Suppr超能文献

建立正中开胸术后胸骨伤口感染的可计算风险预测模型:一项回顾性研究。

Developing a calculable risk prediction model for sternal wound infection after median sternotomy: a retrospective study.

作者信息

Chen Yang, He Fei, Wu Fan, Hu Xiaolong, Zhang Wanfu, Li Shaohui, Zhang Hao, Duan Weixun, Guan Hao

机构信息

Department of Burns and Cutaneous Surgery, Xijing Hospital of Air Force Medical University, Xi'an, 710032, Shaanxi, People's Republic of China.

School of Public Management, Northwest University, Xi'an, 710127, Shaanxi, People's Republic of China.

出版信息

Burns Trauma. 2024 Sep 13;12:tkae031. doi: 10.1093/burnst/tkae031. eCollection 2024.

Abstract

BACKGROUND

Diagnosing sternal wound infection (SWI) following median sternotomy remains laborious and troublesome, resulting in high mortality rates and great harm to patients. Early intervention and prevention are critical and challenging. This study aimed to develop a simple risk prediction model to identify high-risk populations of SWI and to guide examination programs and intervention strategies.

METHODS

A retrospective analysis was conducted on the clinical data obtained from 6715 patients who underwent median sternotomy between January 2016 and December 2020. The least absolute shrink and selection operator (LASSO) regression method selected the optimal subset of predictors, and multivariate logistic regression helped screen the significant factors. The nomogram model was built based on all significant factors. Area under the curve (AUC), calibration curve and decision curve analysis (DCA) were used to assess the model's performance.

RESULTS

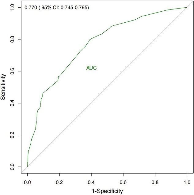
LASSO regression analysis selected an optimal subset containing nine predictors that were all statistically significant in multivariate logistic regression analysis. Independent risk factors of SWI included female [odds ratio (OR) = 3.405, 95% confidence interval (CI) = 2.535-4.573], chronic obstructive pulmonary disease (OR = 4.679, 95% CI = 2.916-7.508), drinking (OR = 2.025, 95% CI = 1.437-2.855), smoking (OR = 7.059, 95% CI = 5.034-9.898), re-operation (OR = 3.235, 95% CI = 1.087-9.623), heart failure (OR = 1.555, 95% CI = 1.200-2.016) and repeated endotracheal intubation (OR = 1.975, 95% CI = 1.405-2.774). Protective factors included bone wax (OR = 0.674, 95% CI = 0.538-0.843) and chest physiotherapy (OR = 0.446, 95% CI = 0.248-0.802). The AUC of the nomogram was 0.770 (95% CI = 0.745-0.795) with relatively good sensitivity (0.798) and accuracy (0.620), exhibiting moderately good discernment. The model also showed an excellent fitting degree on the calibration curve. Finally, the DCA presented a remarkable net benefit.

CONCLUSIONS

A visual and convenient nomogram-based risk calculator built on disease-associated predictors might help clinicians with the early identification of high-risk patients of SWI and timely intervention.

摘要

背景

正中开胸术后诊断胸骨伤口感染(SWI)仍然费力且麻烦,导致高死亡率并对患者造成极大伤害。早期干预和预防至关重要且具有挑战性。本研究旨在开发一种简单的风险预测模型,以识别SWI的高危人群,并指导检查方案和干预策略。

方法

对2016年1月至2020年12月期间接受正中开胸手术的6715例患者的临床资料进行回顾性分析。最小绝对收缩和选择算子(LASSO)回归方法选择预测因子的最佳子集,多变量逻辑回归有助于筛选显著因素。基于所有显著因素构建列线图模型。采用曲线下面积(AUC)、校准曲线和决策曲线分析(DCA)评估模型性能。

结果

LASSO回归分析选择了一个包含9个预测因子的最佳子集,这些预测因子在多变量逻辑回归分析中均具有统计学意义。SWI的独立危险因素包括女性[比值比(OR)=3.405,95%置信区间(CI)=2.535 - 4.573]、慢性阻塞性肺疾病(OR = 4.679,95% CI = 2.916 - 7.508)、饮酒(OR = 2.025,95% CI = 1.437 - 2.855)、吸烟(OR = 7.059,95% CI = 5.034 - 9.898)、再次手术(OR = 3.235,95% CI = 1.087 - 9.623)、心力衰竭(OR = 1.555,95% CI = 该文档中此处CI区间有误,应为1.200 - 2.016)和反复气管插管(OR = 1.975,95% CI = 1.405 - 2.774)。保护因素包括骨蜡(OR = 0.674,95% CI = 0.538 - 0.843)和胸部物理治疗(OR = 0.446,95% CI = 0.248 - 0.802)。列线图的AUC为0.770(95% CI = 0.745 - 0.795),具有相对较好的敏感性(0.798)和准确性(0.620),显示出中等良好的辨别力。该模型在校准曲线上也显示出良好的拟合度。最后,DCA显示出显著的净效益。

结论

基于疾病相关预测因子构建的直观便捷的列线图风险计算器可能有助于临床医生早期识别SWI高危患者并及时进行干预。

https://cdn.ncbi.nlm.nih.gov/pmc/blobs/675e/11401447/a664ae60d2d4/tkae031f1.jpg

文献检索

告别复杂PubMed语法,用中文像聊天一样搜索,搜遍4000万医学文献。AI智能推荐,让科研检索更轻松。

立即免费搜索

文件翻译

保留排版,准确专业,支持PDF/Word/PPT等文件格式,支持 12+语言互译。

免费翻译文档

深度研究

AI帮你快速写综述,25分钟生成高质量综述,智能提取关键信息,辅助科研写作。

立即免费体验