• 文献检索
  • 文档翻译
  • 深度研究
  • 学术资讯
  • Suppr Zotero 插件Zotero 插件
  • 邀请有礼
  • 套餐&价格
  • 历史记录
应用&插件
Suppr Zotero 插件Zotero 插件浏览器插件Mac 客户端Windows 客户端微信小程序
定价
高级版会员购买积分包购买API积分包
服务
文献检索文档翻译深度研究API 文档MCP 服务
关于我们
关于 Suppr公司介绍联系我们用户协议隐私条款
关注我们

Suppr 超能文献

核心技术专利:CN118964589B侵权必究
粤ICP备2023148730 号-1Suppr @ 2026

文献检索

告别复杂PubMed语法,用中文像聊天一样搜索,搜遍4000万医学文献。AI智能推荐,让科研检索更轻松。

立即免费搜索

文件翻译

保留排版,准确专业,支持PDF/Word/PPT等文件格式,支持 12+语言互译。

免费翻译文档

深度研究

AI帮你快速写综述,25分钟生成高质量综述,智能提取关键信息,辅助科研写作。

立即免费体验

韩国成年人残余胆固醇与肌肉减少症的关系:基于全国人口数据的 KNHANES 研究。

Association of remnant cholesterol with sarcopenia in Korean adults: a nationwide population-based study using data from the KNHANES.

机构信息

Division of Endocrinology and Metabolism, Department of Internal Medicine, Korea University College of Medicine, Seoul, Republic of Korea.

Department of Biostatistics, Korea University College of Medicine, Seoul, Republic of Korea.

出版信息

Front Endocrinol (Lausanne). 2024 Aug 23;15:1391733. doi: 10.3389/fendo.2024.1391733. eCollection 2024.

DOI:10.3389/fendo.2024.1391733
PMID:39247920
原文链接:https://pmc.ncbi.nlm.nih.gov/articles/PMC11377290/
Abstract

BACKGROUND

Mounting evidence indicates the importance of the interplay between skeletal muscles and lipid metabolism. Remnant cholesterol (remnant-C) is considered one of the principal residual risk factors for cardiovascular disease and metabolic disorders; however, there are limited studies on the impact of remnant-C on sarcopenia.

METHODS

Data from the Korea National Health and Nutrition Examination Surveys (KNHANES) between 2008 and 2011 were used in this nationwide population-based study. In total, 17,408 participants were enrolled in this study. The subjects were categorized into four groups according to the quartile of remnant-C values. We conducted multivariable logistic regression analysis to evaluate the association between remnant-C and muscle mass measured using dual-energy X-ray absorptiometry.

RESULTS

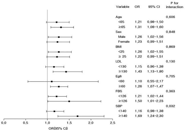
A total of 1,791 participants (10.3%) presented low muscle mass, and there was a sequential increase in the percentage of low muscle mass across remnant-C quartiles (Q1, 5.2%; Q2, 8.7%; Q3, 11.5%; Q4, 15.7%). In the full adjusted model, those in the highest remnant-C quartile group showed significantly increased odds ratio (OR) for low muscle mass compared with those in the lowest remnant-C group after adjusting for various confounding factors (OR = 1.33, 95% confidence interval (CI) = 1.06-1.68, 0.05). A wide range of subgroups and sensitivity analyses showed consistent results, supporting the robustness of our findings.

CONCLUSIONS

Increased remnant-C value was associated with a high risk of low muscle mass in the Korean population. Remnant-C may be a novel marker for the prediction and management of sarcopenia in aging societies.

摘要

背景

越来越多的证据表明,骨骼肌肉和脂代谢之间的相互作用非常重要。残余胆固醇(remnant-C)被认为是心血管疾病和代谢紊乱的主要残余风险因素之一;然而,关于残余-C 对肌肉减少症影响的研究有限。

方法

本研究使用了 2008 年至 2011 年韩国国家健康和营养检查调查(KNHANES)的数据。共有 17408 名参与者纳入本项全国性基于人群的研究。根据残余-C 值的四分位数,将受试者分为四组。我们进行了多变量逻辑回归分析,以评估残余-C 与使用双能 X 射线吸收法测量的肌肉量之间的关系。

结果

共有 1791 名参与者(10.3%)存在低肌肉量,随着残余-C 四分位的升高,低肌肉量的百分比呈递增趋势(Q1,5.2%;Q2,8.7%;Q3,11.5%;Q4,15.7%)。在全调整模型中,与残余-C 最低组相比,残余-C 最高四分位组的低肌肉量的比值比(OR)显著增加(OR=1.33,95%置信区间(CI)=1.06-1.68,0.05)。广泛的亚组和敏感性分析均得出了一致的结果,支持了我们研究结果的稳健性。

结论

残余-C 值升高与韩国人群低肌肉量的高风险相关。残余-C 可能是预测和管理老龄化社会肌肉减少症的新标志物。

https://cdn.ncbi.nlm.nih.gov/pmc/blobs/803d/11377290/56e7202f64a7/fendo-15-1391733-g003.jpg
https://cdn.ncbi.nlm.nih.gov/pmc/blobs/803d/11377290/f9a39b2e3a2b/fendo-15-1391733-g001.jpg
https://cdn.ncbi.nlm.nih.gov/pmc/blobs/803d/11377290/078b99464a54/fendo-15-1391733-g002.jpg
https://cdn.ncbi.nlm.nih.gov/pmc/blobs/803d/11377290/56e7202f64a7/fendo-15-1391733-g003.jpg
https://cdn.ncbi.nlm.nih.gov/pmc/blobs/803d/11377290/f9a39b2e3a2b/fendo-15-1391733-g001.jpg
https://cdn.ncbi.nlm.nih.gov/pmc/blobs/803d/11377290/078b99464a54/fendo-15-1391733-g002.jpg
https://cdn.ncbi.nlm.nih.gov/pmc/blobs/803d/11377290/56e7202f64a7/fendo-15-1391733-g003.jpg

相似文献

1
Association of remnant cholesterol with sarcopenia in Korean adults: a nationwide population-based study using data from the KNHANES.韩国成年人残余胆固醇与肌肉减少症的关系:基于全国人口数据的 KNHANES 研究。
Front Endocrinol (Lausanne). 2024 Aug 23;15:1391733. doi: 10.3389/fendo.2024.1391733. eCollection 2024.
2
Sarcopenia Is an Independent Risk Factor for NAFLD in COPD: A Nationwide Survey (KNHANES 2008-2011).肌肉减少症是 COPD 患者非酒精性脂肪性肝病的独立危险因素:一项全国性调查(KNHANES 2008-2011)。
Int J Chron Obstruct Pulmon Dis. 2020 May 7;15:1005-1014. doi: 10.2147/COPD.S249534. eCollection 2020.
3
Association of the triglyceride and glucose index with low muscle mass: KNHANES 2008-2011.三酰甘油与葡萄糖指数与低肌肉量的相关性:2008-2011 年韩国国民健康营养调查。
Sci Rep. 2021 Jan 11;11(1):450. doi: 10.1038/s41598-020-80305-1.
4
Relationship between muscle mass index and LDL cholesterol target levels: Analysis of two studies of the Korean population.肌肉质量指数与 LDL 胆固醇目标水平的关系:对韩国人群两项研究的分析。
Atherosclerosis. 2021 May;325:1-7. doi: 10.1016/j.atherosclerosis.2021.01.016. Epub 2021 Jan 31.
5
Association between serum triglyceride to high-density lipoprotein cholesterol ratio and sarcopenia in elderly Korean males: The Korean National Health and Nutrition Examination Survey.韩国老年男性血清甘油三酯与高密度脂蛋白胆固醇比值与肌肉减少症的关联:韩国国家健康与营养检查调查
Clin Chim Acta. 2016 Dec 1;463:165-168. doi: 10.1016/j.cca.2016.10.032. Epub 2016 Oct 29.
6
Sarcopenia is associated with albuminuria independently of hypertension and diabetes: KNHANES 2008-2011.肌肉减少症与白蛋白尿有关,与高血压和糖尿病无关:2008-2011 年韩国国家健康营养调查。
Metabolism. 2016 Oct;65(10):1531-40. doi: 10.1016/j.metabol.2016.07.003. Epub 2016 Jul 8.
7
Association of Sarcopenia with Metabolic Syndrome in Korean Population Using 2009-2010 Korea National Health and Nutrition Examination Survey.利用 2009-2010 年韩国国家健康和营养调查研究韩国人群中肌少症与代谢综合征的相关性。
Metab Syndr Relat Disord. 2019 Dec;17(10):494-499. doi: 10.1089/met.2019.0059. Epub 2019 Oct 21.
8
Association between leukocyte count and sarcopenia in postmenopausal women: The Korean National Health and Nutrition Examination Survey.绝经后女性白细胞计数与肌肉减少症之间的关联:韩国国家健康与营养检查调查
Maturitas. 2016 Feb;84:89-93. doi: 10.1016/j.maturitas.2015.11.011. Epub 2015 Nov 25.
9
Low pulmonary function is related with a high risk of sarcopenia in community-dwelling older adults: the Korea National Health and Nutrition Examination Survey (KNHANES) 2008-2011.肺功能低下与社区居住老年人肌少症的高风险相关:韩国国家健康与营养检查调查(KNHANES)2008 - 2011年
Osteoporos Int. 2015 Oct;26(10):2423-9. doi: 10.1007/s00198-015-3152-8. Epub 2015 May 9.
10
Relationship between Stage of Chronic Kidney Disease and Sarcopenia in Korean Aged 40 Years and Older Using the Korea National Health and Nutrition Examination Surveys (KNHANES IV-2, 3, and V-1, 2), 2008-2011.利用2008 - 2011年韩国国家健康与营养检查调查(KNHANES IV - 2、3以及V - 1、2)研究40岁及以上韩国人群中慢性肾脏病分期与肌肉减少症之间的关系
PLoS One. 2015 Jun 17;10(6):e0130740. doi: 10.1371/journal.pone.0130740. eCollection 2015.

引用本文的文献

1
Impact of Adipose Tissue and Lipids on Skeletal Muscle in Sarcopenia.脂肪组织和脂质对肌肉减少症中骨骼肌的影响。
J Cachexia Sarcopenia Muscle. 2025;16(4):e70000. doi: 10.1002/jcsm.70000.
2
Cholesterol's hidden impact: the nonlinear link between remnant cholesterol (RC) and phenotypic age acceleration (PhenoAgeAccel).胆固醇的潜在影响:残余胆固醇(RC)与表型年龄加速(PhenoAgeAccel)之间的非线性联系。
Biogerontology. 2025 Jun 27;26(4):133. doi: 10.1007/s10522-025-10266-3.
3
Remnant cholesterol in obesity phenotypes: results from NHANES.

本文引用的文献

1
Dyslipidemia is associated with sarcopenia of the elderly: a meta-analysis.血脂异常与老年人肌少症相关:一项荟萃分析。
BMC Geriatr. 2024 Feb 23;24(1):181. doi: 10.1186/s12877-024-04761-4.
2
Remnant cholesterol and low-grade inflammation jointly in atherosclerotic cardiovascular disease: implications for clinical trials.残留胆固醇与低度炎症共同作用于动脉粥样硬化性心血管疾病:对临床试验的启示。
Curr Opin Clin Nutr Metab Care. 2024 Mar 1;27(2):125-135. doi: 10.1097/MCO.0000000000000999. Epub 2023 Nov 21.
3
Higher systemic immune-inflammation index is associated with sarcopenia in individuals aged 18-59 years: a population-based study.
肥胖表型中的残余胆固醇:来自美国国家健康与营养检查调查(NHANES)的结果。
Lipids Health Dis. 2025 Apr 9;24(1):134. doi: 10.1186/s12944-025-02550-5.
4
Association between lipid ratios and sarcopenia and the mediating roles of inflammatory biomarkers in a cross-sectional study from NHANES 2011-2018.2011 - 2018年美国国家健康与营养检查调查横断面研究中脂质比率与肌肉减少症之间的关联以及炎症生物标志物的中介作用
Sci Rep. 2025 Feb 24;15(1):6617. doi: 10.1038/s41598-025-90131-y.
5
Relationship of monocyte to high-density lipoprotein ratio (MHR) and other inflammatory biomarkers with sarcopenia: a population-based study.单核细胞与高密度脂蛋白比值(MHR)及其他炎症生物标志物与肌肉减少症的关系:一项基于人群的研究。
Lipids Health Dis. 2025 Feb 8;24(1):42. doi: 10.1186/s12944-025-02464-2.
较高的系统性免疫炎症指数与 18-59 岁人群的肌肉减少症有关:一项基于人群的研究。
Sci Rep. 2023 Dec 13;13(1):22156. doi: 10.1038/s41598-023-49658-1.
4
Oxidative Stress, Atherogenic Dyslipidemia, and Cardiovascular Risk.氧化应激、致动脉粥样硬化性血脂异常与心血管风险。
Biomedicines. 2023 Oct 26;11(11):2897. doi: 10.3390/biomedicines11112897.
5
Remnant cholesterol has a non-linear association with non-alcoholic fatty liver disease.残余胆固醇与非酒精性脂肪性肝病呈非线性关联。
Diabetes Res Clin Pract. 2023 Jul;201:110733. doi: 10.1016/j.diabres.2023.110733. Epub 2023 May 26.
6
Remnant cholesterol can identify individuals at higher risk of metabolic syndrome in the general population.残胆固醇可识别一般人群中代谢综合征风险较高的个体。
Sci Rep. 2023 Apr 12;13(1):5957. doi: 10.1038/s41598-023-33276-y.
7
Triglyceride-rich lipoproteins, remnant-cholesterol, and atherosclerotic cardiovascular disease.富含甘油三酯的脂蛋白、残余胆固醇与动脉粥样硬化性心血管疾病
Curr Opin Lipidol. 2023 Jun 1;34(3):105-113. doi: 10.1097/MOL.0000000000000875. Epub 2023 Mar 14.
8
Remnant cholesterol, low-density lipoprotein cholesterol, and incident cardiovascular disease among Koreans: a national population-based study.残胆固醇、低密度脂蛋白胆固醇与韩国人群心血管疾病发病风险:一项全国性基于人群的研究。
Eur J Prev Cardiol. 2023 Aug 21;30(11):1142-1150. doi: 10.1093/eurjpc/zwad036.
9
Can remnant cholesterol (triglyceride-rich lipoproteins) reclassify estimated risk of atherosclerotic cardiovascular disease?残余胆固醇(富含甘油三酯的脂蛋白)能否重新分类动脉粥样硬化性心血管疾病的估计风险?
Curr Opin Endocrinol Diabetes Obes. 2023 Apr 1;30(2):128-135. doi: 10.1097/MED.0000000000000799. Epub 2023 Feb 1.
10
Insights into Pathogenesis, Nutritional and Drug Approach in Sarcopenia: A Systematic Review.肌肉减少症的发病机制、营养及药物治疗方法的见解:一项系统综述
Biomedicines. 2023 Jan 5;11(1):136. doi: 10.3390/biomedicines11010136.