• 文献检索
  • 文档翻译
  • 深度研究
  • 学术资讯
  • Suppr Zotero 插件Zotero 插件
  • 邀请有礼
  • 套餐&价格
  • 历史记录
应用&插件
Suppr Zotero 插件Zotero 插件浏览器插件Mac 客户端Windows 客户端微信小程序
定价
高级版会员购买积分包购买API积分包
服务
文献检索文档翻译深度研究API 文档MCP 服务
关于我们
关于 Suppr公司介绍联系我们用户协议隐私条款
关注我们

Suppr 超能文献

核心技术专利:CN118964589B侵权必究
粤ICP备2023148730 号-1Suppr @ 2026

文献检索

告别复杂PubMed语法,用中文像聊天一样搜索,搜遍4000万医学文献。AI智能推荐,让科研检索更轻松。

立即免费搜索

文件翻译

保留排版,准确专业,支持PDF/Word/PPT等文件格式,支持 12+语言互译。

免费翻译文档

深度研究

AI帮你快速写综述,25分钟生成高质量综述,智能提取关键信息,辅助科研写作。

立即免费体验

用于治疗晚期难治性癌症的个性化联合方案中的血管生成抑制剂

Angiogenesis Inhibitors in Personalized Combination Regimens for the Treatment of Advanced Refractory Cancers.

作者信息

Crook Timothy, Patil Darshana, Nagarkar Rajnish, Gaya Andrew, Plowman Nicholas, Limaye Sewanti, Srivastava Navin, Akolkar Dadasaheb, Ranade Anantbhushan, Bhatt Amit, Datta Vineet, Bose Chirantan, Apurwa Sachin, Patil Sanket, Kumar Prashant, Srinivasan Ajay, Datar Rajan

机构信息

Broomfield Hospital, Chelmsford, United Kingdom.

Datar Cancer Genetics, Nasik, India.

出版信息

Front Mol Med. 2021 Sep 20;1:749283. doi: 10.3389/fmmed.2021.749283. eCollection 2021.

DOI:10.3389/fmmed.2021.749283
PMID:39087078
原文链接:https://pmc.ncbi.nlm.nih.gov/articles/PMC11285706/
Abstract

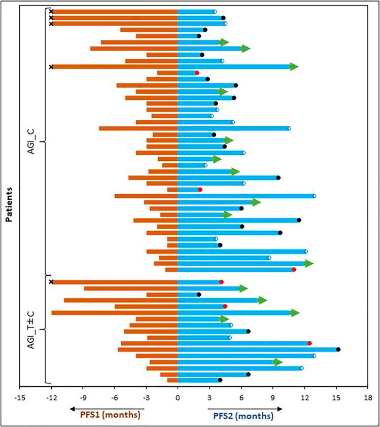
Angiogenic factors are commonly activated in solid tumors and present a viable therapeutic target. However, anticancer treatment with angiogenesis inhibitors (AGI) is limited to a few cancers, mostly as monotherapy and not selected based on molecular indications. We aimed to determine whether patient-specific combination regimens with AGI and other anticancer agents when selected based on multi-analyte tumor interrogation (ETA: Encyclopedic Tumor Analysis) can expand the scope of AGIs in advanced refractory solid organ cancers with improved treatment responses. We evaluated treatment outcomes in 60 patients with advanced, refractory solid organ cancers who received ETA-guided combination regimens of AGI with other targeted, endocrine or cytotoxic agents. Radiological evaluation of treatment response was followed by determination of Objective Response Rate (ORR), Disease Control Rate (DCR), Progression Free Survival (PFS) and Overall Survival (OS). Among the 60 patients, Partial Response (PR) was observed in 28 cases (46.7%), Stable Disease (SD) was observed in 29 cases (48.3%) and Disease Progression (PD, within 60 days) was observed in 3 cases (5.0%). The ORR was 46.7% and DCR was 95.0%. At the most recent follow-up the median PFS (mPFS) was 5.0 months and median OS (mOS) was 8.9 months. There were no Grade 4 therapy related adverse events or treatment related deaths. ETA-guided patient-specific combination regimens with AGI and other anti-neoplastic agents, can yield improved outcomes over AGI monotherapy. Trial Registration: Details of all trials are available at WHO-ICTRP: https://apps.who.int/trialsearch/. RESILIENT ID CTRI/2018/02/011,808. LIQUID IMPACT ID CTRI/2019/02/017,548.

摘要

血管生成因子在实体瘤中通常被激活,是一个可行的治疗靶点。然而,使用血管生成抑制剂(AGI)的抗癌治疗仅限于少数几种癌症,大多作为单一疗法,且并非基于分子指标进行选择。我们旨在确定,当基于多分析物肿瘤检测(ETA:综合肿瘤分析)选择患者特异性的AGI与其他抗癌药物联合方案时,是否能扩大AGI在晚期难治性实体器官癌症中的应用范围,并改善治疗反应。我们评估了60例晚期难治性实体器官癌症患者的治疗结果,这些患者接受了ETA指导的AGI与其他靶向、内分泌或细胞毒性药物的联合方案。在对治疗反应进行影像学评估后,测定客观缓解率(ORR)、疾病控制率(DCR)、无进展生存期(PFS)和总生存期(OS)。在这60例患者中,28例(46.7%)观察到部分缓解(PR),29例(48.3%)观察到病情稳定(SD),3例(5.0%)观察到疾病进展(PD,在60天内)。ORR为46.7%,DCR为95.0%。在最近一次随访时,中位PFS(mPFS)为5.0个月,中位OS(mOS)为8.9个月。没有4级治疗相关不良事件或治疗相关死亡。ETA指导的患者特异性AGI与其他抗肿瘤药物联合方案,相比AGI单一疗法可产生更好的治疗结果。试验注册:所有试验的详细信息可在世卫组织国际临床试验注册平台查询:https://apps.who.int/trialsearch/。RESILIENT试验编号CTRI/2018/02/011,808。LIQUID IMPACT试验编号CTRI/2019/02/017,548。

https://cdn.ncbi.nlm.nih.gov/pmc/blobs/5fc3/11285706/5995efaecf46/fmmed-01-749283-g003.jpg
https://cdn.ncbi.nlm.nih.gov/pmc/blobs/5fc3/11285706/84367f8c3300/fmmed-01-749283-g001.jpg
https://cdn.ncbi.nlm.nih.gov/pmc/blobs/5fc3/11285706/d5630de9ada5/fmmed-01-749283-g002.jpg
https://cdn.ncbi.nlm.nih.gov/pmc/blobs/5fc3/11285706/5995efaecf46/fmmed-01-749283-g003.jpg
https://cdn.ncbi.nlm.nih.gov/pmc/blobs/5fc3/11285706/84367f8c3300/fmmed-01-749283-g001.jpg
https://cdn.ncbi.nlm.nih.gov/pmc/blobs/5fc3/11285706/d5630de9ada5/fmmed-01-749283-g002.jpg
https://cdn.ncbi.nlm.nih.gov/pmc/blobs/5fc3/11285706/5995efaecf46/fmmed-01-749283-g003.jpg

相似文献

1
Angiogenesis Inhibitors in Personalized Combination Regimens for the Treatment of Advanced Refractory Cancers.用于治疗晚期难治性癌症的个性化联合方案中的血管生成抑制剂
Front Mol Med. 2021 Sep 20;1:749283. doi: 10.3389/fmmed.2021.749283. eCollection 2021.
2
Improved Treatment Outcomes by Using Patient Specific Drug Combinations in Mammalian Target of Rapamycin Activated Advanced Metastatic Cancers.在雷帕霉素哺乳动物靶点激活的晚期转移性癌症中使用患者特异性药物组合改善治疗结果
Front Pharmacol. 2021 Apr 16;12:631135. doi: 10.3389/fphar.2021.631135. eCollection 2021.
3
Multi-analyte liquid biopsies for molecular pathway guided personalized treatment selection in advanced refractory cancers: A clinical utility pilot study.用于晚期难治性癌症分子通路指导的个性化治疗选择的多分析物液体活检:一项临床效用试点研究。
Front Oncol. 2022 Dec 23;12:972322. doi: 10.3389/fonc.2022.972322. eCollection 2022.
4
Encyclopedic tumor analysis for guiding treatment of advanced, broadly refractory cancers: results from the RESILIENT trial.用于指导晚期广泛难治性癌症治疗的肿瘤百科分析:RESILIENT试验结果
Oncotarget. 2019 Sep 24;10(54):5605-5621. doi: 10.18632/oncotarget.27188.
5
Efficacy and Safety of Anti-PD1/PDL1 in Advanced Biliary Tract Cancer: A Systematic Review and Meta-Analysis.抗 PD1/PDL1 在晚期胆道癌中的疗效和安全性:系统评价和荟萃分析。
Front Immunol. 2022 Mar 2;13:801909. doi: 10.3389/fimmu.2022.801909. eCollection 2022.
6
Anti-PD-1/L1 plus anti-angiogenesis therapy as second-line or later treatment in advanced lung adenocarcinoma.抗 PD-1/L1 联合抗血管生成治疗作为晚期肺腺癌二线或后线治疗。
J Cancer Res Clin Oncol. 2021 Mar;147(3):881-891. doi: 10.1007/s00432-020-03380-x. Epub 2020 Sep 9.
7
Efficacy and safety of anti-PD-1 monotherapy anti-PD-1 antibodies plus lenvatinib in patients with advanced hepatocellular carcinoma: a real-world experience.抗程序性死亡蛋白1(PD-1)单药治疗、抗PD-1抗体联合乐伐替尼治疗晚期肝细胞癌患者的疗效和安全性:一项真实世界研究。
Ther Adv Med Oncol. 2023 Oct 24;15:17588359231206274. doi: 10.1177/17588359231206274. eCollection 2023.
8
Phase II trial of erlotinib and docetaxel in advanced and refractory hepatocellular and biliary cancers: Hoosier Oncology Group GI06-101.厄洛替尼联合多西他赛治疗晚期和难治性肝细胞癌及胆管癌的Ⅱ期临床试验:印第安纳大学肿瘤学组 GI06-101。
Oncologist. 2012;17(1):13. doi: 10.1634/theoncologist.2011-0253. Epub 2011 Dec 30.
9
KRAS Testing for Anti-EGFR Therapy in Advanced Colorectal Cancer: An Evidence-Based and Economic Analysis.晚期结直肠癌抗表皮生长因子受体治疗的KRAS检测:基于证据的经济分析
Ont Health Technol Assess Ser. 2010;10(25):1-49. Epub 2010 Dec 1.
10
Epidermal Growth Factor Receptor Mutation (EGFR) Testing for Prediction of Response to EGFR-Targeting Tyrosine Kinase Inhibitor (TKI) Drugs in Patients with Advanced Non-Small-Cell Lung Cancer: An Evidence-Based Analysis.表皮生长因子受体突变(EGFR)检测对晚期非小细胞肺癌患者使用表皮生长因子受体靶向酪氨酸激酶抑制剂(TKI)药物疗效的预测:一项循证分析
Ont Health Technol Assess Ser. 2010;10(24):1-48. Epub 2010 Dec 1.

引用本文的文献

1
Multidrug Resistance: Are We Still Afraid of the Big Bad Wolf.多重耐药性:我们还怕那只大坏狼吗?
Pharmaceuticals (Basel). 2025 Jun 14;18(6):895. doi: 10.3390/ph18060895.
2
Molecular targeted therapy for anticancer treatment.用于抗癌治疗的分子靶向治疗。
Exp Mol Med. 2022 Oct;54(10):1670-1694. doi: 10.1038/s12276-022-00864-3. Epub 2022 Oct 12.

本文引用的文献

1
Notch Signaling in Vascular Endothelial Cells, Angiogenesis, and Tumor Progression: An Update and Prospective.血管内皮细胞中的Notch信号通路、血管生成与肿瘤进展:最新进展与展望
Front Cell Dev Biol. 2021 Feb 16;9:642352. doi: 10.3389/fcell.2021.642352. eCollection 2021.
2
Targeting Notch in oncology: the path forward.靶向 Notch 治疗肿瘤:前进之路。
Nat Rev Drug Discov. 2021 Feb;20(2):125-144. doi: 10.1038/s41573-020-00091-3. Epub 2020 Dec 8.
3
Hypoxia Triggers the Intravasation of Clustered Circulating Tumor Cells.缺氧触发聚集的循环肿瘤细胞的血管内侵入。
Cell Rep. 2020 Sep 8;32(10):108105. doi: 10.1016/j.celrep.2020.108105.
4
Dual Vascular Endothelial Growth Factor Receptor and Fibroblast Growth Factor Receptor Inhibition Elicits Antitumor Immunity and Enhances Programmed Cell Death-1 Checkpoint Blockade in Hepatocellular Carcinoma.双重血管内皮生长因子受体和成纤维细胞生长因子受体抑制引发抗肿瘤免疫并增强肝细胞癌中的程序性细胞死亡蛋白1检查点阻断作用
Liver Cancer. 2020 Jun;9(3):338-357. doi: 10.1159/000505695. Epub 2020 Feb 25.
5
Phase II Study of AZD4547 in Patients With Tumors Harboring Aberrations in the FGFR Pathway: Results From the NCI-MATCH Trial (EAY131) Subprotocol W.AZD4547 治疗携 FGFR 通路异常肿瘤患者的 II 期研究:NCI-MATCH 试验(EAY131)子方案 W 的结果
J Clin Oncol. 2020 Jul 20;38(21):2407-2417. doi: 10.1200/JCO.19.02630. Epub 2020 May 28.
6
The Fibroblast Growth Factor Receptors in Breast Cancer: from Oncogenesis to Better Treatments.成纤维细胞生长因子受体在乳腺癌中的作用:从致癌作用到更好的治疗方法。
Int J Mol Sci. 2020 Mar 16;21(6):2011. doi: 10.3390/ijms21062011.
7
Resistance Mechanisms to Anti-angiogenic Therapies in Cancer.癌症中抗血管生成疗法的耐药机制
Front Oncol. 2020 Feb 27;10:221. doi: 10.3389/fonc.2020.00221. eCollection 2020.
8
Advances in Targeting RET-Dependent Cancers.靶向 RET 依赖性癌症的研究进展。
Cancer Discov. 2020 Apr;10(4):498-505. doi: 10.1158/2159-8290.CD-19-1116. Epub 2020 Feb 24.
9
Encyclopedic tumor analysis for guiding treatment of advanced, broadly refractory cancers: results from the RESILIENT trial.用于指导晚期广泛难治性癌症治疗的肿瘤百科分析:RESILIENT试验结果
Oncotarget. 2019 Sep 24;10(54):5605-5621. doi: 10.18632/oncotarget.27188.
10
Adaptive, Iterative, Long-Term Personalized Therapy Management in a Case of Stage IV Refractory NSCLC.IV期难治性非小细胞肺癌病例中的适应性、迭代式、长期个性化治疗管理
J Pers Med. 2019 Jul 5;9(3):34. doi: 10.3390/jpm9030034.