• 文献检索
  • 文档翻译
  • 深度研究
  • 学术资讯
  • Suppr Zotero 插件Zotero 插件
  • 邀请有礼
  • 套餐&价格
  • 历史记录
应用&插件
Suppr Zotero 插件Zotero 插件浏览器插件Mac 客户端Windows 客户端微信小程序
定价
高级版会员购买积分包购买API积分包
服务
文献检索文档翻译深度研究API 文档MCP 服务
关于我们
关于 Suppr公司介绍联系我们用户协议隐私条款
关注我们

Suppr 超能文献

核心技术专利:CN118964589B侵权必究
粤ICP备2023148730 号-1Suppr @ 2026

文献检索

告别复杂PubMed语法,用中文像聊天一样搜索,搜遍4000万医学文献。AI智能推荐,让科研检索更轻松。

立即免费搜索

文件翻译

保留排版,准确专业,支持PDF/Word/PPT等文件格式,支持 12+语言互译。

免费翻译文档

深度研究

AI帮你快速写综述,25分钟生成高质量综述,智能提取关键信息,辅助科研写作。

立即免费体验

基于 Legendre 谱方法的随机 Zika 病毒最优控制模型的计算研究。

Computational investigation of stochastic Zika virus optimal control model using Legendre spectral method.

机构信息

School of Mathematics, Shandong University, Jinan, 250100, China.

School of Mathematics and Data Sciences, Changji University, Changji, 831100, China.

出版信息

Sci Rep. 2024 Aug 5;14(1):18112. doi: 10.1038/s41598-024-69096-x.

DOI:10.1038/s41598-024-69096-x
PMID:39103482
原文链接:https://pmc.ncbi.nlm.nih.gov/articles/PMC11300638/
Abstract

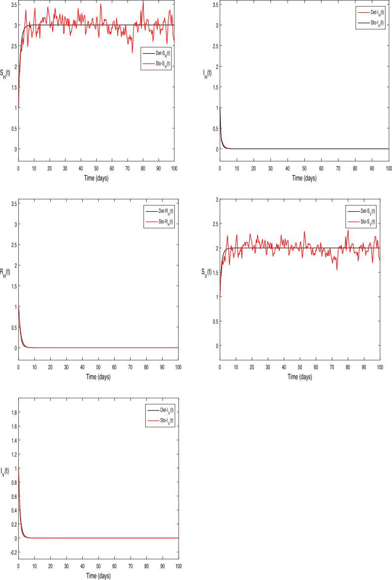
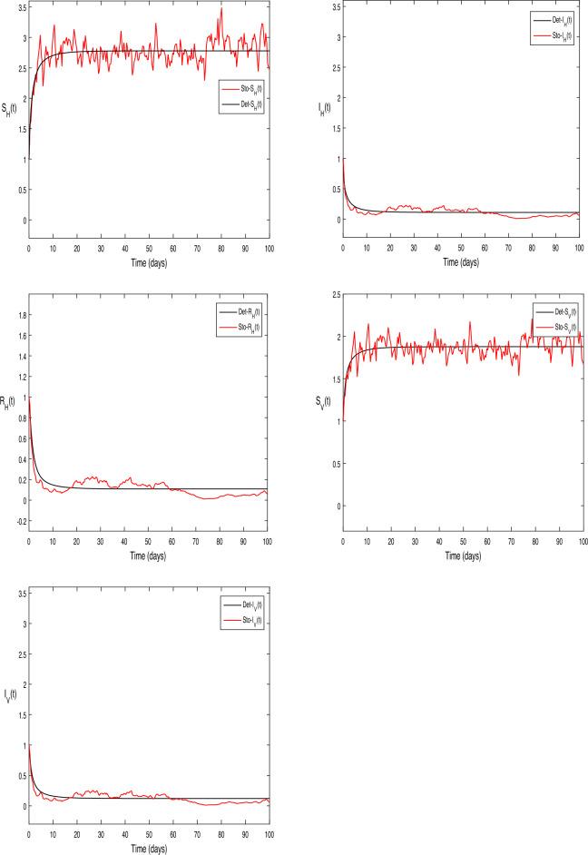
This study presents a computational investigation of a stochastic Zika virus along with optimal control model using the Legendre spectral collocation method (LSCM). By accumulation of stochasticity into the model through the proposed stochastic differential equations, we appropriating the random fluctuations essential in the progression and disease transmission. The stability, convergence and accuracy properties of the LSCM are conscientiously analyzed and also demonstrating its strength for solving the complex epidemiological models. Moreover, the study evaluates the various control strategies, such as treatment, prevention and treatment pesticide control, and identifies optimal combinations that the intervention costs and also minimize the proposed infection rates. The basic properties of the given model, such as the reproduction number, were determined with and without the presence of the control strategies. For , the model satisfies the disease-free equilibrium, in this case the disease die out after some time, while for , then endemic equilibrium is satisfied, in this case the disease spread in the population at higher scale. The fundamental findings acknowledge the significant impact of stochastic phonemes on the robustness and effectiveness of control strategies that accelerating the need for cost-effective and multi-faceted approaches. In last the results provide the valuable insights for public health department to enabling more impressive mitigation of Zika virus outbreaks and management in real-world scenarios.

摘要

本研究采用 Legendre 谱配置法(LSCM)对随机 Zika 病毒及其最优控制模型进行了计算研究。通过在模型中通过提出的随机微分方程积累随机性,我们适当考虑了在进展和疾病传播中必不可少的随机波动。认真分析了 LSCM 的稳定性、收敛性和准确性特性,并展示了其解决复杂传染病模型的优势。此外,该研究还评估了各种控制策略,如治疗、预防和治疗农药控制,并确定了干预成本最小化和提出的感染率最小化的最佳组合。在存在和不存在控制策略的情况下,确定了所给模型的基本特性,如繁殖数。对于 ,模型满足无病平衡点,在这种情况下,疾病会在一段时间后消失,而对于 ,则满足地方病平衡点,在这种情况下,疾病会在人群中以更高的规模传播。这些基本发现承认了随机音素对控制策略的稳健性和有效性的重大影响,这加速了对具有成本效益和多方面方法的需求。最后,结果为公共卫生部门提供了有价值的见解,使 Zika 病毒爆发和管理在现实场景中得到更有效的缓解。

https://cdn.ncbi.nlm.nih.gov/pmc/blobs/682f/11300638/565926497028/41598_2024_69096_Fig10_HTML.jpg
https://cdn.ncbi.nlm.nih.gov/pmc/blobs/682f/11300638/407e952f355e/41598_2024_69096_Fig1_HTML.jpg
https://cdn.ncbi.nlm.nih.gov/pmc/blobs/682f/11300638/f3304dd9400a/41598_2024_69096_Fig2_HTML.jpg
https://cdn.ncbi.nlm.nih.gov/pmc/blobs/682f/11300638/20a11051a67c/41598_2024_69096_Fig3_HTML.jpg
https://cdn.ncbi.nlm.nih.gov/pmc/blobs/682f/11300638/13051863f283/41598_2024_69096_Fig4_HTML.jpg
https://cdn.ncbi.nlm.nih.gov/pmc/blobs/682f/11300638/939367c8bd27/41598_2024_69096_Fig5_HTML.jpg
https://cdn.ncbi.nlm.nih.gov/pmc/blobs/682f/11300638/a316ce82103b/41598_2024_69096_Fig6_HTML.jpg
https://cdn.ncbi.nlm.nih.gov/pmc/blobs/682f/11300638/49a1ffbe3ddf/41598_2024_69096_Fig7_HTML.jpg
https://cdn.ncbi.nlm.nih.gov/pmc/blobs/682f/11300638/0e055cf7228c/41598_2024_69096_Fig8_HTML.jpg
https://cdn.ncbi.nlm.nih.gov/pmc/blobs/682f/11300638/61ad0e1fcd9f/41598_2024_69096_Fig9_HTML.jpg
https://cdn.ncbi.nlm.nih.gov/pmc/blobs/682f/11300638/565926497028/41598_2024_69096_Fig10_HTML.jpg
https://cdn.ncbi.nlm.nih.gov/pmc/blobs/682f/11300638/407e952f355e/41598_2024_69096_Fig1_HTML.jpg
https://cdn.ncbi.nlm.nih.gov/pmc/blobs/682f/11300638/f3304dd9400a/41598_2024_69096_Fig2_HTML.jpg
https://cdn.ncbi.nlm.nih.gov/pmc/blobs/682f/11300638/20a11051a67c/41598_2024_69096_Fig3_HTML.jpg
https://cdn.ncbi.nlm.nih.gov/pmc/blobs/682f/11300638/13051863f283/41598_2024_69096_Fig4_HTML.jpg
https://cdn.ncbi.nlm.nih.gov/pmc/blobs/682f/11300638/939367c8bd27/41598_2024_69096_Fig5_HTML.jpg
https://cdn.ncbi.nlm.nih.gov/pmc/blobs/682f/11300638/a316ce82103b/41598_2024_69096_Fig6_HTML.jpg
https://cdn.ncbi.nlm.nih.gov/pmc/blobs/682f/11300638/49a1ffbe3ddf/41598_2024_69096_Fig7_HTML.jpg
https://cdn.ncbi.nlm.nih.gov/pmc/blobs/682f/11300638/0e055cf7228c/41598_2024_69096_Fig8_HTML.jpg
https://cdn.ncbi.nlm.nih.gov/pmc/blobs/682f/11300638/61ad0e1fcd9f/41598_2024_69096_Fig9_HTML.jpg
https://cdn.ncbi.nlm.nih.gov/pmc/blobs/682f/11300638/565926497028/41598_2024_69096_Fig10_HTML.jpg

相似文献

1
Computational investigation of stochastic Zika virus optimal control model using Legendre spectral method.基于 Legendre 谱方法的随机 Zika 病毒最优控制模型的计算研究。
Sci Rep. 2024 Aug 5;14(1):18112. doi: 10.1038/s41598-024-69096-x.
2
Transmission dynamic of stochastic hepatitis C model by spectral collocation method.基于谱配置法的随机丙型肝炎模型的传播动力学
Comput Methods Biomech Biomed Engin. 2022 Apr;25(5):578-592. doi: 10.1080/10255842.2021.1970143. Epub 2021 Aug 30.
3
Dynamics and optimal control of a Zika model with sexual and vertical transmissions.具有性传播和垂直传播的寨卡模型的动力学与最优控制
Math Biosci Eng. 2023 Feb 28;20(5):8279-8304. doi: 10.3934/mbe.2023361.
4
Computational and Mathematical Methods to Estimate the Basic Reproduction Number and Final Size for Single-Stage and Multistage Progression Disease Models for Zika with Preventative Measures.用于估计寨卡单阶段和多阶段进展疾病模型基本再生数和最终规模并考虑预防措施的计算和数学方法。
Comput Math Methods Med. 2017;2017:4290825. doi: 10.1155/2017/4290825. Epub 2017 Aug 15.
5
Mathematical analysis of the role of hospitalization/isolation in controlling the spread of Zika fever.对住院/隔离控制寨卡热传播作用的数学分析。
Virus Res. 2018 Aug 15;255:95-104. doi: 10.1016/j.virusres.2018.07.002. Epub 2018 Jul 9.
6
Can Vaccination Save a Zika Virus Epidemic?接种疫苗能否阻止寨卡病毒疫情蔓延?
Bull Math Biol. 2018 Mar;80(3):598-625. doi: 10.1007/s11538-018-0393-7. Epub 2018 Jan 22.
7
Threshold Dynamics in a Model for Zika Virus Disease with Seasonality.具有季节性的寨卡病毒病模型中的阈值动态。
Bull Math Biol. 2021 Feb 17;83(4):27. doi: 10.1007/s11538-020-00844-6.
8
Structural and Practical Identifiability Analysis of Zika Epidemiological Models.寨卡流行病学模型的结构和实用可识别性分析。
Bull Math Biol. 2018 Aug;80(8):2209-2241. doi: 10.1007/s11538-018-0453-z. Epub 2018 Jun 13.
9
The global spread of Zika virus: is public and media concern justified in regions currently unaffected?寨卡病毒的全球传播:在目前未受影响的地区,公众和媒体的担忧是否合理?
Infect Dis Poverty. 2016 Apr 19;5:37. doi: 10.1186/s40249-016-0132-y.
10
Zika in Rio de Janeiro: Assessment of basic reproduction number and comparison with dengue outbreaks.里约热内卢的寨卡病毒:基本繁殖数评估及与登革热疫情的比较
Epidemiol Infect. 2017 Jun;145(8):1649-1657. doi: 10.1017/S0950268817000358. Epub 2017 Feb 27.

本文引用的文献

1
Modeling SARS-CoV-2 and HBV co-dynamics with optimal control.利用最优控制对严重急性呼吸综合征冠状病毒2型和乙型肝炎病毒的共同动态进行建模。
Physica A. 2023 Apr 1;615:128607. doi: 10.1016/j.physa.2023.128607. Epub 2023 Feb 24.
2
Qualitative Analysis of the Transmission Dynamics of Dengue with the Effect of Memory, Reinfection, and Vaccination.带记忆、再感染和疫苗接种效应的登革热传播动力学的定性分析。
Comput Math Methods Med. 2022 Sep 19;2022:7893570. doi: 10.1155/2022/7893570. eCollection 2022.
3
Global asymptotic stability, extinction and ergodic stationary distribution in a stochastic model for dual variants of SARS-CoV-2.
SARS-CoV-2双变体随机模型中的全局渐近稳定性、灭绝和遍历平稳分布
Math Comput Simul. 2023 Feb;204:302-336. doi: 10.1016/j.matcom.2022.08.012. Epub 2022 Aug 29.
4
Combating mosquito-borne diseases using genetic control technologies.利用基因控制技术防治蚊媒疾病。
Nat Commun. 2021 Jul 19;12(1):4388. doi: 10.1038/s41467-021-24654-z.
5
Evidence for the Range Expansion of Ciguatera in French Polynesia: A Revisit of the 2009 Mass-Poisoning Outbreak in Rapa Island (Australes Archipelago).证据表明,法国波利尼西亚地区的雪卡毒素中毒范围正在扩大:对 2009 年拉帕岛(澳斯特罗尼西亚群岛)大规模中毒事件的重新调查。
Toxins (Basel). 2020 Dec 1;12(12):759. doi: 10.3390/toxins12120759.
6
A SIR model assumption for the spread of COVID-19 in different communities.一种关于新冠病毒在不同社区传播的易感-感染-康复(SIR)模型假设。
Chaos Solitons Fractals. 2020 Oct;139:110057. doi: 10.1016/j.chaos.2020.110057. Epub 2020 Jun 28.
7
Zika Virus and the Risk of Developing Microcephaly in Infants: A Systematic Review.寨卡病毒与婴儿小头畸形风险:系统综述。
Int J Environ Res Public Health. 2020 May 27;17(11):3806. doi: 10.3390/ijerph17113806.
8
A Comprehensive Review of the Manifestations and Pathogenesis of Zika Virus in Neonates and Adults.寨卡病毒在新生儿和成人中的表现及发病机制综述
Cureus. 2018 Sep 12;10(9):e3290. doi: 10.7759/cureus.3290.
9
Dynamics of Zika virus outbreaks: an overview of mathematical modeling approaches.寨卡病毒疫情动态:数学建模方法综述
PeerJ. 2018 Mar 22;6:e4526. doi: 10.7717/peerj.4526. eCollection 2018.
10
After the epidemic: Zika virus projections for Latin America and the Caribbean.疫情之后:拉丁美洲和加勒比地区的寨卡病毒预测
PLoS Negl Trop Dis. 2017 Nov 1;11(11):e0006007. doi: 10.1371/journal.pntd.0006007. eCollection 2017 Nov.