• 文献检索
  • 文档翻译
  • 深度研究
  • 学术资讯
  • Suppr Zotero 插件Zotero 插件
  • 邀请有礼
  • 套餐&价格
  • 历史记录
应用&插件
Suppr Zotero 插件Zotero 插件浏览器插件Mac 客户端Windows 客户端微信小程序
定价
高级版会员购买积分包购买API积分包
服务
文献检索文档翻译深度研究API 文档MCP 服务
关于我们
关于 Suppr公司介绍联系我们用户协议隐私条款
关注我们

Suppr 超能文献

核心技术专利:CN118964589B侵权必究
粤ICP备2023148730 号-1Suppr @ 2026

文献检索

告别复杂PubMed语法,用中文像聊天一样搜索,搜遍4000万医学文献。AI智能推荐,让科研检索更轻松。

立即免费搜索

文件翻译

保留排版,准确专业,支持PDF/Word/PPT等文件格式,支持 12+语言互译。

免费翻译文档

深度研究

AI帮你快速写综述,25分钟生成高质量综述,智能提取关键信息,辅助科研写作。

立即免费体验

监测密集训练期对年轻女子有氧体操运动员力量水平和着地力量的不利影响。

Monitoring the detrimental impact of congested training periods on the strength levels and landing forces of young female aerobic gymnastics.

作者信息

Ma Dong, Zhao Kezhan, Silva Rui Miguel, Wang Ke, Xu Qi, Zhao Zijian

机构信息

Gdansk University of Physical Education and Sport, 80-336, Gdańsk, Gdańsk, Poland.

Xi'an Yixin Middle School, 710082, Xi'an, China.

出版信息

Heliyon. 2024 Jul 18;10(14):e34609. doi: 10.1016/j.heliyon.2024.e34609. eCollection 2024 Jul 30.

DOI:10.1016/j.heliyon.2024.e34609
PMID:39148995
原文链接:https://pmc.ncbi.nlm.nih.gov/articles/PMC11325065/
Abstract

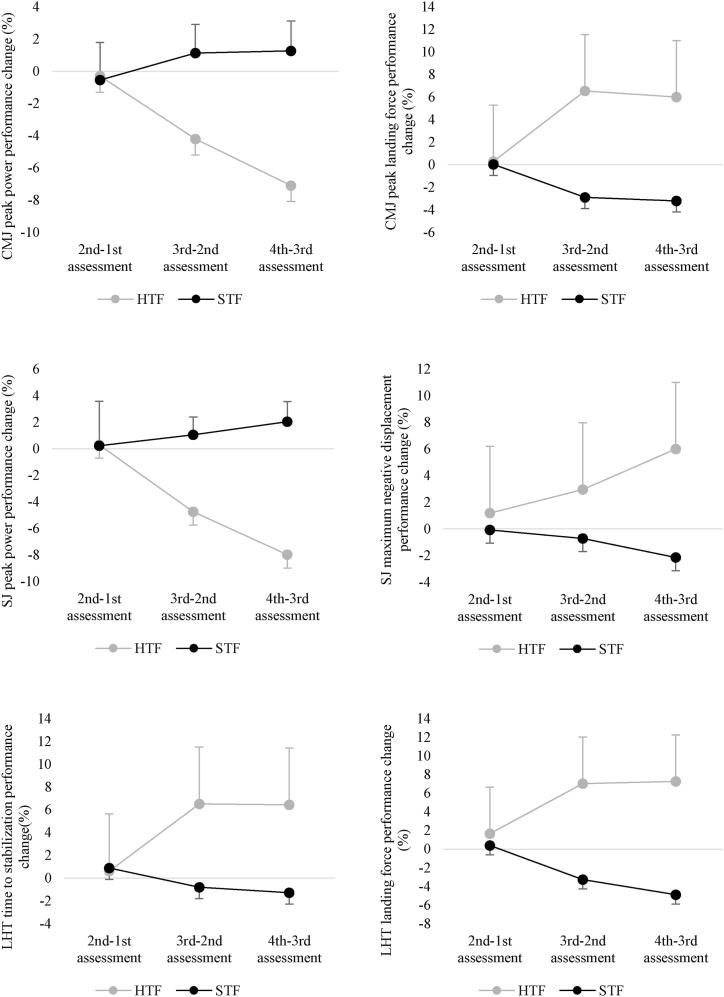
Identifying indicators of non-functional overreaching during periods of increased training volume and/or intensity is particularly relevant for understanding the detrimental impacts incurred, as well as how these factors contribute to heightened injury risks among exposed athletes. This study aimed to compare the effects of a congested training period versus a standard training period on the strength levels and landing forces of female young aerobic gymnastics athletes. A prospective cohort study design was implemented, spanning four weeks. Fifty athletes (aged 16.2 ± 1.1 years old) at a trained/developmental level, competing at the regional level, were observed throughout the study. During two of these weeks (specifically weeks 2 and 3), half of the group was subjected to a congested training period consisting of six sessions per week (HTF), while the other half continued with their regular four sessions per week (STF). During each week of observation, participants underwent evaluation using the countermovement jump test (CMJ), squat jump test (SJ), and the leg land and hold test (LHT), with measurements taken on a force platform. The main outcomes repeatedly observed over the four weeks were CMJ peak landing force, CMJ peak power, SJ peak power, SJ maximum negative displacement, LHT time to stabilization, and LHT peak drop landing force. Significant interactions (time*group) were observed in CMJ peak power (p < 0.001), CMJ peak landing force (p < 0.001), SJ peak power (p < 0.001), SJ maximum negative displacement (p < 0.001), LHT time to stabilization (p < 0.001), and LHT peak drop landing force (p < 0.001). Furthermore, the results of the final assessment revealed significantly lower CMJ peak power (p = 0.008) and SJ peak power (p = 0.002) in the HTF group compared to the STF group. Additionally, significantly higher values of CMJ peak landing force (p = 0.041), SJ maximum negative displacement (p = 0.015), and LHT peak drop landing force (p = 0.047) were observed in the HTF group compared to the STF group. In conclusion, the increase in training frequency over two weeks significantly contributed to declines in neuromuscular power performance and peak landing forces. This indicates that intensified training periods may acutely expose athletes not only to performance drops but also to an increased risk of injury due to reduced capacity to absorb landing forces.

摘要

在训练量和/或强度增加的时期识别非功能性过度训练的指标,对于理解由此产生的有害影响以及这些因素如何导致受影响运动员受伤风险增加尤为重要。本研究旨在比较密集训练期与标准训练期对年轻女子有氧体操运动员力量水平和落地力量的影响。采用前瞻性队列研究设计,为期四周。在整个研究过程中,观察了50名处于训练/发展水平、参加地区级比赛的运动员(年龄16.2±1.1岁)。在其中两周(具体为第2周和第3周),该组一半的运动员接受每周六节训练课的密集训练期(高强度训练组,HTF),而另一半继续每周进行常规的四节训练课(标准训练组,STF)。在每周观察期间,参与者通过反向纵跳测试(CMJ)、深蹲跳测试(SJ)和腿部落地支撑测试(LHT)进行评估,并在测力平台上进行测量。在四周内反复观察到的主要结果是CMJ峰值落地力、CMJ峰值功率、SJ峰值功率、SJ最大负位移、LHT稳定时间和LHT峰值下降落地力。在CMJ峰值功率(p<0.001)、CMJ峰值落地力(p<0.001)、SJ峰值功率(p<0.001)、SJ最大负位移(p<0.001)、LHT稳定时间(p<0.001)和LHT峰值下降落地力(p<0.001)方面观察到显著的交互作用(时间*组)。此外,最终评估结果显示,与标准训练组相比,高强度训练组的CMJ峰值功率(p=0.008)和SJ峰值功率(p=0.002)显著降低。此外,与标准训练组相比,高强度训练组的CMJ峰值落地力(p=0.041)、SJ最大负位移(p=0.015)和LHT峰值下降落地力(p=0.047)的值显著更高。总之,两周内训练频率的增加显著导致神经肌肉力量表现和峰值落地力下降。这表明强化训练期可能会使运动员不仅会突然出现成绩下降,而且由于吸收落地力的能力降低,受伤风险也会增加。

https://cdn.ncbi.nlm.nih.gov/pmc/blobs/536d/11325065/3b844fb13fba/gr3.jpg
https://cdn.ncbi.nlm.nih.gov/pmc/blobs/536d/11325065/9b0d10f562c3/gr1.jpg
https://cdn.ncbi.nlm.nih.gov/pmc/blobs/536d/11325065/eda9f43cb3d8/gr2.jpg
https://cdn.ncbi.nlm.nih.gov/pmc/blobs/536d/11325065/3b844fb13fba/gr3.jpg
https://cdn.ncbi.nlm.nih.gov/pmc/blobs/536d/11325065/9b0d10f562c3/gr1.jpg
https://cdn.ncbi.nlm.nih.gov/pmc/blobs/536d/11325065/eda9f43cb3d8/gr2.jpg
https://cdn.ncbi.nlm.nih.gov/pmc/blobs/536d/11325065/3b844fb13fba/gr3.jpg

相似文献

1
Monitoring the detrimental impact of congested training periods on the strength levels and landing forces of young female aerobic gymnastics.监测密集训练期对年轻女子有氧体操运动员力量水平和着地力量的不利影响。
Heliyon. 2024 Jul 18;10(14):e34609. doi: 10.1016/j.heliyon.2024.e34609. eCollection 2024 Jul 30.
2
Unilateral Plyometric Jump Training Shows Significantly More Effective than Bilateral Training in Improving Both Time to Stabilization and Peak Landing Force in Single-Leg Lend and Hold Test: A Randomized Multi-Arm Study Conducted Among Young Male Basketball Players.单侧弹震式跳跃训练在改善单腿屈伸和保持测试中的稳定时间和峰值着地力方面明显比双侧训练更有效:一项在年轻男性篮球运动员中进行的随机多臂研究。
J Sports Sci Med. 2024 Sep 1;23(1):647-655. doi: 10.52082/jssm.2024.647. eCollection 2024 Sep.
3
Small-Sided Games with Baskets Are Significantly More Effective at Enhancing Neuromuscular Force Parameters Compared to Ball Possession Games: A Randomized Controlled Study in Young Male Basketball Players.有篮筐的小场地比赛在增强神经肌肉力量参数方面明显比控球比赛更有效:一项针对年轻男性篮球运动员的随机对照研究。
J Sports Sci Med. 2024 Sep 1;23(1):638-646. doi: 10.52082/jssm.2024.638. eCollection 2024 Sep.
4
Effects of drop jumps added to the warm-up of elite sport athletes with a high capacity for explosive force development.在爆发力发展能力较强的精英运动员热身活动中增加纵跳练习的效果。
J Strength Cond Res. 2007 May;21(2):550-5. doi: 10.1519/R-20215.1.
5
A Meta-Analysis to Determine Strength Training Related Dose-Response Relationships for Lower-Limb Muscle Power Development in Young Athletes.一项Meta分析,以确定与力量训练相关的剂量反应关系,用于年轻运动员下肢肌肉力量发展。
Front Physiol. 2018 Aug 22;9:1155. doi: 10.3389/fphys.2018.01155. eCollection 2018.
6
Evaluation of The Isometric and Dynamic Rates of Force Development in Multi-Joint Muscle Actions.多关节肌肉动作中力量发展的等长和动态速率评估
J Hum Kinet. 2022 Feb 10;81:135-148. doi: 10.2478/hukin-2021-0130. eCollection 2022 Jan.
7
Effects of Training Frequency During a 6-Month Neuromuscular Training Intervention on Movement Competency, Strength, and Power in Male Youth.6 个月神经肌肉训练干预期间训练频率对男性青少年运动能力、力量和功率的影响。
Sports Health. 2022 Jan-Feb;14(1):57-68. doi: 10.1177/19417381211050005. Epub 2021 Oct 15.
8
Should we individualize training based on force-velocity profiling to improve physical performance in athletes?我们是否应该根据力量-速度特征进行个体化训练,以提高运动员的身体表现?
Scand J Med Sci Sports. 2021 Dec;31(12):2198-2210. doi: 10.1111/sms.14044. Epub 2021 Sep 12.
9
A strength-oriented exercise session required more recovery time than a power-oriented exercise session with equal work.与进行相同工作量的力量型训练相比,一次体能强化训练需要更多的恢复时间。
PeerJ. 2020 Sep 30;8:e10044. doi: 10.7717/peerj.10044. eCollection 2020.
10
Relationships of the 5-Jump Test (5JT) Performance of Youth Players With Volleyball Specific' Laboratory Tests for Explosive Power.青少年球员 5 连跳测试(5JT)表现与排球专项爆发力实验室测试的关系。
Am J Mens Health. 2020 Nov-Dec;14(6):1557988320977686. doi: 10.1177/1557988320977686.

本文引用的文献

1
Defining Training and Performance Caliber: A Participant Classification Framework.定义培训和绩效水平:参与者分类框架。
Int J Sports Physiol Perform. 2022 Feb 1;17(2):317-331. doi: 10.1123/ijspp.2021-0451. Epub 2022 Dec 29.
2
ASSESSMENT OF EFFECTS OF NON-FUNCTIONAL OVERREACHING AND OVERTRAINING ON RESPONSES OF SKELETAL MUSCLE AND CARDIAC BIOMARKERS FOR MONITORING OF OVERTRAINING SYNDROME IN ATHLETES.评估非功能性过度伸展和过度训练对骨骼肌反应及心脏生物标志物的影响,以监测运动员的过度训练综合征
Georgian Med News. 2021 Feb(311):79-84.
3
25 Years of Session Rating of Perceived Exertion: Historical Perspective and Development.
25 年的主观努力感知评分:历史视角与发展。
Int J Sports Physiol Perform. 2021 May 1;16(5):612-621. doi: 10.1123/ijspp.2020-0599. Epub 2021 Jan 28.
4
Overreaching and overtraining in strength sports and resistance training: A scoping review.力量运动和抗阻训练中的过度训练和过度训练:范围综述。
J Sports Sci. 2020 Aug;38(16):1897-1912. doi: 10.1080/02640414.2020.1763077. Epub 2020 Jun 30.
5
Functional Overreaching in Endurance Athletes: A Necessity or Cause for Concern?耐力运动员的功能性过度训练:是必要之举还是令人担忧的因素?
Sports Med. 2020 Jun;50(6):1059-1073. doi: 10.1007/s40279-020-01269-w.
6
The Temporal Relationship Between Exercise, Recovery Processes, and Changes in Performance.运动、恢复过程和表现变化之间的时间关系。
Int J Sports Physiol Perform. 2019 Sep 1;14(8):1015-1021. doi: 10.1123/ijspp.2018-0668.
7
The STROBE guidelines.STROBE指南。
Saudi J Anaesth. 2019 Apr;13(Suppl 1):S31-S34. doi: 10.4103/sja.SJA_543_18.
8
Gymnastics injury incidence during the 2008, 2012 and 2016 Olympic Games: analysis of prospectively collected surveillance data from 963 registered gymnasts during Olympic Games.2008、2012 和 2016 年奥运会期间的体操损伤发生率:对 963 名奥运会注册体操运动员前瞻性监测数据的分析。
Br J Sports Med. 2018 Apr;52(7):475-481. doi: 10.1136/bjsports-2017-097972. Epub 2017 Oct 14.
9
Utilizing Physiological Principles of Motor Unit Recruitment to Reduce Fatigability of Electrically-Evoked Contractions: A Narrative Review.利用运动单位募集的生理学原理减少电诱发收缩的疲劳性:叙述性综述。
Arch Phys Med Rehabil. 2018 Apr;99(4):779-791. doi: 10.1016/j.apmr.2017.08.478. Epub 2017 Sep 19.
10
The compensatory interaction between motor unit firing behavior and muscle force during fatigue.疲劳期间运动单位放电行为与肌肉力量之间的代偿性相互作用。
J Neurophysiol. 2016 Oct 1;116(4):1579-1585. doi: 10.1152/jn.00347.2016. Epub 2016 Jul 6.