• 文献检索
  • 文档翻译
  • 深度研究
  • 学术资讯
  • Suppr Zotero 插件Zotero 插件
  • 邀请有礼
  • 套餐&价格
  • 历史记录
应用&插件
Suppr Zotero 插件Zotero 插件浏览器插件Mac 客户端Windows 客户端微信小程序
定价
高级版会员购买积分包购买API积分包
服务
文献检索文档翻译深度研究API 文档MCP 服务
关于我们
关于 Suppr公司介绍联系我们用户协议隐私条款
关注我们

Suppr 超能文献

核心技术专利:CN118964589B侵权必究
粤ICP备2023148730 号-1Suppr @ 2026

文献检索

告别复杂PubMed语法,用中文像聊天一样搜索,搜遍4000万医学文献。AI智能推荐,让科研检索更轻松。

立即免费搜索

文件翻译

保留排版,准确专业,支持PDF/Word/PPT等文件格式,支持 12+语言互译。

免费翻译文档

深度研究

AI帮你快速写综述,25分钟生成高质量综述,智能提取关键信息,辅助科研写作。

立即免费体验

炎症负担指数:骨关节炎患者中骨关节炎与全因死亡率的关系。

Inflammatory burden index: associations between osteoarthritis and all-cause mortality among individuals with osteoarthritis.

机构信息

Departments of Bone and Joint Surgery, The Second Affiliated Hospital of Xi'an Jiaotong University, Xi'an, PR China.

Department of Orthopaedics, Yueyang People's Hospital, No. 263 Baling Road, Yueyang, 414000, Hunan, PR China.

出版信息

BMC Public Health. 2024 Aug 13;24(1):2203. doi: 10.1186/s12889-024-19632-1.

DOI:10.1186/s12889-024-19632-1
PMID:39138465
原文链接:https://pmc.ncbi.nlm.nih.gov/articles/PMC11323649/
Abstract

BACKGROUND

The newly described inflammatory burden index (IBI) reflects a patient's inflammatory burden. This study aimed to estimate the association between IBI, osteoarthritis (OA), and all-cause mortality in patients with OA.

METHODS

We extracted the data of adults from the National Health and Nutrition Examination Survey database between 1999 and 2018. After using appropriate survey weights to correct for sample bias, we conducted multivariate logistic regression analyses to explore the association between IBI and OA across three models: in the unadjusted model, partially adjusted model (adjusting age, sex, race, education level, marital status, PIR, BMI, smoking status, drinking status, stroke, CVD, DM, and hypertension) and fully adjusted model (which included additional variables: HBA1C, ALT, AST, BUN, TC, and HDL). And the odds ratios (OR) and 95% confidence intervals (CI) were calculated. Similarly, using comparable survey weights and covariates adjustments, we employed Cox proportional hazards regression analysis to investigate the association between IBI and all-cause mortality in the other 3 models. The Cox proportional hazards regression models were fitted to calculate the hazard ratios (HR) and 95% CI of the association between IBI and all-cause mortality. A restricted cubic spline (RCS) was used to explore the nonlinear relationships between association effects. Subgroup analysis was performed to validate the reliability of their effects.

RESULTS

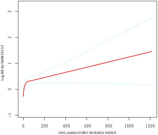
In total, 22,343 eligible participants were included. Multiple logistic regression models revealed that participants with the highest IBI had 2.54 times (95%CI, 2.23, 2.90)) higher risk of OA than those with the lowest IBI in Model 1, whereas the OR was 1.21 (95%CI, 1.03, 1.42) in Model 2 and 1.23 (95%CI,1.05, 1.45) in Model 3. Multiple Cox regression models showed participants with the highest IBI had 186% (95%CI, 1.50, 2.31) times risk of developing all-cause death than those with the lowest IBI in Model 1. This trend remained stable in Models 2 (HR,1.54; 95%CI,1.22, 1.95) and 3 (HR, 1.41; 95%CI, 1.10, 1.80). The RCS revealed a significant positive association between IBI and OA risk. With respect to the association between IBI and all-cause mortality, a slight decrease in mortality was observed from the lowest quartile to the second quartile of IBI, and the mortality risk increased with increasing IBI. Subgroup analyses showed that age, cardiovascular disease, and hypertension were pivotal in the association of IBI with all-cause mortality, whereas the association of IBI with OA remained stable after stratification by other factors such as sex, race, education level, marital, smoking, and drinking status, hypertension, and most serological indices.

CONCLUSIONS

This study provides evidence of a positive association between IBI, OA, and all-cause mortality. IBI may be a promising signature for assessing the inflammatory burden in patients with OA, which, in turn, is conducive to precise references for high-risk population recognition, anti-inflammatory guidance, and reducing mortality intervention.

摘要

背景

新描述的炎症负担指数(IBI)反映了患者的炎症负担。本研究旨在评估 IBI 与骨关节炎(OA)和 OA 患者全因死亡率之间的关系。

方法

我们从 1999 年至 2018 年的国家健康和营养检查调查数据库中提取了成年人的数据。在使用适当的调查权重校正样本偏差后,我们进行了多变量逻辑回归分析,以在三个模型中探讨 IBI 与 OA 之间的关联:未调整模型(调整年龄、性别、种族、教育水平、婚姻状况、PIR、BMI、吸烟状况、饮酒状况、中风、CVD、DM 和高血压)、部分调整模型(包括 HBA1C、ALT、AST、BUN、TC 和 HDL 等其他变量)和完全调整模型。并计算了比值比(OR)和 95%置信区间(CI)。同样,使用可比的调查权重和协变量调整,我们在其他 3 个模型中使用 Cox 比例风险回归分析研究了 IBI 与全因死亡率之间的关联。使用 Cox 比例风险回归模型计算了 IBI 与全因死亡率之间关联的风险比(HR)和 95%CI。限制性立方样条(RCS)用于探索关联效应的非线性关系。进行亚组分析以验证其效果的可靠性。

结果

共纳入 22343 名符合条件的参与者。多因素逻辑回归模型显示,在模型 1 中,IBI 最高的参与者患 OA 的风险比 IBI 最低的参与者高 2.54 倍(95%CI,2.23,2.90),而在模型 2 中 OR 为 1.21(95%CI,1.03,1.42),在模型 3 中为 1.23(95%CI,1.05,1.45)。多因素 Cox 回归模型显示,在模型 1 中,IBI 最高的参与者发生全因死亡的风险比 IBI 最低的参与者高 186%(95%CI,1.50,2.31)。这一趋势在模型 2(HR,1.54;95%CI,1.22,1.95)和 3(HR,1.41;95%CI,1.10,1.80)中保持稳定。RCS 显示 IBI 与 OA 风险之间存在显著的正相关。关于 IBI 与全因死亡率之间的关系,从 IBI 的最低四分位数到第二四分位数,死亡率略有下降,随着 IBI 的增加,死亡率风险增加。亚组分析表明,年龄、心血管疾病和高血压是 IBI 与全因死亡率关联的关键因素,而 IBI 与 OA 的关联在按性别、种族、教育水平、婚姻状况、吸烟和饮酒状况、高血压和大多数血清学指标等其他因素分层后仍然稳定。

结论

本研究提供了 IBI、OA 和全因死亡率之间存在正相关的证据。IBI 可能是评估 OA 患者炎症负担的有前途的标志物,这有助于对高危人群的识别、抗炎指导和降低死亡率干预提供更精确的参考。

https://cdn.ncbi.nlm.nih.gov/pmc/blobs/7905/11323649/4aaf73dc6477/12889_2024_19632_Fig7_HTML.jpg
https://cdn.ncbi.nlm.nih.gov/pmc/blobs/7905/11323649/ab8b6ae71008/12889_2024_19632_Fig1_HTML.jpg
https://cdn.ncbi.nlm.nih.gov/pmc/blobs/7905/11323649/fe12c8beb71d/12889_2024_19632_Fig2_HTML.jpg
https://cdn.ncbi.nlm.nih.gov/pmc/blobs/7905/11323649/80daf987e83e/12889_2024_19632_Fig3_HTML.jpg
https://cdn.ncbi.nlm.nih.gov/pmc/blobs/7905/11323649/126ebfc317d4/12889_2024_19632_Fig4_HTML.jpg
https://cdn.ncbi.nlm.nih.gov/pmc/blobs/7905/11323649/5b2f32c8b341/12889_2024_19632_Fig5_HTML.jpg
https://cdn.ncbi.nlm.nih.gov/pmc/blobs/7905/11323649/2134b6b781a7/12889_2024_19632_Fig6_HTML.jpg
https://cdn.ncbi.nlm.nih.gov/pmc/blobs/7905/11323649/4aaf73dc6477/12889_2024_19632_Fig7_HTML.jpg
https://cdn.ncbi.nlm.nih.gov/pmc/blobs/7905/11323649/ab8b6ae71008/12889_2024_19632_Fig1_HTML.jpg
https://cdn.ncbi.nlm.nih.gov/pmc/blobs/7905/11323649/fe12c8beb71d/12889_2024_19632_Fig2_HTML.jpg
https://cdn.ncbi.nlm.nih.gov/pmc/blobs/7905/11323649/80daf987e83e/12889_2024_19632_Fig3_HTML.jpg
https://cdn.ncbi.nlm.nih.gov/pmc/blobs/7905/11323649/126ebfc317d4/12889_2024_19632_Fig4_HTML.jpg
https://cdn.ncbi.nlm.nih.gov/pmc/blobs/7905/11323649/5b2f32c8b341/12889_2024_19632_Fig5_HTML.jpg
https://cdn.ncbi.nlm.nih.gov/pmc/blobs/7905/11323649/2134b6b781a7/12889_2024_19632_Fig6_HTML.jpg
https://cdn.ncbi.nlm.nih.gov/pmc/blobs/7905/11323649/4aaf73dc6477/12889_2024_19632_Fig7_HTML.jpg

相似文献

1
Inflammatory burden index: associations between osteoarthritis and all-cause mortality among individuals with osteoarthritis.炎症负担指数:骨关节炎患者中骨关节炎与全因死亡率的关系。
BMC Public Health. 2024 Aug 13;24(1):2203. doi: 10.1186/s12889-024-19632-1.
2
Association of the Inflammatory Burden Index With Increased Mortality Among Cancer Patients: Insights From the NHANES Study.炎症负担指数与癌症患者死亡率增加之间的关联:来自美国国家健康与营养检查调查(NHANES)研究的见解。
Immun Inflamm Dis. 2024 Dec;12(12):e70067. doi: 10.1002/iid3.70067.
3
Association between inflammatory burden index and all-cause mortality in the general population aged over 45 years: Data from NHANES 2005-2017.炎症负担指数与 45 岁以上人群全因死亡率的关系:来自 NHANES 2005-2017 的数据。
Nutr Metab Cardiovasc Dis. 2024 Jan;34(1):64-74. doi: 10.1016/j.numecd.2023.10.006. Epub 2023 Oct 10.
4
Association between cardiovascular health and all-cause mortality risk in patients with osteoarthritis.心血管健康与骨关节炎患者全因死亡率风险的关联。
BMC Musculoskelet Disord. 2024 Aug 14;25(1):641. doi: 10.1186/s12891-024-07729-y.
5
Inflammatory burden index (IBI) and body roundness index (BRI) in gallstone risk prediction: insights from NHANES 2017-2020.炎症负担指数(IBI)和身体圆润度指数(BRI)在胆结石风险预测中的作用:来自2017 - 2020年美国国家健康与营养检查调查(NHANES)的见解
Lipids Health Dis. 2025 Feb 21;24(1):63. doi: 10.1186/s12944-025-02472-2.
6
Association of weight-adjusted waist index with all-cause and cardiovascular mortality in individuals with osteoarthritis.体重调整后腰围指数与骨关节炎患者全因死亡率和心血管死亡率的关联。
BMC Musculoskelet Disord. 2025 Apr 21;26(1):390. doi: 10.1186/s12891-025-08638-4.
7
Association of Systemic Immune-Inflammation Index With Stroke and Mortality Rates: Evidence From the NHANES Database.全身免疫炎症指数与中风及死亡率的关联:来自美国国家健康与营养检查调查(NHANES)数据库的证据
Neurologist. 2025 Jan 1;30(1):1-10. doi: 10.1097/NRL.0000000000000561.
8
Association of nutritional and inflammatory status with all-cause and cardiovascular mortality in adults with sarcopenia: Insights from NHANES.肌肉减少症成人的营养与炎症状态与全因死亡率和心血管死亡率的关联:来自美国国家健康与营养检查调查(NHANES)的见解
Maturitas. 2025 May;196:108233. doi: 10.1016/j.maturitas.2025.108233. Epub 2025 Mar 4.
9
Systemic inflammatory biomarkers are novel predictors of all-cause and cardiovascular mortality in individuals with osteoarthritis: a prospective cohort study using data from the NHANES.全身炎症生物标志物是骨关节炎患者全因死亡率和心血管死亡率的新型预测指标:一项使用美国国家健康与营养检查调查(NHANES)数据的前瞻性队列研究。
BMC Public Health. 2024 Jun 13;24(1):1586. doi: 10.1186/s12889-024-19105-5.
10
U-shaped association between triglyceride glucose-body mass index with all-cause and cardiovascular mortality in US adults with osteoarthritis: evidence from NHANES 1999-2020.美国成年人骨性关节炎患者中甘油三酯-葡萄糖-体重指数与全因和心血管死亡率之间的 U 型关联:来自 NHANES 1999-2020 的证据。
Sci Rep. 2024 Aug 28;14(1):19959. doi: 10.1038/s41598-024-70443-1.

引用本文的文献

1
Pharmacist-Driven Chondroprotection in Osteoarthritis: A Multifaceted Approach Using Patient Education, Information Visualization, and Lifestyle Integration.药剂师主导的骨关节炎软骨保护:一种采用患者教育、信息可视化和生活方式整合的多方面方法。
Pharmacy (Basel). 2025 Aug 1;13(4):106. doi: 10.3390/pharmacy13040106.
2
Explainable machine learning-driven models for predicting Parkinson's disease and its prognosis: obesity patterns associations and models development using NHANES 1999-2018 data.用于预测帕金森病及其预后的可解释机器学习驱动模型:肥胖模式关联以及使用1999 - 2018年美国国家健康与营养检查调查(NHANES)数据进行模型开发
Lipids Health Dis. 2025 Jul 17;24(1):241. doi: 10.1186/s12944-025-02664-w.
3

本文引用的文献

1
siRNA therapy in osteoarthritis: targeting cellular pathways for advanced treatment approaches.siRNA 疗法在骨关节炎中的应用:针对细胞通路的先进治疗方法。
Front Immunol. 2024 Jun 4;15:1382689. doi: 10.3389/fimmu.2024.1382689. eCollection 2024.
2
Why osteoarthritis of the knee is called "a wound that does not heal" and why Tai Chi is an effective treatment.为什么膝骨关节炎被称为“不愈合的伤口”以及为什么太极拳是一种有效的治疗方法。
Front Med (Lausanne). 2023 Nov 27;10:1208326. doi: 10.3389/fmed.2023.1208326. eCollection 2023.
3
Exploration and breakthrough in the mode of chondrocyte death - A potential new mechanism for osteoarthritis.
Red blood cell distribution width to albumin ratio is associated with osteoarthritis prevalence among US adults with diabetes using data from NHANES 2005 to 2018.
利用2005年至2018年美国国家健康与营养检查调查(NHANES)的数据,红细胞分布宽度与白蛋白比值与美国糖尿病成年人骨关节炎患病率相关。
Sci Rep. 2025 Jul 1;15(1):21529. doi: 10.1038/s41598-025-05686-7.
4
Association between inflammation indicators and albuminuria in US adults: a cross-sectional study.美国成年人炎症指标与蛋白尿之间的关联:一项横断面研究。
Sci Rep. 2025 Jul 1;15(1):21496. doi: 10.1038/s41598-025-06540-6.
5
Association and Predictive Ability between Inflammatory Burden Index and Fever Following Endobronchial Forceps Biopsy in Lung Cancer Patients.肺癌患者支气管内钳取活检后炎症负荷指数与发热之间的关联及预测能力
J Inflamm Res. 2025 May 2;18:5911-5922. doi: 10.2147/JIR.S521144. eCollection 2025.
6
Association of weight-adjusted waist index with all-cause and cardiovascular mortality in individuals with osteoarthritis.体重调整后腰围指数与骨关节炎患者全因死亡率和心血管死亡率的关联。
BMC Musculoskelet Disord. 2025 Apr 21;26(1):390. doi: 10.1186/s12891-025-08638-4.
7
Inflammatory burden index as a predictor of mortality in septic patients: a retrospective study using the MIMIC-IV database.炎症负担指数作为脓毒症患者死亡率的预测指标:一项使用MIMIC-IV数据库的回顾性研究
BMC Infect Dis. 2025 Apr 17;25(1):552. doi: 10.1186/s12879-025-10936-0.
8
Association of the inflammatory burden index with the risk of pre-diabetes and diabetes mellitus: a cross-sectional study.炎症负担指数与糖尿病前期和糖尿病风险的关联:一项横断面研究。
BMC Endocr Disord. 2025 Mar 26;25(1):82. doi: 10.1186/s12902-025-01911-6.
9
Inflammatory burden index (IBI) and body roundness index (BRI) in gallstone risk prediction: insights from NHANES 2017-2020.炎症负担指数(IBI)和身体圆润度指数(BRI)在胆结石风险预测中的作用:来自2017 - 2020年美国国家健康与营养检查调查(NHANES)的见解
Lipids Health Dis. 2025 Feb 21;24(1):63. doi: 10.1186/s12944-025-02472-2.
10
Association between life's essential 8 and Parkinson's disease: a case-control study.生命必需的八项指标与帕金森病之间的关联:一项病例对照研究。
BMC Public Health. 2025 Feb 1;25(1):411. doi: 10.1186/s12889-025-21648-0.
软骨细胞死亡模式的探索与突破——骨关节炎潜在的新机制
Biomed Pharmacother. 2024 Jan;170:115990. doi: 10.1016/j.biopha.2023.115990. Epub 2023 Dec 6.
4
Association between inflammatory burden index and all-cause mortality in the general population aged over 45 years: Data from NHANES 2005-2017.炎症负担指数与 45 岁以上人群全因死亡率的关系:来自 NHANES 2005-2017 的数据。
Nutr Metab Cardiovasc Dis. 2024 Jan;34(1):64-74. doi: 10.1016/j.numecd.2023.10.006. Epub 2023 Oct 10.
5
Injectable Bioactive Antioxidative One-Component Polycitrate Hydrogel with Anti-Inflammatory Effects for Osteoarthritis Alleviation and Cartilage Protection.可注射的生物活性抗氧化单组分聚柠檬酸盐水凝胶,具有抗炎作用,可缓解骨关节炎和保护软骨。
Adv Healthc Mater. 2024 Jan;13(2):e2301953. doi: 10.1002/adhm.202301953. Epub 2023 Oct 15.
6
Inflammatory Burden Index: Association Between Novel Systemic Inflammatory Biomarkers and Prognosis as Well as in-Hospital Complications of Patients with Aneurysmal Subarachnoid Hemorrhage.炎症负担指数:新型全身炎症生物标志物与动脉瘤性蛛网膜下腔出血患者预后及院内并发症之间的关联
J Inflamm Res. 2023 Sep 4;16:3911-3921. doi: 10.2147/JIR.S416295. eCollection 2023.
7
Systemic inflammation response index as an emerging biomarker in osteoarthritis patients: a bibliometric and large sample retrospective investigation.系统炎症反应指数作为骨关节炎患者的新兴生物标志物:文献计量学和大样本回顾性研究。
Clin Exp Rheumatol. 2024 Jan;42(1):92-103. doi: 10.55563/clinexprheumatol/tygnk6. Epub 2023 Jul 27.
8
Association Between Inflammatory Burden Index and Unfavorable Prognosis After Endovascular Thrombectomy in Acute Ischemic Stroke.急性缺血性卒中血管内血栓切除术后炎症负担指数与不良预后的关系
J Inflamm Res. 2023 Jul 19;16:3009-3017. doi: 10.2147/JIR.S419087. eCollection 2023.
9
Association between serum 25-hydroxyvitamin D and osteoarthritis: A national population-based analysis of NHANES 2001-2018.血清25-羟基维生素D与骨关节炎之间的关联:基于美国国家健康与营养检查调查(NHANES)2001 - 2018年数据的全国性人群分析
Front Nutr. 2023 Feb 28;10:1016809. doi: 10.3389/fnut.2023.1016809. eCollection 2023.
10
The inflammatory burden index is a superior systemic inflammation biomarker for the prognosis of non-small cell lung cancer.炎症负担指数是预测非小细胞肺癌预后的一种更优的系统性炎症生物标志物。
J Cachexia Sarcopenia Muscle. 2023 Apr;14(2):869-878. doi: 10.1002/jcsm.13199. Epub 2023 Feb 28.