Suppr超能文献

多栖息地景观具有更高的多样性和稳定性,功能也得到了改善。

Multi-habitat landscapes are more diverse and stable with improved function.

机构信息

School of Biological Sciences, University of Bristol, Bristol, UK.

Department of Biology, University of Oxford, Oxford, UK.

出版信息

Nature. 2024 Sep;633(8028):114-119. doi: 10.1038/s41586-024-07825-y. Epub 2024 Aug 21.

Abstract

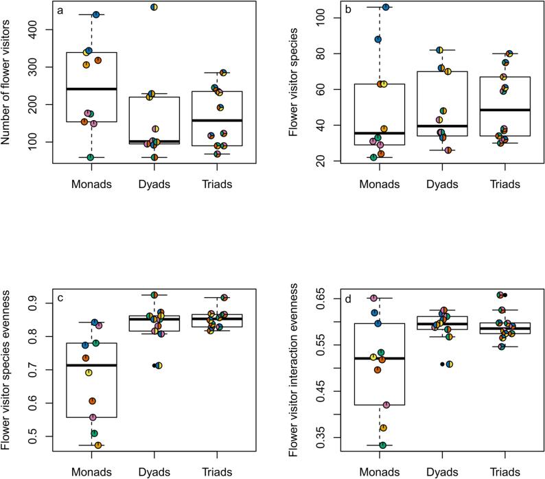
Conservation, restoration and land management are increasingly implemented at landscape scales. However, because species interaction data are typically habitat- and/or guild-specific, exactly how those interactions connect habitats and affect the stability and function of communities at landscape scales remains poorly understood. We combine multi-guild species interaction data (plant-pollinator and three plant-herbivore-parasitoid communities, collected from landscapes with one, two or three habitats), a field experiment and a modelling approach to show that multi-habitat landscapes support higher species and interaction evenness, more complementary species interactions and more consistent robustness to species loss. These emergent network properties drive improved pollination success in landscapes with more habitats and are not explained by simply summing component habitat webs. Linking landscape composition, through community structure, to ecosystem function, highlights mechanisms by which several contiguous habitats can support landscape-scale ecosystem services.

摘要

保护、修复和土地管理越来越多地在景观尺度上实施。然而,由于物种相互作用数据通常是特定于栖息地和/或 guild 的,因此这些相互作用如何连接栖息地以及影响社区在景观尺度上的稳定性和功能仍然知之甚少。我们结合了多 guild 物种相互作用数据(从具有一个、两个或三个栖息地的景观中收集的植物-传粉者和三种植物-草食性-寄生性昆虫群落)、野外实验和建模方法,表明多栖息地景观支持更高的物种和相互作用均匀度、更多的互补物种相互作用和更一致的对物种损失的稳健性。这些新兴的网络特性提高了具有更多栖息地的景观中的传粉成功率,并且不能简单地通过对组成栖息地网络的总和来解释。通过群落结构将景观组成与生态系统功能联系起来,突出了几个连续栖息地如何支持景观尺度的生态系统服务的机制。

https://cdn.ncbi.nlm.nih.gov/pmc/blobs/568e/11374697/75355b0de1bb/41586_2024_7825_Fig1_HTML.jpg

文献检索

告别复杂PubMed语法,用中文像聊天一样搜索,搜遍4000万医学文献。AI智能推荐,让科研检索更轻松。

立即免费搜索

文件翻译

保留排版,准确专业,支持PDF/Word/PPT等文件格式,支持 12+语言互译。

免费翻译文档

深度研究

AI帮你快速写综述,25分钟生成高质量综述,智能提取关键信息,辅助科研写作。

立即免费体验