes by Near Infrared Spectroscopy Coupled with Machine Learning Techniques.基于近红外光谱技术结合机器学习方法预测暖季豆科牧草品质
Sensors (Basel). 2020 Feb 6;20(3):867. doi: 10.3390/s20030867.
7
Near-Infrared Spectroscopy and Aquaphotomics for Monitoring Mung Bean () Sprout Growth and Validation of Ascorbic Acid Content.近红外光谱和水光学技术监测绿豆芽生长及抗坏血酸含量的验证。
Sensors (Basel). 2021 Jan 17;21(2):611. doi: 10.3390/s21020611.
8
Determination of Adulteration Content in Extra Virgin Olive Oil Using FT-NIR Spectroscopy Combined with the BOSS-PLS Algorithm.利用傅里叶变换近红外光谱结合 BOSS-PLS 算法测定特级初榨橄榄油的掺伪含量。
Molecules. 2019 Jun 6;24(11):2134. doi: 10.3390/molecules24112134.
9
Improvement of near infrared spectroscopic (NIRS) analysis of caffeine in roasted Arabica coffee by variable selection method of stability competitive adaptive reweighted sampling (SCARS).通过稳定性竞争自适应重加权采样(SCARS)变量选择方法提高烘焙阿拉比卡咖啡中咖啡因的近红外光谱(NIRS)分析。
Spectrochim Acta A Mol Biomol Spectrosc. 2013 Oct;114:350-6. doi: 10.1016/j.saa.2013.05.053. Epub 2013 May 29.
10
Machine learning methods in near infrared spectroscopy for predicting sensory traits in sweetpotatoes.机器学习方法在近红外光谱分析中用于预测甘薯的感官特性。
Spectrochim Acta A Mol Biomol Spectrosc. 2024 Oct 5;318:124406. doi: 10.1016/j.saa.2024.124406. Epub 2024 May 4.

引用本文的文献

1
Nutritional profiling of horse gram through NIRS-based multi-trait prediction modelling.基于近红外光谱的多性状预测模型对木豆的营养成分分析
Sci Rep. 2025 May 15;15(1):16950. doi: 10.1038/s41598-025-01668-x.
2
A panomics-driven framework for the improvement of major food legume crops: advances, challenges, and future prospects.一个用于改良主要食用豆类作物的泛组学驱动框架:进展、挑战与未来展望。
Hortic Res. 2025 Mar 18;12(7):uhaf091. doi: 10.1093/hr/uhaf091. eCollection 2025 Jul.
3
GWAS Identifies SNP Markers and Candidate Genes for Off-Flavours and Protein Content in Faba Bean ( L.).

本文引用的文献

1
The challenge of breeding for reduced off-flavor in faba bean ingredients.培育低异味蚕豆成分的挑战。
Front Plant Sci. 2023 Oct 30;14:1286803. doi: 10.3389/fpls.2023.1286803. eCollection 2023.
2
Conventional and Molecular Breeding Tools for Accelerating Genetic Gain in Faba Bean ( L.).加速蚕豆(L.)遗传增益的常规和分子育种工具
Front Plant Sci. 2021 Oct 13;12:744259. doi: 10.3389/fpls.2021.744259. eCollection 2021.
3
Near-infrared spectroscopy outperforms genomics for predicting sugarcane feedstock quality traits.
全基因组关联研究(GWAS)鉴定出蚕豆(Vicia faba L.)异味和蛋白质含量的单核苷酸多态性(SNP)标记及候选基因。
Plants (Basel). 2025 Jan 11;14(2):193. doi: 10.3390/plants14020193.
近红外光谱分析在预测甘蔗原料品质性状方面优于基因组学。
PLoS One. 2021 Mar 4;16(3):e0236853. doi: 10.1371/journal.pone.0236853. eCollection 2021.
4
Protein, weight, and oil prediction by single-seed near-infrared spectroscopy for selection of seed quality and yield traits in pea (Pisum sativum).利用单粒近红外光谱技术预测豌豆的蛋白质、重量和油分,用于选择种子质量和产量性状。
J Sci Food Agric. 2020 Jun;100(8):3488-3497. doi: 10.1002/jsfa.10389. Epub 2020 Apr 9.
5
Evaluation of GBLUP, BayesB and elastic net for genomic prediction in Chinese Simmental beef cattle.GBLUP、BayesB 和弹性网络在西门塔尔牛肉用牛基因组预测中的评估。
PLoS One. 2019 Feb 28;14(2):e0210442. doi: 10.1371/journal.pone.0210442. eCollection 2019.
6
Bayesian regression models outperform partial least squares methods for predicting milk components and technological properties using infrared spectral data.在使用红外光谱数据预测牛奶成分和工艺特性方面,贝叶斯回归模型优于偏最小二乘法。
J Dairy Sci. 2015 Nov;98(11):8133-51. doi: 10.3168/jds.2014-9143. Epub 2015 Sep 18.
7
Near-infrared spectroscopy and hyperspectral imaging: non-destructive analysis of biological materials.近红外光谱和高光谱成像:生物材料的无损分析。
Chem Soc Rev. 2014 Dec 21;43(24):8200-14. doi: 10.1039/c4cs00062e. Epub 2014 Aug 26.
8
Genome-wide regression and prediction with the BGLR statistical package.使用BGLR统计软件包进行全基因组回归与预测。
Genetics. 2014 Oct;198(2):483-95. doi: 10.1534/genetics.114.164442. Epub 2014 Jul 9.
9
Genomic prediction in animals and plants: simulation of data, validation, reporting, and benchmarking.动植物基因组预测:数据模拟、验证、报告和基准测试。
Genetics. 2013 Feb;193(2):347-65. doi: 10.1534/genetics.112.147983. Epub 2012 Dec 5.
10
Regularization Paths for Generalized Linear Models via Coordinate Descent.基于坐标下降法的广义线性模型正则化路径
J Stat Softw. 2010;33(1):1-22.