Suppr超能文献

生长在银纳米线网/氧化锌复合种子层上的一维氧化锌纳米棒阵列用于氢气传感和紫外线检测应用。

One-Dimensional ZnO Nanorod Array Grown on Ag Nanowire Mesh/ZnO Composite Seed Layer for H Gas Sensing and UV Detection Applications.

作者信息

Wang Fang-Hsing, Li An-Jhe, Liu Han-Wen, Kang Tsung-Kuei

机构信息

Graduate Institute of Optoelectronic Engineering, National Chung Hsing University, Taichung 402202, Taiwan.

Department of Electrical Engineering, National Chung Hsing University, Taichung 402202, Taiwan.

出版信息

Sensors (Basel). 2024 Sep 9;24(17):5852. doi: 10.3390/s24175852.

Abstract

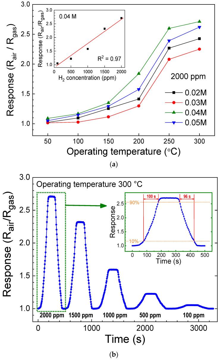
Photodetectors and gas sensors are vital in modern technology, spanning from environmental monitoring to biomedical diagnostics. This paper explores the UV detection and gas sensing properties of a zinc oxide (ZnO) nanorod array (ZNA) grown on silver nanowire mesh (AgNM) using a hydrothermal method. We examined the impact of different zinc acetate precursor concentrations on their properties. Results show the AgNM forms a network with high transparency (79%) and low sheet resistance (7.23 Ω/□). A sol-gel ZnO thin film was coated on this mesh, providing a seed layer with a hexagonal wurtzite structure. Increasing the precursor concentration alters the diameter, length, and area density of ZNAs, affecting their performance. The ZNA-AgNM-based photodetector shows enhanced dark current and photocurrent with increasing precursor concentration, achieving a maximum photoresponsivity of 114 A/W at 374 nm and a detectivity of 6.37 × 10 Jones at 0.05 M zinc acetate. For gas sensing, the resistance of ZNA-AgNM-based sensors decreases with temperature, with the best hydrogen response (2.71) at 300 °C and 0.04 M precursor concentration. These findings highlight the potential of ZNA-AgNM for high-performance UV photodetectors and hydrogen gas sensors, offering an alternative way for the development of future sensing devices with enhanced performance and functionality.

摘要

光电探测器和气体传感器在现代技术中至关重要,涵盖从环境监测到生物医学诊断等领域。本文探讨了采用水热法在银纳米线网格(AgNM)上生长的氧化锌(ZnO)纳米棒阵列(ZNA)的紫外探测和气体传感特性。我们研究了不同醋酸锌前驱体浓度对其性能的影响。结果表明,AgNM形成了具有高透明度(79%)和低方块电阻(7.23Ω/□)的网络。在该网格上涂覆了溶胶 - 凝胶ZnO薄膜,提供了具有六方纤锌矿结构的种子层。增加前驱体浓度会改变ZNA的直径、长度和面积密度,从而影响其性能。基于ZNA - AgNM的光电探测器随着前驱体浓度的增加,暗电流和光电流增强,在374nm处实现了114A/W的最大光响应度,在0.05M醋酸锌浓度下探测率达到6.37×10琼斯。对于气体传感,基于ZNA - AgNM的传感器电阻随温度降低,在300°C和0.04M前驱体浓度下对氢气的响应最佳(2.71)。这些发现突出了ZNA - AgNM在高性能紫外光电探测器和氢气传感器方面的潜力,为未来开发具有更高性能和功能的传感设备提供了一种替代方法。

https://cdn.ncbi.nlm.nih.gov/pmc/blobs/128f/11398212/ccb931fe837d/sensors-24-05852-g001.jpg

文献AI研究员

20分钟写一篇综述,助力文献阅读效率提升50倍。

立即体验

用中文搜PubMed

大模型驱动的PubMed中文搜索引擎

马上搜索

文档翻译

学术文献翻译模型,支持多种主流文档格式。

立即体验