• 文献检索
  • 文档翻译
  • 深度研究
  • 学术资讯
  • Suppr Zotero 插件Zotero 插件
  • 邀请有礼
  • 套餐&价格
  • 历史记录
应用&插件
Suppr Zotero 插件Zotero 插件浏览器插件Mac 客户端Windows 客户端微信小程序
定价
高级版会员购买积分包购买API积分包
服务
文献检索文档翻译深度研究API 文档MCP 服务
关于我们
关于 Suppr公司介绍联系我们用户协议隐私条款
关注我们

Suppr 超能文献

核心技术专利:CN118964589B侵权必究
粤ICP备2023148730 号-1Suppr @ 2026

文献检索

告别复杂PubMed语法,用中文像聊天一样搜索,搜遍4000万医学文献。AI智能推荐,让科研检索更轻松。

立即免费搜索

文件翻译

保留排版,准确专业,支持PDF/Word/PPT等文件格式,支持 12+语言互译。

免费翻译文档

深度研究

AI帮你快速写综述,25分钟生成高质量综述,智能提取关键信息,辅助科研写作。

立即免费体验

METSIM队列研究中肠道微生物衍生代谢产物与心血管疾病风险

Gut microbe-derived metabolites and the risk of cardiovascular disease in the METSIM cohort.

作者信息

Mirzaei Sahereh, DeVon Holli A, Cantor Rita M, Cupido Arjen, Fernandes Silva Lilian, Laakso Markku, Lusis Aldons J

机构信息

Department of Medicine, Division of Cardiology, David Geffen School of Medicine, University of California, Los Angeles, Los Angeles, CA, United States.

School of Nursing, University of California, Los Angeles, Los Angeles, CA, United States.

出版信息

Front Microbiol. 2024 Aug 1;15:1411328. doi: 10.3389/fmicb.2024.1411328. eCollection 2024.

DOI:10.3389/fmicb.2024.1411328
PMID:39149211
原文链接:https://pmc.ncbi.nlm.nih.gov/articles/PMC11324590/
Abstract

BACKGROUND

An association between gut microbes and cardiovascular disease (CVD) has been established, but the underlying mechanisms remain largely unknown.

METHODS

We conducted a secondary analysis of the cross-sectional data obtained from the Metabolic Syndrome in Men (METSIM) population-based cohort of 10,194 Finnish men (age = 57.65 ± 7.12 years). We tested the levels of circulating gut microbe-derived metabolites as predictors of CVD, ischemic cerebrovascular accident (CVA), and myocardial infarction (MI). The Kaplan-Meier method was used to estimate the time from the participants' first outpatient clinic visit to the occurrence of adverse outcomes. The associations between metabolite levels and the outcomes were assessed using Cox proportional hazard models.

RESULTS

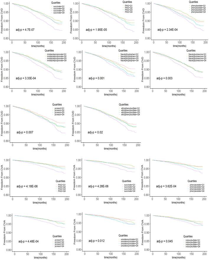
During a median follow-up period of 200 months, 979 participants experienced CVD, 397 experienced CVA, and 548 experienced MI. After adjusting for traditional risk factors and correcting for multiple comparisons, higher plasma levels of succinate [quartile 4 vs. quartile 1; adjusted hazard ratio, aHR = 1.30, (confidence interval (CI), 1.10-1.53) = 0.0003, adjusted = 0.01] were significantly associated with the risk of CVD. High plasma levels of ursodeoxycholic acid (UDCA) (quartile 3 vs. quartile 1); [aHR = 1.68, (CI, 1.26-2.2); = 0.0003, adj. = 0.01] were associated with a higher risk of CVA. Furthermore, as a continuous variable, succinate was associated with a 10% decrease in the risk of CVD [aHR = 0.9; (CI, 0.84-0.97); = 0.008] and a 15% decrease in the risk of MI [aHR = 0.85, (CI, 0.77-0.93); = 0.0007].

CONCLUSION

Gut microbe-derived metabolites, succinate, and ursodeoxycholic acid were associated with CVD, MI, and CVA, respectively. Regulating the gut microbes may represent a potential therapeutic target for modulating CVD and CVA.

摘要

背景

肠道微生物与心血管疾病(CVD)之间的关联已被确立,但其潜在机制仍大多未知。

方法

我们对从基于人群的男性代谢综合征(METSIM)队列研究中获取的横断面数据进行了二次分析,该队列研究包含10194名芬兰男性(年龄 = 57.65 ± 7.12岁)。我们检测了循环中源自肠道微生物的代谢产物水平,以作为CVD、缺血性脑血管意外(CVA)和心肌梗死(MI)的预测指标。采用Kaplan-Meier方法估算从参与者首次门诊就诊到出现不良结局的时间。使用Cox比例风险模型评估代谢产物水平与结局之间的关联。

结果

在中位随访期200个月期间,979名参与者发生了CVD,397名发生了CVA,548名发生了MI。在调整传统风险因素并校正多重比较后,较高的琥珀酸血浆水平[四分位数4与四分位数1相比;调整后风险比,aHR = 1.30,(置信区间(CI),1.10 - 1.53);P = 0.0003,调整后P = 0.01]与CVD风险显著相关。较高的熊去氧胆酸(UDCA)血浆水平(四分位数3与四分位数1相比);[aHR = 1.68,(CI,1.26 - 2.2);P = 0.0003,校正后P = 0.01]与较高的CVA风险相关。此外,作为连续变量,琥珀酸与CVD风险降低10%[aHR = 0.9;(CI,0.84 - 0.97);P = 0.008]和MI风险降低15%[aHR = 0.85,(CI,0.77 - 0.93);P = 0.0007]相关。

结论

源自肠道微生物的代谢产物琥珀酸和熊去氧胆酸分别与CVD、MI和CVA相关。调节肠道微生物可能是调节CVD和CVA的潜在治疗靶点。

https://cdn.ncbi.nlm.nih.gov/pmc/blobs/e4fd/11324590/e6c54dc92a11/fmicb-15-1411328-g0002.jpg
https://cdn.ncbi.nlm.nih.gov/pmc/blobs/e4fd/11324590/ccf1225a13de/fmicb-15-1411328-g0001.jpg
https://cdn.ncbi.nlm.nih.gov/pmc/blobs/e4fd/11324590/e6c54dc92a11/fmicb-15-1411328-g0002.jpg
https://cdn.ncbi.nlm.nih.gov/pmc/blobs/e4fd/11324590/ccf1225a13de/fmicb-15-1411328-g0001.jpg
https://cdn.ncbi.nlm.nih.gov/pmc/blobs/e4fd/11324590/e6c54dc92a11/fmicb-15-1411328-g0002.jpg

相似文献

1
Gut microbe-derived metabolites and the risk of cardiovascular disease in the METSIM cohort.METSIM队列研究中肠道微生物衍生代谢产物与心血管疾病风险
Front Microbiol. 2024 Aug 1;15:1411328. doi: 10.3389/fmicb.2024.1411328. eCollection 2024.
2
Polyvascular Disease and Risk of Major Adverse Cardiovascular Events in Peripheral Artery Disease: A Secondary Analysis of the EUCLID Trial.多血管疾病与外周动脉疾病主要不良心血管事件风险:EUCLID 试验的二次分析。
JAMA Netw Open. 2018 Nov 2;1(7):e185239. doi: 10.1001/jamanetworkopen.2018.5239.
3
Severity of Diabetic Retinopathy and the Risk of Future Cerebrovascular Disease, Cardiovascular Disease, and All-Cause Mortality.糖尿病视网膜病变的严重程度与未来脑血管疾病、心血管疾病和全因死亡率的风险。
Ophthalmology. 2021 Aug;128(8):1169-1179. doi: 10.1016/j.ophtha.2020.12.019. Epub 2020 Dec 25.
4
Incidence of Myocardial Infarction and Cerebrovascular Accident in Patients With Hidradenitis Suppurativa.化脓性汗腺炎患者心肌梗死和脑血管意外的发生率。
JAMA Dermatol. 2020 Jan 1;156(1):65-71. doi: 10.1001/jamadermatol.2019.3412.
5
Cardiovascular and Cerebrovascular Events Are Associated With Nontraumatic Osteonecrosis of the Femoral Head.心血管和脑血管事件与非创伤性股骨头坏死有关。
Clin Orthop Relat Res. 2018 Apr;476(4):865-874. doi: 10.1007/s11999.0000000000000161.
6
Triglyceride levels and risk of cardiovascular disease and all-cause mortality in Chinese adults younger than 40 years old: a prospective cohort study.40岁以下中国成年人的甘油三酯水平与心血管疾病风险及全因死亡率:一项前瞻性队列研究
Cardiovasc Diagn Ther. 2024 Apr 30;14(2):240-250. doi: 10.21037/cdt-23-412. Epub 2024 Mar 29.
7
Plasma Metabolites From Choline Pathway and Risk of Cardiovascular Disease in the PREDIMED (Prevention With Mediterranean Diet) Study.胆碱代谢产物与 PREDIMED(地中海饮食预防)研究中心心血管疾病风险
J Am Heart Assoc. 2017 Oct 28;6(11):e006524. doi: 10.1161/JAHA.117.006524.
8
GDF-15, Galectin 3, Soluble ST2, and Risk of Mortality and Cardiovascular Events in CKD.生长分化因子 15、半乳糖凝集素 3、可溶性 ST2 与慢性肾脏病患者的死亡率和心血管事件风险
Am J Kidney Dis. 2018 Oct;72(4):519-528. doi: 10.1053/j.ajkd.2018.03.025. Epub 2018 Jun 14.
9
Hidradenitis suppurativa and the risk of myocardial infarction, cerebrovascular accident, and peripheral vascular disease: a population-based study.化脓性汗腺炎与心肌梗死、脑血管意外和外周血管疾病风险:一项基于人群的研究。
Arch Dermatol Res. 2023 Apr;315(3):429-435. doi: 10.1007/s00403-022-02369-5. Epub 2022 Jul 23.
10
Relationships and Mendelian Randomization of Gut Microbe-Derived Metabolites with Metabolic Syndrome Traits in the METSIM Cohort.METSIM队列中肠道微生物衍生代谢物与代谢综合征特征的关系及孟德尔随机化研究
Metabolites. 2024 Mar 20;14(3):174. doi: 10.3390/metabo14030174.

本文引用的文献

1
Relationships and Mendelian Randomization of Gut Microbe-Derived Metabolites with Metabolic Syndrome Traits in the METSIM Cohort.METSIM队列中肠道微生物衍生代谢物与代谢综合征特征的关系及孟德尔随机化研究
Metabolites. 2024 Mar 20;14(3):174. doi: 10.3390/metabo14030174.
2
Gut microbiota-mediated ursodeoxycholic acids regulate the inflammation of microglia through TGR5 signaling after MCAO.肠道微生物群介导的熊去氧胆酸通过 MCAO 后 TGR5 信号调节小胶质细胞的炎症。
Brain Behav Immun. 2024 Jan;115:667-679. doi: 10.1016/j.bbi.2023.11.021. Epub 2023 Nov 19.
3
Atlas of gut microbe-derived products from aromatic amino acids and risk of cardiovascular morbidity and mortality.
肠道微生物衍生芳香族氨基酸产物图谱与心血管疾病发病和死亡风险
Eur Heart J. 2023 Aug 22;44(32):3085-3096. doi: 10.1093/eurheartj/ehad333.
4
The Effect of a Planetary Health Diet on the Human Gut Microbiome: A Descriptive Analysis.行星健康饮食对人类肠道微生物组的影响:描述性分析。
Nutrients. 2023 Apr 16;15(8):1924. doi: 10.3390/nu15081924.
5
Two distinct gut microbial pathways contribute to meta-organismal production of phenylacetylglutamine with links to cardiovascular disease.两种不同的肠道微生物途径共同导致苯乙酰谷氨酰胺的代谢产物生成,这与心血管疾病有关。
Cell Host Microbe. 2023 Jan 11;31(1):18-32.e9. doi: 10.1016/j.chom.2022.11.015. Epub 2022 Dec 21.
6
Atherosclerosis: Recent developments.动脉粥样硬化:最新进展。
Cell. 2022 May 12;185(10):1630-1645. doi: 10.1016/j.cell.2022.04.004. Epub 2022 May 2.
7
Genome-wide association studies of metabolites in Finnish men identify disease-relevant loci.全基因组关联研究鉴定芬兰男性代谢物与疾病相关的基因座。
Nat Commun. 2022 Mar 28;13(1):1644. doi: 10.1038/s41467-022-29143-5.
8
Succinate/IL-1β Signaling Axis Promotes the Inflammatory Progression of Endothelial and Exacerbates Atherosclerosis.琥珀酸/IL-1β 信号轴促进内皮炎症进展并加剧动脉粥样硬化。
Front Immunol. 2022 Feb 22;13:817572. doi: 10.3389/fimmu.2022.817572. eCollection 2022.
9
Phenylacetylglutamine, a Novel Biomarker in Acute Ischemic Stroke.苯乙酰谷氨酰胺,急性缺血性卒中的一种新型生物标志物。
Front Cardiovasc Med. 2021 Dec 23;8:798765. doi: 10.3389/fcvm.2021.798765. eCollection 2021.
10
Untargeted metabolomics identifies succinate as a biomarker and therapeutic target in aortic aneurysm and dissection.非靶向代谢组学鉴定琥珀酸为主动脉瘤和夹层的生物标志物和治疗靶点。
Eur Heart J. 2021 Nov 7;42(42):4373-4385. doi: 10.1093/eurheartj/ehab605.