Suppr超能文献

利用准线性缩放粒子网格电荷平衡加速第四代机器学习潜力

Accelerating Fourth-Generation Machine Learning Potentials Using Quasi-Linear Scaling Particle Mesh Charge Equilibration.

作者信息

Gubler Moritz, Finkler Jonas A, Schäfer Moritz R, Behler Jörg, Goedecker Stefan

机构信息

Department of Physics, University of Basel, Klingelbergstrasse 82, CH-4056 Basel, Switzerland.

Lehrstuhl für Theoretische Chemie II, Ruhr-Universität Bochum, 44780 Bochum, Germany.

出版信息

J Chem Theory Comput. 2024 Aug 16;20(16):7264-71. doi: 10.1021/acs.jctc.4c00334.

Abstract

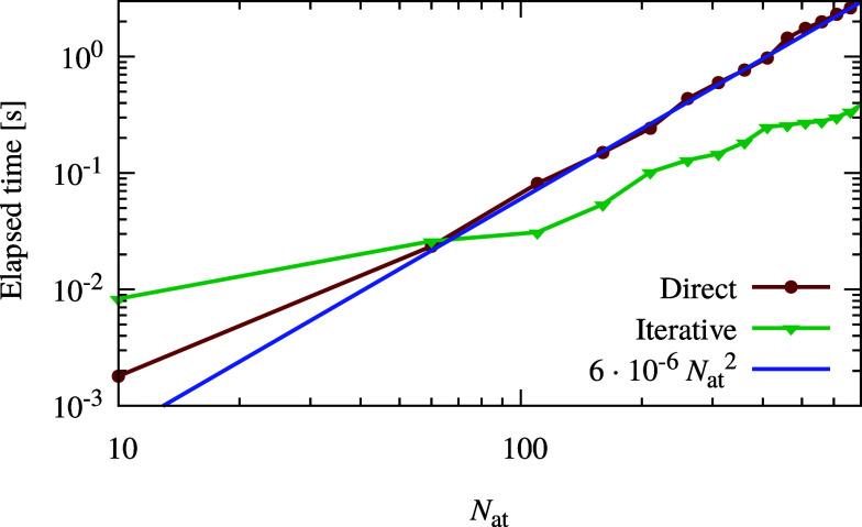
Machine learning potentials (MLPs) have revolutionized the field of atomistic simulations by describing atomic interactions with the accuracy of electronic structure methods at a small fraction of the cost. Most current MLPs construct the energy of a system as a sum of atomic energies, which depend on information about the atomic environments provided in the form of predefined or learnable feature vectors. If, in addition, nonlocal phenomena like long-range charge transfer are important, fourth-generation MLPs need to be used, which include a charge equilibration (Qeq) step to take the global structure of the system into account. This Qeq can significantly increase the computational cost and thus can become a computational bottleneck for large systems. In this Article, we present a highly efficient formulation of Qeq that does not require the explicit computation of the Coulomb matrix elements, resulting in a quasi-linear scaling method. Moreover, our approach also allows for the efficient calculation of energy derivatives, which explicitly consider the global structure-dependence of the atomic charges as obtained from Qeq. Due to its generality, the method is not restricted to MLPs and can also be applied within a variety of other force fields.

摘要

机器学习势(MLP)通过以电子结构方法的精度描述原子相互作用,且成本仅为其一小部分,从而彻底改变了原子模拟领域。当前大多数MLP将系统能量构建为原子能量之和,这些原子能量取决于以预定义或可学习特征向量形式提供的原子环境信息。此外,如果像长程电荷转移这样的非局部现象很重要,则需要使用第四代MLP,其中包括一个电荷平衡(Qeq)步骤以考虑系统的全局结构。这种Qeq会显著增加计算成本,因此可能成为大型系统的计算瓶颈。在本文中,我们提出了一种高效的Qeq公式,该公式不需要明确计算库仑矩阵元素,从而产生了一种准线性缩放方法。此外,我们的方法还允许高效计算能量导数,该能量导数明确考虑了从Qeq获得的原子电荷的全局结构依赖性。由于其通用性,该方法不仅限于MLP,还可应用于各种其他力场。

https://cdn.ncbi.nlm.nih.gov/pmc/blobs/21e4/11360134/7482a56de150/ct4c00334_0001.jpg

文献AI研究员

20分钟写一篇综述,助力文献阅读效率提升50倍。

立即体验

用中文搜PubMed

大模型驱动的PubMed中文搜索引擎

马上搜索

文档翻译

学术文献翻译模型,支持多种主流文档格式。

立即体验