• 文献检索
  • 文档翻译
  • 深度研究
  • 学术资讯
  • Suppr Zotero 插件Zotero 插件
  • 邀请有礼
  • 套餐&价格
  • 历史记录
应用&插件
Suppr Zotero 插件Zotero 插件浏览器插件Mac 客户端Windows 客户端微信小程序
定价
高级版会员购买积分包购买API积分包
服务
文献检索文档翻译深度研究API 文档MCP 服务
关于我们
关于 Suppr公司介绍联系我们用户协议隐私条款
关注我们

Suppr 超能文献

核心技术专利:CN118964589B侵权必究
粤ICP备2023148730 号-1Suppr @ 2026

文献检索

告别复杂PubMed语法,用中文像聊天一样搜索,搜遍4000万医学文献。AI智能推荐,让科研检索更轻松。

立即免费搜索

文件翻译

保留排版,准确专业,支持PDF/Word/PPT等文件格式,支持 12+语言互译。

免费翻译文档

深度研究

AI帮你快速写综述,25分钟生成高质量综述,智能提取关键信息,辅助科研写作。

立即免费体验

溴氰菊酯暴露会使NFAT信号通路失调并导致肺损伤。

Exposure of Deltamethrin Dysregulates the NFAT Signalling Pathway and Induces Lung Damage.

作者信息

Sharma Prakriti, Sethi R S

机构信息

Guru Angad Dev Veterinary and Animal Sciences University, Ludhiana, India.

出版信息

J Toxicol. 2024 Aug 29;2024:5261994. doi: 10.1155/2024/5261994. eCollection 2024.

DOI:10.1155/2024/5261994
PMID:39239465
原文链接:https://pmc.ncbi.nlm.nih.gov/articles/PMC11377118/
Abstract

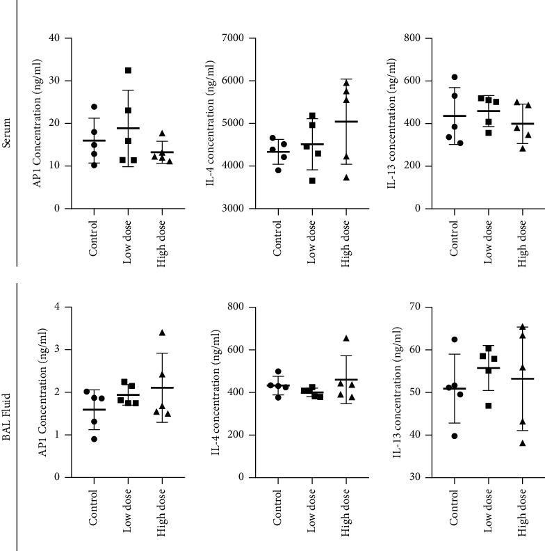
Deltamethrin is an insecticide used to control harmful agricultural insects that otherwise damage crops and to control vector-borne diseases. Long-term exposure to deltamethrin results in the inflammation of the lungs. The present study elucidates the molecular mechanism underlying the deltamethrin-induced lung damage. The lung samples were extracted from the Swiss albino mice following the treatment of low (2.5 mg/kg) and high (5 mg/kg) doses of deltamethrin. The mRNA expression of TCR, IL-4, and IL-13 showed upregulation, while the expression of NFAT and FOS was downregulated following a low dose of deltamethrin. Moreover, the expression of TCR was downregulated with the exposure of a high dose of deltamethrin. Furthermore, the immunohistochemistry data confirmed the pattern of protein expression for TCR, FOS, IL-4, and IL-13 following a low dose of deltamethrin exposure. However, no change was seen in the TCR, NFAT, FOS, JUN, IL-4, and IL-13 immunopositive cells of the high-dose treatment group. Also, ELISA results showed increased expression of IL-13 in the BAL fluid of animals exposed to low doses of deltamethrin. Overall, the present study showed that deltamethrin exposure induces lung damage and immune dysregulation via dysregulating the NFAT signalling pathway.

摘要

溴氰菊酯是一种杀虫剂,用于控制有害农业昆虫(这些昆虫否则会损害农作物)以及控制媒介传播疾病。长期接触溴氰菊酯会导致肺部炎症。本研究阐明了溴氰菊酯诱导肺损伤的分子机制。在给瑞士白化小鼠分别注射低剂量(2.5毫克/千克)和高剂量(5毫克/千克)溴氰菊酯后,提取其肺样本。低剂量溴氰菊酯处理后,TCR、IL-4和IL-13的mRNA表达上调,而NFAT和FOS的表达下调。此外,高剂量溴氰菊酯暴露后,TCR的表达下调。此外,免疫组化数据证实了低剂量溴氰菊酯暴露后TCR、FOS、IL-4和IL-13的蛋白表达模式。然而,高剂量处理组的TCR、NFAT、FOS、JUN、IL-4和IL-13免疫阳性细胞未见变化。而且,ELISA结果显示,低剂量溴氰菊酯暴露动物的支气管肺泡灌洗(BAL)液中IL-13表达增加。总体而言,本研究表明,溴氰菊酯暴露通过失调NFAT信号通路诱导肺损伤和免疫失调。

https://cdn.ncbi.nlm.nih.gov/pmc/blobs/bdc2/11377118/987c82a8978c/JT2024-5261994.006.jpg
https://cdn.ncbi.nlm.nih.gov/pmc/blobs/bdc2/11377118/6f3ddb11baab/JT2024-5261994.001.jpg
https://cdn.ncbi.nlm.nih.gov/pmc/blobs/bdc2/11377118/d449356b5b03/JT2024-5261994.002.jpg
https://cdn.ncbi.nlm.nih.gov/pmc/blobs/bdc2/11377118/107f3cd5efa4/JT2024-5261994.003.jpg
https://cdn.ncbi.nlm.nih.gov/pmc/blobs/bdc2/11377118/8c886d5b4db5/JT2024-5261994.004.jpg
https://cdn.ncbi.nlm.nih.gov/pmc/blobs/bdc2/11377118/5dc915f7b36f/JT2024-5261994.005.jpg
https://cdn.ncbi.nlm.nih.gov/pmc/blobs/bdc2/11377118/987c82a8978c/JT2024-5261994.006.jpg
https://cdn.ncbi.nlm.nih.gov/pmc/blobs/bdc2/11377118/6f3ddb11baab/JT2024-5261994.001.jpg
https://cdn.ncbi.nlm.nih.gov/pmc/blobs/bdc2/11377118/d449356b5b03/JT2024-5261994.002.jpg
https://cdn.ncbi.nlm.nih.gov/pmc/blobs/bdc2/11377118/107f3cd5efa4/JT2024-5261994.003.jpg
https://cdn.ncbi.nlm.nih.gov/pmc/blobs/bdc2/11377118/8c886d5b4db5/JT2024-5261994.004.jpg
https://cdn.ncbi.nlm.nih.gov/pmc/blobs/bdc2/11377118/5dc915f7b36f/JT2024-5261994.005.jpg
https://cdn.ncbi.nlm.nih.gov/pmc/blobs/bdc2/11377118/987c82a8978c/JT2024-5261994.006.jpg

相似文献

1
Exposure of Deltamethrin Dysregulates the NFAT Signalling Pathway and Induces Lung Damage.溴氰菊酯暴露会使NFAT信号通路失调并导致肺损伤。
J Toxicol. 2024 Aug 29;2024:5261994. doi: 10.1155/2024/5261994. eCollection 2024.
2
Oral exposure of deltamethrin and/or lipopolysaccharide (LPS) induced activation of the pulmonary immune system in Swiss albino mice.溴氰菊酯和/或脂多糖(LPS)经口暴露可激活瑞士白化小鼠的肺部免疫系统。
Environ Sci Pollut Res Int. 2018 Jun;25(16):15436-15448. doi: 10.1007/s11356-018-1702-2. Epub 2018 Mar 22.
3
Tumourigenic studies on deltamethrin in Swiss albino mice.溴氰菊酯对瑞士白化小鼠的致瘤性研究。
Toxicology. 2001 May 28;163(1):1-9. doi: 10.1016/s0300-483x(00)00416-9.
4
Gene expression elicited by NFAT in the presence or absence of cooperative recruitment of Fos and Jun.在存在或不存在Fos和Jun协同募集的情况下,由NFAT引发的基因表达。
EMBO J. 2000 Sep 1;19(17):4783-95. doi: 10.1093/emboj/19.17.4783.
5
Prolonged expression of c-Fos and c-Jun in the cerebral cortex of rats after deltamethrin treatment.溴氰菊酯处理后大鼠大脑皮层中c-Fos和c-Jun的长期表达。
Brain Res Mol Brain Res. 2003 Jan 31;110(1):147-51. doi: 10.1016/s0169-328x(02)00655-1.
6
Deltamethrin Increases Candida albicans infection susceptibility in mice.溴氰菊酯增加小鼠白色念珠菌感染的易感性。
Scand J Immunol. 2011 May;73(5):459-64. doi: 10.1111/j.1365-3083.2011.02521.x.
7
Acute toxication of deltamethrin results in activation of iNOS, 8-OHdG and up-regulation of caspase 3, iNOS gene expression in common carp (Cyprinus carpio L.).溴氰菊酯急性中毒导致鲤鱼(Cyprinus carpio L.)体内诱导型一氧化氮合酶(iNOS)激活、8-羟基脱氧鸟苷(8-OHdG)生成以及半胱天冬酶3(caspase 3)上调和iNOS基因表达。
Aquat Toxicol. 2017 Jun;187:90-99. doi: 10.1016/j.aquatox.2017.03.014. Epub 2017 Apr 2.
8
Chronic low-dose deltamethrin exposure induces colon injury and aggravates DSS-induced colitis via promoting cellular senescence.慢性低剂量溴氰菊酯暴露通过促进细胞衰老诱导结肠损伤,并加重 DSS 诱导的结肠炎。
Ecotoxicol Environ Saf. 2024 Apr 1;274:116214. doi: 10.1016/j.ecoenv.2024.116214. Epub 2024 Mar 14.
9
Sublethal chronic effects of oral dietary exposure to deltamethrin in Swiss albino mice.瑞士白化小鼠经口膳食暴露于溴氰菊酯的亚致死慢性效应。
Toxicol Ind Health. 2018 Jun;34(6):423-432. doi: 10.1177/0748233718758913. Epub 2018 Apr 17.
10
Deltamethrin-mediated survival, behavior, and oenocyte morphology of insecticide-susceptible and resistant yellow fever mosquitos (Aedes aegypti).溴氰菊酯对杀虫剂敏感和抗性黄热病蚊子(埃及伊蚊)的存活、行为及oenocyte形态的影响
Acta Trop. 2016 Jun;158:88-96. doi: 10.1016/j.actatropica.2016.02.021. Epub 2016 Mar 2.

本文引用的文献

1
Contribution of Immune Responses to the Cardiotoxicity and Hepatotoxicity of Deltamethrin in Early Life Stage Zebrafish ().免疫反应对德尔塔氯氰菊酯在早期生命阶段斑马鱼心脏毒性和肝毒性的贡献()。
Environ Sci Technol. 2024 Jun 4;58(22):9515-9524. doi: 10.1021/acs.est.3c10682. Epub 2024 Apr 30.
2
Assessment of deltamethrin-induced DNA damage, neurotoxic and neuroimmune effects in the brain tissue of brown trout ().溴氰菊酯对褐鳟脑组织DNA损伤、神经毒性和神经免疫效应的评估
Vet Med (Praha). 2024 Mar 28;69(3):77-83. doi: 10.17221/115/2023-VETMED. eCollection 2024 Mar.
3
Biomarkers of oral subacute toxicity of deltamethrin in exposed male Albino rats.
溴氰菊酯口腔亚急性毒性的生物标志物在暴露雄性白化大鼠中的研究。
Toxicol Ind Health. 2023 Dec;39(12):735-753. doi: 10.1177/07482337231209360. Epub 2023 Oct 25.
4
NFAT signaling dysregulation in cancer: Emerging roles in cancer stem cells.NFAT 信号转导在癌症中的失调:在癌症干细胞中的新作用。
Biomed Pharmacother. 2023 Sep;165:115167. doi: 10.1016/j.biopha.2023.115167. Epub 2023 Jul 14.
5
In vitro study of deltamethrin-induced extracellular traps in hemocytes of Ruditapes philippinarum.溴氰菊酯诱导菲律宾蛤仔血细胞形成细胞外诱捕网的体外研究
Ecotoxicol Environ Saf. 2023 May;256:114909. doi: 10.1016/j.ecoenv.2023.114909. Epub 2023 Apr 14.
6
Association between exposure to pesticides and allergic diseases in children and adolescents: a systematic review with meta-analysis.暴露于农药与儿童和青少年过敏性疾病的关联:系统评价与荟萃分析。
J Pediatr (Rio J). 2022 Nov-Dec;98(6):551-564. doi: 10.1016/j.jped.2021.10.007. Epub 2022 Jan 1.
7
Impairment of apoptosis pathway via Apaf1 downregulation during chlorpyrifos and/or cypermethrin induced lung damage.在毒死蜱和/或氯氰菊酯诱导的肺损伤过程中,通过下调 Apaf1 来损害细胞凋亡途径。
Anim Biotechnol. 2023 Jun;34(3):738-745. doi: 10.1080/10495398.2021.1981918. Epub 2021 Sep 24.
8
Elevated pulmonary levels of Axin2 in mice exposed to herbicide 2,4-D with or without endotoxin.暴露于 2,4-D 除草剂或同时暴露于 2,4-D 除草剂和内毒素的小鼠肺部中 Axin2 水平升高。
J Biochem Mol Toxicol. 2021 Dec;35(12):e22912. doi: 10.1002/jbt.22912. Epub 2021 Aug 30.
9
Toxicological effects of deltamethrin on quail cerebrum: Weakened antioxidant defense and enhanced apoptosis.溴氰菊酯对鹌鹑大脑的毒理学效应:抗氧化防御能力减弱和细胞凋亡增强。
Environ Pollut. 2021 Oct 1;286:117319. doi: 10.1016/j.envpol.2021.117319. Epub 2021 May 6.
10
Pulmonary toxicity associated with occupational and environmental exposure to pesticides and herbicides.与职业和环境暴露于农药和除草剂相关的肺毒性。
Curr Opin Pulm Med. 2021 Jul 1;27(4):278-283. doi: 10.1097/MCP.0000000000000777.