Suppr超能文献

双阴性T细胞在结直肠癌中的诊断和预后价值

Diagnostic and prognostic value of double-negative T cells in colorectal cancer.

作者信息

Liu Xiao-Cui, Sun Ke-Na, Zhu Hui-Ru, Dai Yu-Ling, Liu Xiao-Fei

机构信息

Senior Department of Ophthalmology, the Third Medical Center of PLA General Hospital, Beijing, 100039, China.

Department of Laboratory Medicine, Weifang People's Hospital, Weifang, 261041, Shandong Province, China.

出版信息

Heliyon. 2024 Jul 14;10(14):e34645. doi: 10.1016/j.heliyon.2024.e34645. eCollection 2024 Jul 30.

Abstract

OBJECTIVE

To evaluate the T-lymphocyte subset distribution and the diagnostic and prognosis value of double-negative T (DNT) cells in colorectal cancer (CRC).

METHODS

This retrospective study compared the T-lymphocyte subsets and DNT of 114 patients with CRC with those of 107 healthy controls (HC). The diagnostic potential of DNT and T-lymphocyte subsets was assessed using the receiver operating characteristic (ROC) curve, and prognostic values were evaluated using the Kaplan-Meier curve and the Cox regression model.

RESULTS

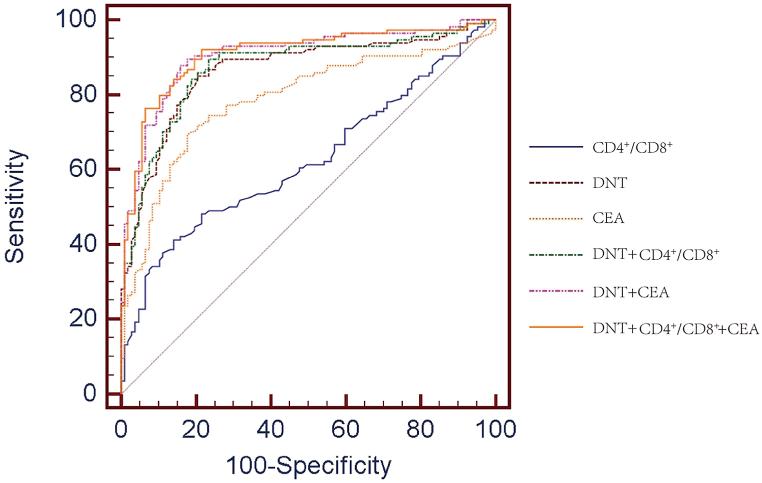
The percentages of CD8 T cells and DNT cells, and value of carcinoembryonic antigen (CEA), were remarkably higher in patients with CRC than in those with HC, but the ratio of CD4/CD8 was decreased. Using ROC curve analysis, DNT cell percentage, CEA, and CD4/CD8 ratio all had good diagnostic efficacy, with areas under the curve (AUCs) of 0.865, 0.786 and 0.624, respectively. The combination of DNT cell percentage and CEA had an AUC of 0.905, which was significantly higher than that of any single biomarker ( < 0.05). In univariate analysis, the Tumor Node Metastasis (TNM) clinical stage, CD4/CD8 ratio, and DNT cell percentage were significantly associated with overall survival (OS) ( < 0.05). In multivariate analysis, TNM clinical staging (HR = 2.37, 95 % CI: 1.15-4.90), a decreased CD4/CD8 ratio (HR = 0.33, 95 % CI: 0.15-0.74), and an increased DNT cell percentage (HR = 2.29, 95 % CI: 1.11-4.73) were independent prognostic factors for CRC.

CONCLUSION

The percentage of DNT cells may be useful as an evaluation index for CRC diagnosis and prognosis, which was even better when combined with serum CEA.

摘要

目的

评估T淋巴细胞亚群分布以及双阴性T(DNT)细胞在结直肠癌(CRC)中的诊断及预后价值。

方法

这项回顾性研究比较了114例CRC患者与107例健康对照者(HC)的T淋巴细胞亚群和DNT情况。使用受试者工作特征(ROC)曲线评估DNT和T淋巴细胞亚群的诊断潜力,并用Kaplan-Meier曲线和Cox回归模型评估预后价值。

结果

CRC患者的CD8 T细胞和DNT细胞百分比以及癌胚抗原(CEA)值显著高于HC患者,但CD4/CD8比值降低。通过ROC曲线分析,DNT细胞百分比、CEA和CD4/CD8比值均具有良好的诊断效能,曲线下面积(AUC)分别为0.865、0.786和0.624。DNT细胞百分比与CEA联合的AUC为0.905,显著高于任何单一生物标志物(P<0.05)。单因素分析中,肿瘤淋巴结转移(TNM)临床分期、CD4/CD8比值和DNT细胞百分比与总生存期(OS)显著相关(P<0.05)。多因素分析中,TNM临床分期(HR=2.37,95%CI:1.15-4.90)、CD4/CD8比值降低(HR=0.33,95%CI:0.15-0.74)以及DNT细胞百分比升高(HR=2.29,95%CI:1.11-4.73)是CRC的独立预后因素。

结论

DNT细胞百分比可能作为CRC诊断和预后的评估指标,与血清CEA联合时效果更佳。

https://cdn.ncbi.nlm.nih.gov/pmc/blobs/bfe5/11305275/53d6c56056fb/gr1.jpg

文献AI研究员

20分钟写一篇综述,助力文献阅读效率提升50倍。

立即体验

用中文搜PubMed

大模型驱动的PubMed中文搜索引擎

马上搜索

文档翻译

学术文献翻译模型,支持多种主流文档格式。

立即体验