Suppr超能文献

隐孢子虫病中呼吸系统受累的临床意义:乌干达腹泻和呼吸道症状儿童的横断面研究

Clinical Significance of Respiratory Involvement in Cryptosporidiosis: Cross-Sectional Study of Children with Diarrhea and Respiratory Symptoms in Uganda.

作者信息

Mor Siobhan M, Ndeezi Grace, Ascolillo Luke R, Tasimwa Hannington B, Attipa Charalampos, Sponseller Jerlyn, Mukunya David, Nakato Ritah, Kayondo Lilian N, Tzipori Saul, Tumwine James K, Griffiths Jeffrey K

机构信息

Institute for Infection, Veterinary and Ecological Sciences, University of Liverpool, Liverpool, United Kingdom.

Department of Paediatrics and Child Health, School of Medicine, Makerere University College of Health Sciences, Kampala, Uganda.

出版信息

Am J Trop Med Hyg. 2024 Aug 13;111(4):796-803. doi: 10.4269/ajtmh.24-0112. Print 2024 Oct 2.

Abstract

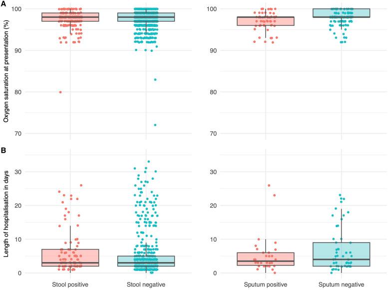
Respiratory cryptosporidiosis is considered an occasional, late-stage complication of HIV/AIDS. This study aimed to assess the clinical importance of respiratory cryptosporidiosis in children with diarrhea and respiratory symptoms at Mulago Hospital, Kampala, Uganda. Children aged 9 to 36 months presenting with diarrhea and cough or unexplained tachypnea (N = 1,918) were screened for fecal Cryptosporidium using polymerase chain reaction (PCR). Children with positive stool samples were eligible for further diagnostic tests, including sputum induction. Sputum samples were subjected to PCR for Cryptosporidium, as well as routine microbiology (culture and gram stain) and auramine stain for tuberculosis. Regression analyses were used to investigate 1) factors associated with respiratory cryptosporidiosis and 2) whether respiratory cryptosporidiosis was independently associated with hospitalization. Prevalence of enteric cryptosporidiosis was 260/1,918 (13.6%) (>80% Cryptosporidium hominis). Of the 236 children who had sputum available for analysis, 62 (26.3%) had Cryptosporidium in the sputum, only two of whom had HIV infection. Children with Cryptosporidium in the sputum were more likely to have abnormal oxygen saturation at presentation (SpO2 <96%; P = 0.053); no other differences in frequency or severity of respiratory signs were noted. No alternative bacterial cause of respiratory symptoms was identified in 37.7% of children with respiratory cryptosporidiosis, compared with 23.6% of children without (P = 0.04). Sputum-positive children had twice the odds of hospitalization compared with children without Cryptosporidium infection at this site (adjusted odds ratio = 2.08, 95% confidence interval: 1.02-4.22; P = 0.043). Respiratory tract involvement is common in children with intestinal cryptosporidiosis who are experiencing respiratory symptoms. Such children may experience some degree of respiratory compromise and may be at increased risk for hospitalization.

摘要

呼吸道隐孢子虫病被认为是人类免疫缺陷病毒/获得性免疫综合征(HIV/AIDS)一种偶发的晚期并发症。本研究旨在评估乌干达坎帕拉穆拉戈医院腹泻和呼吸道症状儿童中呼吸道隐孢子虫病的临床重要性。对9至36个月出现腹泻、咳嗽或不明原因呼吸急促的儿童(N = 1918),采用聚合酶链反应(PCR)筛查粪便中的隐孢子虫。粪便样本呈阳性的儿童有资格接受进一步诊断检测,包括诱导痰液检测。痰液样本进行隐孢子虫PCR检测,以及常规微生物学检测(培养和革兰氏染色)和结核分枝杆菌金胺染色。采用回归分析来研究:1)与呼吸道隐孢子虫病相关的因素;2)呼吸道隐孢子虫病是否与住院独立相关。肠道隐孢子虫病的患病率为260/1918(13.6%)(>80%为微小隐孢子虫)。在236名可进行痰液分析的儿童中,62名(26.3%)痰液中有隐孢子虫,其中只有两名感染了HIV。痰液中有隐孢子虫的儿童在就诊时更可能出现氧饱和度异常(血氧饱和度<96%;P = 0.053);未发现呼吸体征频率或严重程度有其他差异。在有呼吸道隐孢子虫病的儿童中,37.7%未发现呼吸道症状的其他细菌病因,而在无呼吸道隐孢子虫病的儿童中这一比例为23.6%(P = 0.04)。与该部位无隐孢子虫感染的儿童相比,痰液呈阳性的儿童住院几率是其两倍(校正比值比 = 2.08,95%置信区间:1.02 - 4.22;P = 0.043)。肠道隐孢子虫病且有呼吸道症状的儿童呼吸道受累很常见。这类儿童可能会出现一定程度的呼吸功能损害,住院风险可能增加。

https://cdn.ncbi.nlm.nih.gov/pmc/blobs/8ca5/11448525/9e9ab2e398f9/ajtmh.24-0112f1.jpg

文献检索

告别复杂PubMed语法,用中文像聊天一样搜索,搜遍4000万医学文献。AI智能推荐,让科研检索更轻松。

立即免费搜索

文件翻译

保留排版,准确专业,支持PDF/Word/PPT等文件格式,支持 12+语言互译。

免费翻译文档

深度研究

AI帮你快速写综述,25分钟生成高质量综述,智能提取关键信息,辅助科研写作。

立即免费体验