• 文献检索
  • 文档翻译
  • 深度研究
  • 学术资讯
  • Suppr Zotero 插件Zotero 插件
  • 邀请有礼
  • 套餐&价格
  • 历史记录
应用&插件
Suppr Zotero 插件Zotero 插件浏览器插件Mac 客户端Windows 客户端微信小程序
定价
高级版会员购买积分包购买API积分包
服务
文献检索文档翻译深度研究API 文档MCP 服务
关于我们
关于 Suppr公司介绍联系我们用户协议隐私条款
关注我们

Suppr 超能文献

核心技术专利:CN118964589B侵权必究
粤ICP备2023148730 号-1Suppr @ 2026

文献检索

告别复杂PubMed语法,用中文像聊天一样搜索,搜遍4000万医学文献。AI智能推荐,让科研检索更轻松。

立即免费搜索

文件翻译

保留排版,准确专业,支持PDF/Word/PPT等文件格式,支持 12+语言互译。

免费翻译文档

深度研究

AI帮你快速写综述,25分钟生成高质量综述,智能提取关键信息,辅助科研写作。

立即免费体验

经验较少的观察者对仔猪去势引起的急性疼痛的评估与经验丰富的观察者不同:一项初步研究。

Less experienced observers assess piglet castration-induced acute pain differently than experienced observers: A pilot study.

机构信息

Laboratory of Applied Artificial Intelligence on Health, Department of Anesthesiology, Botucatu Medical School, São Paulo State University (Unesp), Botucatu, São Paulo, Brazil.

Extension Department, University of Missouri, Columbia, Missouri, United States of America.

出版信息

PLoS One. 2024 Sep 4;19(9):e0309684. doi: 10.1371/journal.pone.0309684. eCollection 2024.

DOI:10.1371/journal.pone.0309684
PMID:39231102
原文链接:https://pmc.ncbi.nlm.nih.gov/articles/PMC11373819/
Abstract

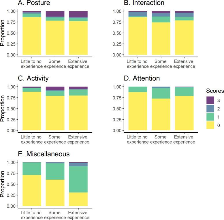
Behavioral pain scales have been helpful for standardized swine pain assessment. However, it is still unknown if observers' experience influences the scale score. We conducted a pilot study to investigate how three different levels of swine experience influenced how observers scored castration pain in piglets using Unesp-Botucatu Pig Composite Acute Pain Scale (UPAPS). We used a database from UPAPS scores from pigs undergoing surgical castration in a previous study. Scores were attributed by six observers with Little to no experience (n = 2), Some experience (n = 2) and Extensive experience (n = 2). Reliability was estimated using the intraclass correlation coefficient, agreement was investigated by Bland-Altman analysis, predictive capacity was estimated using the area under the curve (AUC), and statistical differences were tested using a regression model. We found that intra-experience levels reliability were satisfactory (Little to no: 0.72, Some: 0.81, Extensive: 0.84), but inter-experience reliability was lower (0.42). Little to no experience observers had poor agreement with other observers, with a bias toward underscoring UPAPS (bias of 0.94 vs. Some, 1.17 vs. Extensive). Predictive capacity was similar between all observers (AUC, Little to no: 71.94%, Some: 76.10%, Extensive: 79.09%, p > 0.05). Regression model confirmed underscoring of Little to no experience observers (mean ± standard error; Little to no: 1.09 ± 0.14; Some: 2.02 ± 0.23; Extensive: 2.25 ± 0.22; p < 0.05). We concluded that minimal experience, as Some experience observers have in the swine industry, is sufficient for them to score UPAPS in a similar way than more experienced observers. The present pilot study supports the enhancement and implementation of UPAPS on farm and laboratory settings by minimally qualified observers, improving swine welfare in the short and long term.

摘要

行为疼痛量表有助于对猪的疼痛进行标准化评估。然而,观察者的经验是否会影响评分仍不清楚。我们进行了一项初步研究,旨在使用 Unesp-Botucatu 猪综合急性疼痛量表(UPAPS)调查三种不同水平的猪经验如何影响观察者对仔猪去势疼痛的评分。我们使用了之前一项研究中接受手术去势的猪的 UPAPS 评分数据库。评分由六名观察者进行,分别为经验很少(n=2)、有一些经验(n=2)和经验丰富(n=2)。使用组内相关系数估计可靠性,通过 Bland-Altman 分析研究一致性,使用曲线下面积(AUC)估计预测能力,并使用回归模型测试统计学差异。我们发现,内部经验水平的可靠性令人满意(经验很少:0.72,有一些经验:0.81,经验丰富:0.84),但外部经验的可靠性较低(0.42)。经验很少的观察者与其他观察者的一致性较差,对 UPAPS 的评分偏低(偏差为 0.94 与有一些经验,1.17 与经验丰富)。所有观察者的预测能力相似(AUC,经验很少:71.94%,有一些经验:76.10%,经验丰富:79.09%,p>0.05)。回归模型证实了经验很少的观察者的评分偏低(平均值±标准误差;经验很少:1.09±0.14;有一些经验:2.02±0.23;经验丰富:2.25±0.22;p<0.05)。我们得出结论,最小经验(如猪产业中的一些经验)足以使观察者以与更有经验的观察者相似的方式对 UPAPS 进行评分。本初步研究支持在农场和实验室环境中由合格程度较低的观察者增强和实施 UPAPS,从而在短期和长期内提高猪的福利。

https://cdn.ncbi.nlm.nih.gov/pmc/blobs/4318/11373819/ae74e095e73b/pone.0309684.g005.jpg
https://cdn.ncbi.nlm.nih.gov/pmc/blobs/4318/11373819/21e322994258/pone.0309684.g001.jpg
https://cdn.ncbi.nlm.nih.gov/pmc/blobs/4318/11373819/6609795b8204/pone.0309684.g002.jpg
https://cdn.ncbi.nlm.nih.gov/pmc/blobs/4318/11373819/c080ad4fedea/pone.0309684.g003.jpg
https://cdn.ncbi.nlm.nih.gov/pmc/blobs/4318/11373819/02e60e84bc9b/pone.0309684.g004.jpg
https://cdn.ncbi.nlm.nih.gov/pmc/blobs/4318/11373819/ae74e095e73b/pone.0309684.g005.jpg
https://cdn.ncbi.nlm.nih.gov/pmc/blobs/4318/11373819/21e322994258/pone.0309684.g001.jpg
https://cdn.ncbi.nlm.nih.gov/pmc/blobs/4318/11373819/6609795b8204/pone.0309684.g002.jpg
https://cdn.ncbi.nlm.nih.gov/pmc/blobs/4318/11373819/c080ad4fedea/pone.0309684.g003.jpg
https://cdn.ncbi.nlm.nih.gov/pmc/blobs/4318/11373819/02e60e84bc9b/pone.0309684.g004.jpg
https://cdn.ncbi.nlm.nih.gov/pmc/blobs/4318/11373819/ae74e095e73b/pone.0309684.g005.jpg

相似文献

1
Less experienced observers assess piglet castration-induced acute pain differently than experienced observers: A pilot study.经验较少的观察者对仔猪去势引起的急性疼痛的评估与经验丰富的观察者不同:一项初步研究。
PLoS One. 2024 Sep 4;19(9):e0309684. doi: 10.1371/journal.pone.0309684. eCollection 2024.
2
Validation of the Unesp-Botucatu pig composite acute pain scale (UPAPS) in piglets undergoing castration.验证 Unesp-Botucatu 猪复合急性疼痛量表(UPAPS)在去势仔猪中的应用。
PLoS One. 2023 Apr 13;18(4):e0284218. doi: 10.1371/journal.pone.0284218. eCollection 2023.
3
Effects of assessment method (real-time versus video-recorded) on a validated pain-altered behavior scale used in castrated piglets.评估方法(实时与录像)对阉割仔猪中经验证的疼痛行为改变量表的影响。
Sci Rep. 2023 Oct 31;13(1):18680. doi: 10.1038/s41598-023-45869-8.
4
Validation of the UNESP-Botucatu pig composite acute pain scale (UPAPS).验证 UNESP-Botucatu 猪综合急性疼痛量表(UPAPS)。
PLoS One. 2020 Jun 1;15(6):e0233552. doi: 10.1371/journal.pone.0233552. eCollection 2020.
5
Simplified assessment of castration-induced pain in pigs using lower complexity algorithms.简化使用低复杂度算法评估去势引起的猪疼痛。
Sci Rep. 2023 Dec 1;13(1):21237. doi: 10.1038/s41598-023-48551-1.
6
Efficacy of inguinal buffered lidocaine and intranasal flunixin meglumine on mitigating physiological and behavioral responses to pain in castrated piglets.腹股沟区注射利多卡因并鼻腔给予氟尼辛葡甲胺对减轻去势仔猪疼痛的生理和行为反应的效果。
Front Pain Res (Lausanne). 2023 Jun 6;4:1156873. doi: 10.3389/fpain.2023.1156873. eCollection 2023.
7
Efficacy of transdermal flunixin in mitigating castration pain in piglets.透皮氟尼辛减轻仔猪去势疼痛的效果。
Front Pain Res (Lausanne). 2022 Nov 11;3:1056492. doi: 10.3389/fpain.2022.1056492. eCollection 2022.
8
Validation of the UNESP-Botucatu unidimensional composite pain scale for assessing postoperative pain in cattle.用于评估牛术后疼痛的圣保罗州立大学-博图卡图单维度综合疼痛量表的验证
BMC Vet Res. 2014 Sep 6;10:200. doi: 10.1186/s12917-014-0200-0.
9
Validation of the Italian version of the UNESP-Botucatu unidimensional composite pain scale for the assessment of postoperative pain in cattle.用于评估牛术后疼痛的意大利语版UNESP-博图卡图单维度综合疼痛量表的验证
Vet Anaesth Analg. 2017 Sep;44(5):1253-1261. doi: 10.1016/j.vaa.2016.11.008. Epub 2017 Mar 6.
10
Efficacy of buprenorphine for management of surgical castration pain in piglets.丁丙诺啡用于仔猪手术去势疼痛管理的疗效
BMC Vet Res. 2018 Oct 23;14(1):318. doi: 10.1186/s12917-018-1643-5.

引用本文的文献

1
Advancing outcome measure development and analytical approaches: Pain in Animals Workshop 2023.推进结果测量发展与分析方法:2023年动物疼痛研讨会
Front Pain Res (Lausanne). 2025 Aug 21;6:1615862. doi: 10.3389/fpain.2025.1615862. eCollection 2025.
2
Clinical validation of the Unesp-Botucatu acute pain scale in sheep undergoing orthopedic surgery.Unesp-博图卡图急性疼痛量表在接受骨科手术绵羊中的临床验证
PLoS One. 2025 May 12;20(5):e0323132. doi: 10.1371/journal.pone.0323132. eCollection 2025.

本文引用的文献

1
Pain Scales: What Are They and What Do They Mean.疼痛量表:它们是什么以及它们意味着什么。
Curr Pain Headache Rep. 2024 Jan;28(1):11-25. doi: 10.1007/s11916-023-01195-2. Epub 2023 Dec 7.
2
Simplified assessment of castration-induced pain in pigs using lower complexity algorithms.简化使用低复杂度算法评估去势引起的猪疼痛。
Sci Rep. 2023 Dec 1;13(1):21237. doi: 10.1038/s41598-023-48551-1.
3
Effects of assessment method (real-time versus video-recorded) on a validated pain-altered behavior scale used in castrated piglets.
评估方法(实时与录像)对阉割仔猪中经验证的疼痛行为改变量表的影响。
Sci Rep. 2023 Oct 31;13(1):18680. doi: 10.1038/s41598-023-45869-8.
4
Inter-observer reliability of three feline pain scales used in clinical practice.三种临床常用猫科动物疼痛量表的观察者间信度。
J Feline Med Surg. 2023 Sep;25(9):1098612X231194423. doi: 10.1177/1098612X231194423.
5
Efficacy of inguinal buffered lidocaine and intranasal flunixin meglumine on mitigating physiological and behavioral responses to pain in castrated piglets.腹股沟区注射利多卡因并鼻腔给予氟尼辛葡甲胺对减轻去势仔猪疼痛的生理和行为反应的效果。
Front Pain Res (Lausanne). 2023 Jun 6;4:1156873. doi: 10.3389/fpain.2023.1156873. eCollection 2023.
6
Validation of the Unesp-Botucatu pig composite acute pain scale (UPAPS) in piglets undergoing castration.验证 Unesp-Botucatu 猪复合急性疼痛量表(UPAPS)在去势仔猪中的应用。
PLoS One. 2023 Apr 13;18(4):e0284218. doi: 10.1371/journal.pone.0284218. eCollection 2023.
7
Measurement properties of pain scoring instruments in farm animals: A systematic review using the COSMIN checklist.动物疼痛评分工具的测量特性:使用 COSMIN 清单的系统评价。
PLoS One. 2023 Jan 20;18(1):e0280830. doi: 10.1371/journal.pone.0280830. eCollection 2023.
8
Can cat caregivers reliably assess acute pain in cats using the Feline Grimace Scale? A large bilingual global survey.猫的照顾者能否使用猫面部表情疼痛评估量表可靠地评估猫的急性疼痛?一项大型双语全球调查。
J Feline Med Surg. 2023 Jan;25(1):1098612X221145499. doi: 10.1177/1098612X221145499.
9
Efficacy of transdermal flunixin in mitigating castration pain in piglets.透皮氟尼辛减轻仔猪去势疼痛的效果。
Front Pain Res (Lausanne). 2022 Nov 11;3:1056492. doi: 10.3389/fpain.2022.1056492. eCollection 2022.
10
Is training necessary for efficacious use of the Glasgow Feline Composite Measure Pain Scale?使用格拉斯哥猫科综合疼痛量表进行有效的评估是否需要进行培训?
Can Vet J. 2022 Jun;63(6):609-616.