Suppr超能文献

中性粒细胞与淋巴细胞比值对冠心病和高血压患者全因及心血管死亡率的预测作用:一项回顾性队列研究。

Neutrophil-to-lymphocyte ratio as a predictor of all-cause and cardiovascular mortality in coronary heart disease and hypertensive patients: a retrospective cohort study.

机构信息

Department of Preventive Medicine, Shantou University Medical College, Shantou, China.

Institute of Clinical Electrocardiology, First Affiliated Hospital of Shantou University Medical College, Shantou, China.

出版信息

Front Endocrinol (Lausanne). 2024 Aug 21;15:1442165. doi: 10.3389/fendo.2024.1442165. eCollection 2024.

Abstract

BACKGROUND

To date, no studies have investigated the correlation between the neutrophil-to-lymphocyte ratio (NLR) and the long-term risk of mortality in individuals with both coronary heart disease (CHD) and hypertension. This study aims to evaluate the association between NLR and all-cause and cardiovascular mortality among this patient population.

METHODS

National Death Index (NDI) and National Health and Nutrition Examination Survey (NHANES 2001-2018) were the data sources. A nonlinear association between the NLR and mortality risk was shown by restricted cubic spline (RCS) analysis. Using a weighted Cox proportional hazards model, we quantitatively evaluated the effect of NLR on mortality risk.The capacity of NLR to forecast survival was assessed by evaluating time-dependent receiver operating characteristic (ROC) curves. A mediating influence analysis was conducted to assess the influence of NLR on mortality through eGFR as a mediator.

RESULTS

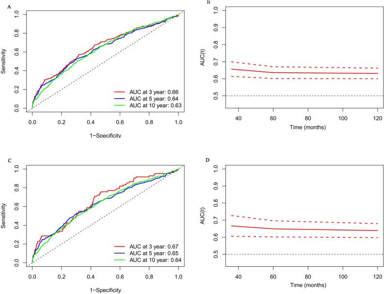
The study involved a total of 2136 individuals. During the median follow-up interval of 76.0 months, 801 deaths were recorded. The RCS analysis showed NLR and mortality risk to have a nonlinear relationship. Two groups were established based on the participants' NLR levels: a group with high NLR (NLR > 2.65) and a group with low NLR (NLR < 2.65). After adjusting for potential confounding factors, the Cox proportional hazards model revealed that participants with an increased NLR faced a significantly higher risk of cardiovascular mortality. (HR 1.58, 95% CI 1.33-1.82, < 0.0001) and all-cause mortality (HR 1.46, 95% CI 1.30-1.62, < 0.0001). An analysis of interactions and data stratification corroborated the validity of our findings. eGFR was identified as a partial mediator in the association between NLR and mortality rates, contributing 12.17% and 9.66% of the variance in all-cause and cardiovascular mortality, respectively. The predictive performance for cardiovascular mortality was quantified using ROC curves, with respective AUC values of 0.67, 0.65, and 0.64 for predictions over 3, 5, and 10 years. The AUC values for all-cause mortality were 0.66, 0.64, and 0.63 for the same time frames.

CONCLUSION

For patients with CHD and hypertension, an elevated NLR serves as an independent prognostic indicator for both all-cause and cardiovascular mortality.

摘要

背景

迄今为止,尚无研究调查中性粒细胞与淋巴细胞比值(NLR)与同时患有冠心病(CHD)和高血压患者的长期死亡风险之间的相关性。本研究旨在评估该患者人群中 NLR 与全因和心血管死亡率之间的关联。

方法

国家死亡指数(NDI)和国家健康和营养检查调查(NHANES 2001-2018)是数据来源。通过限制性立方样条(RCS)分析显示 NLR 与死亡率风险之间存在非线性关联。使用加权 Cox 比例风险模型,我们定量评估了 NLR 对死亡率风险的影响。通过评估时间依赖性接收者操作特征(ROC)曲线来评估 NLR 预测生存率的能力。进行中介影响分析以评估通过 eGFR 作为中介物 NLR 对死亡率的影响。

结果

本研究共纳入 2136 人。在中位随访期 76.0 个月期间,记录了 801 例死亡。RCS 分析表明 NLR 和死亡率风险之间存在非线性关系。根据参与者的 NLR 水平将其分为两组:高 NLR 组(NLR>2.65)和低 NLR 组(NLR<2.65)。在调整潜在混杂因素后,Cox 比例风险模型显示 NLR 升高的参与者患心血管死亡率的风险显著增加。(HR 1.58,95%CI 1.33-1.82,<0.0001)和全因死亡率(HR 1.46,95%CI 1.30-1.62,<0.0001)。交互作用和数据分层分析证实了我们研究结果的有效性。eGFR 被确定为 NLR 与死亡率之间关联的部分中介物,分别占全因和心血管死亡率变异性的 12.17%和 9.66%。使用 ROC 曲线量化了对心血管死亡率的预测性能,3 年、5 年和 10 年预测的 AUC 值分别为 0.67、0.65 和 0.64。对于全因死亡率,同一时间段的 AUC 值分别为 0.66、0.64 和 0.63。

结论

对于患有 CHD 和高血压的患者,升高的 NLR 是全因和心血管死亡率的独立预后指标。

https://cdn.ncbi.nlm.nih.gov/pmc/blobs/2439/11371692/ddd306c00a9a/fendo-15-1442165-g001.jpg

文献检索

告别复杂PubMed语法,用中文像聊天一样搜索,搜遍4000万医学文献。AI智能推荐,让科研检索更轻松。

立即免费搜索

文件翻译

保留排版,准确专业,支持PDF/Word/PPT等文件格式,支持 12+语言互译。

免费翻译文档

深度研究

AI帮你快速写综述,25分钟生成高质量综述,智能提取关键信息,辅助科研写作。

立即免费体验