Suppr超能文献

基于 Lasso-Logistic 回归的预测急性胰腺炎相关性脾肿大列线图的建立与验证。

Development and validation of a nomogram based on Lasso-Logistic regression for predicting splenomegaly secondary to acute pancreatitis.

机构信息

Department of General Surgery, Xuanwu Hospital Capital Medical University, No.45, Changchun Street Xicheng District, Beijing, 100053, China.

Clinical Center for Acute Pancreatitis, Capital Medical University, Beijing, 100053, China.

出版信息

BMC Gastroenterol. 2024 Aug 22;24(1):281. doi: 10.1186/s12876-024-03331-7.

Abstract

PURPOSE

Investigate the clinical characteristics of splenomegaly secondary to acute pancreatitis (SSAP) and construct a nomogram prediction model based on Lasso-Logistic regression.

METHODS

A retrospective case-control study was conducted to analyze the laboratory parameters and computed tomography (CT) imaging of acute pancreatitis (AP) patients recruited at Xuanwu Hospital from December 2014 to December 2021. Lasso regression was used to identify risk factors, and a novel nomogram was developed. The performance of the nomogram in discrimination, calibration, and clinical usefulness was evaluated through internal validation.

RESULTS

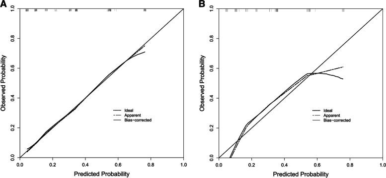
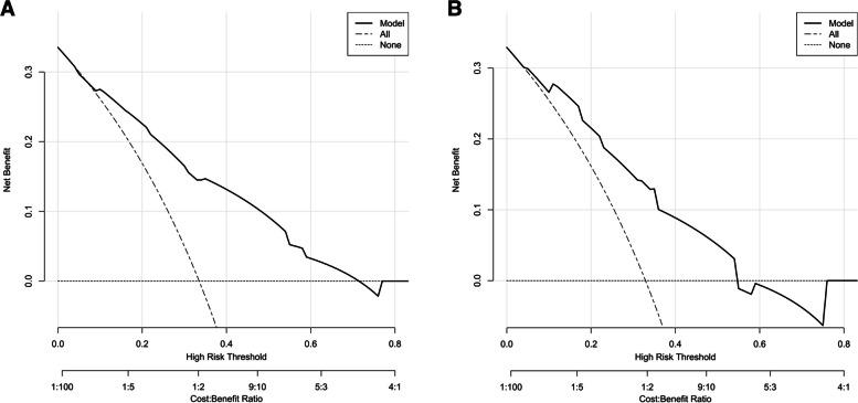
The prevalence of SSAP was 9.2% (88/950), with the first detection occurring 65(30, 125) days after AP onset. Compared with the control group, the SSAP group exhibited a higher frequency of persistent respiratory failure, persistent renal failure, infected pancreatic necrosis, and severe AP, along with an increased need for surgery and longer hospital stay (P < 0.05 for all). There were 185 and 79 patients in the training and internal validation cohorts, respectively. Variables screened by Lasso regression, including platelet count, white blood cell (WBC) count, local complications, and modified CT severity index (mCTSI), were incorporated into the Logistic model. Multivariate analysis showed that WBC count ≦9.71 × 10/L, platelet count ≦140 × 10/L, mCTSI ≧8, and the presence of local complications were independently associated with the occurrence of SSAP. The area under the receiver operating characteristic curve was 0.790. The Hosmer-Lemeshow test showed that the model had good fitness (P = 0.954). Additionally, the nomogram performed well in the internal validation cohorts.

CONCLUSIONS

SSAP is relatively common, and patients with this condition often have a worse clinical prognosis. Patients with low WBC and platelet counts, high mCTSI, and local complications in the early stages of the illness are at a higher risk for SSAP. A simple nomogram tool can be helpful for early prediction of SSAP.

摘要

目的

探讨急性胰腺炎(AP)继发脾肿大(SSAP)的临床特征,并构建基于 Lasso-Logistic 回归的列线图预测模型。

方法

回顾性病例对照研究分析了 2014 年 12 月至 2021 年 12 月在北京宣武医院住院的急性胰腺炎(AP)患者的实验室参数和计算机断层扫描(CT)影像。采用 Lasso 回归筛选风险因素,并建立新的列线图。通过内部验证评估列线图在区分度、校准度和临床实用性方面的性能。

结果

SSAP 的患病率为 9.2%(88/950),首次发现时间为 AP 发病后 65(30,125)天。与对照组相比,SSAP 组持续性呼吸衰竭、持续性肾功能衰竭、感染性胰腺坏死和重症急性胰腺炎的发生率更高,需要手术治疗和住院时间更长(所有 P<0.05)。训练队列和内部验证队列分别有 185 例和 79 例患者。Lasso 回归筛选出的变量,包括血小板计数、白细胞计数、局部并发症和改良 CT 严重指数(mCTSI),被纳入 Logistic 模型。多变量分析显示,白细胞计数≦9.71×10/L、血小板计数≦140×10/L、mCTSI≧8 以及存在局部并发症与 SSAP 的发生独立相关。受试者工作特征曲线下面积为 0.790。Hosmer-Lemeshow 检验表明模型拟合良好(P=0.954)。此外,该列线图在内部验证队列中表现良好。

结论

SSAP 较为常见,且此类患者的临床预后通常较差。疾病早期白细胞和血小板计数低、mCTSI 高以及存在局部并发症的患者发生 SSAP 的风险较高。简单的列线图工具有助于早期预测 SSAP。

https://cdn.ncbi.nlm.nih.gov/pmc/blobs/a8b4/11340059/ce45d8013475/12876_2024_3331_Fig1_HTML.jpg

文献检索

告别复杂PubMed语法,用中文像聊天一样搜索,搜遍4000万医学文献。AI智能推荐,让科研检索更轻松。

立即免费搜索

文件翻译

保留排版,准确专业,支持PDF/Word/PPT等文件格式,支持 12+语言互译。

免费翻译文档

深度研究

AI帮你快速写综述,25分钟生成高质量综述,智能提取关键信息,辅助科研写作。

立即免费体验