Suppr超能文献

温度响应性泊洛沙姆F127水凝胶的温度依赖性屈服应力和壁面滑移行为

Temperature-dependent yield stress and wall slip behaviour of thermoresponsive Pluronic F127 hydrogels.

作者信息

Sangitra Surya Narayana, Pujala Ravi Kumar

机构信息

Soft and Active Matter Group, Department of Physics and Center for Atomic, Molecular and Optical Sciences & Technologies (CAMOST), Indian Institute of Science Education and Research (IISER) Tirupati Yerpedu Tirupati 517619 Andhra Pradesh India

出版信息

RSC Adv. 2024 Jul 29;14(33):23772-23784. doi: 10.1039/d4ra04825c. eCollection 2024 Jul 26.

Abstract

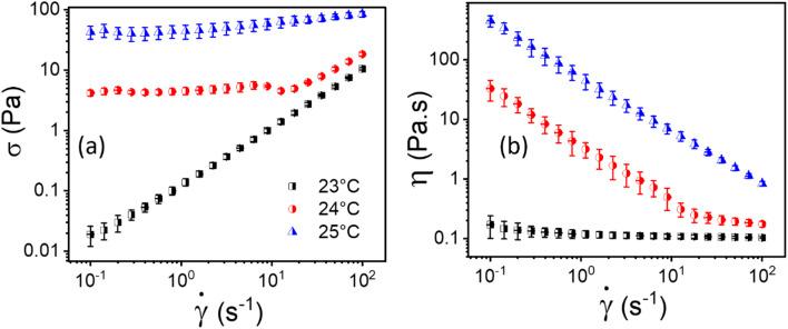
This study explores the temperature-dependent dynamic yield stress of a triblock thermoresponsive polymer, Pluronic F127, with chemical structure (PEO)(PPO)(PEO), during the sol-gel transition. The yield stress can be defined as static, dynamic, or elastic, depending on the experimental protocol. We examine the dynamic yield stress estimation for this study, which usually entails utilizing non-Newtonian models like the Herschel-Bulkley (HB) or Bingham models to extrapolate the flow curve (shear rate against shear stress). Initially, we determine the yield stress using the HB model. However, apparent wall slip makes it difficult to calculate yield stress using conventional methods, which could lead to underestimates. To validate the existence of apparent wall slip in our trials, we carry out meticulous experiments in a range of rheometric geometries. To determine the true yield stress corrected for slip, we first use the traditional Mooney method, which requires labor-intensive steps and large sample sizes over various gaps in the parallel plate (PP) design. To overcome these drawbacks, we use a different strategy. We modify the Windhab model equation by adding slip boundary conditions to the HB equation, which allowed us to calculate the slip yield stress in addition to the true yield stress. In contrast to other typical thermoresponsive polymers like poly(-isopropyl acrylamide) (PNIPAM), our findings demonstrate that PF127's yield stress obeys the Boltzmann equation and increases with temperature.

摘要

本研究探讨了三嵌段热响应聚合物Pluronic F127(化学结构为(PEO)(PPO)(PEO))在溶胶-凝胶转变过程中随温度变化的动态屈服应力。根据实验方案,屈服应力可定义为静态、动态或弹性屈服应力。我们研究了本研究中的动态屈服应力估计,这通常需要利用非牛顿模型,如赫谢尔-巴克利(HB)模型或宾汉模型来外推流动曲线(剪切速率与剪切应力的关系)。最初,我们使用HB模型确定屈服应力。然而,明显的壁面滑移使得使用传统方法计算屈服应力变得困难,这可能导致低估。为了验证我们试验中明显壁面滑移的存在,我们在一系列流变几何形状中进行了细致的实验。为了确定校正滑移后的真实屈服应力,我们首先使用传统的穆尼方法,该方法需要繁琐的步骤,并且在平行板(PP)设计的不同间隙上需要大量样本。为了克服这些缺点,我们采用了不同的策略。我们通过在HB方程中添加滑移边界条件来修改温德哈伯模型方程,这使我们除了能计算真实屈服应力外,还能计算滑移屈服应力。与其他典型的热响应聚合物如聚(N-异丙基丙烯酰胺)(PNIPAM)不同,我们的研究结果表明PF127的屈服应力服从玻尔兹曼方程,并随温度升高而增加。

https://cdn.ncbi.nlm.nih.gov/pmc/blobs/d86f/11284911/d2a0b375f90e/d4ra04825c-f1.jpg

文献检索

告别复杂PubMed语法,用中文像聊天一样搜索,搜遍4000万医学文献。AI智能推荐,让科研检索更轻松。

立即免费搜索

文件翻译

保留排版,准确专业,支持PDF/Word/PPT等文件格式,支持 12+语言互译。

免费翻译文档

深度研究

AI帮你快速写综述,25分钟生成高质量综述,智能提取关键信息,辅助科研写作。

立即免费体验