• 文献检索
  • 文档翻译
  • 深度研究
  • 学术资讯
  • Suppr Zotero 插件Zotero 插件
  • 邀请有礼
  • 套餐&价格
  • 历史记录
应用&插件
Suppr Zotero 插件Zotero 插件浏览器插件Mac 客户端Windows 客户端微信小程序
定价
高级版会员购买积分包购买API积分包
服务
文献检索文档翻译深度研究API 文档MCP 服务
关于我们
关于 Suppr公司介绍联系我们用户协议隐私条款
关注我们

Suppr 超能文献

核心技术专利:CN118964589B侵权必究
粤ICP备2023148730 号-1Suppr @ 2026

文献检索

告别复杂PubMed语法,用中文像聊天一样搜索,搜遍4000万医学文献。AI智能推荐,让科研检索更轻松。

立即免费搜索

文件翻译

保留排版,准确专业,支持PDF/Word/PPT等文件格式,支持 12+语言互译。

免费翻译文档

深度研究

AI帮你快速写综述,25分钟生成高质量综述,智能提取关键信息,辅助科研写作。

立即免费体验

时间揭示的真相和 D2T-RA 的大理石般定义:对难治性 RA 患者中难治状态持续存在的回顾性分析。

Truth unveiled by time and the marbled definition of D2T-RA: retrospective analysis on the persistence of the difficult-to-treat status among refractory RA patients.

机构信息

Department of Rheumatology and Medical Sciences, ASST Gaetano Pini-CTO, Milan, Italy.

Department of Clinical Sciences and Community Health, University of Milan, Milan, Italy.

出版信息

Arthritis Res Ther. 2024 Sep 17;26(1):161. doi: 10.1186/s13075-024-03390-x.

DOI:10.1186/s13075-024-03390-x
PMID:39289770
原文链接:https://pmc.ncbi.nlm.nih.gov/articles/PMC11406730/
Abstract

BACKGROUND

The current EULAR definition of difficult-to-treat rheumatoid arthritis (D2T-RA) identifies patients with active disease refractory to multiple treatments at a single time point, without considering the persistence of this condition over time. The study aimed to assess difficult-to-treat rheumatoid arthritis (D2T-RA) over 12 months, considering persistence over time rather than a single time point, in a real-life cohort.

METHODS

In a single-center real-life cohort, demographic and clinic data were cross-sectionally collected for each patient at baseline and retrospectively over the previous 12 months bimonthly. For each timepoint, the prevalence of D2T-RA patients was calculated, and patients meeting the EULAR definition for at least 6 months were defined as persistent D2T-RA (pD2T-RA). Finally, the clinical characteristics associated with the time-based definition of pD2T-RA were analyzed.

RESULTS

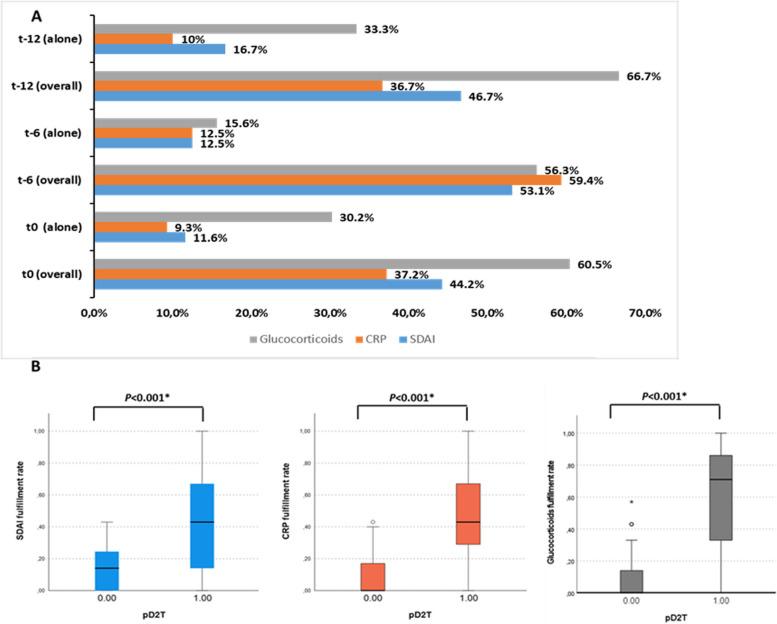
Among 610 adult RA patients, 104 were refractory to ≥ 2 treatments. Initially, 41.3% met D2T-RA criteria, but only 27.9% fulfilled persistent D2T-RA (pD2T-RA) criteria over 6 months. The pD2T-RA group was associated with male gender, higher HAQ and Charlson Comorbidity Index scores, more failed treatments, and use of non-NSAID analgesics. Logistic regression linked pD2T-RA to higher SDAI and CRP values, and the use of glucocorticoids or analgesics. Chronic use of glucocorticoids was strongly associated with pD2T-RA.

CONCLUSIONS

The application of a temporal criterion allowed for the selection of a subgroup of pD2T-RA patients who differ from those who meet the definition of D2T-RA only episodically. Chronic use of glucocorticoids was the factor most strongly associated with pD2T-RA status.

摘要

背景

目前 EULAR 对难治性类风湿关节炎(D2T-RA)的定义是指在单一时间点对多种治疗方法均无反应的活动期疾病患者,但并未考虑到随着时间的推移疾病的持续存在。本研究旨在评估在真实队列中,通过考虑随着时间的推移而不是单一时间点,D2T-RA 持续 12 个月的情况。

方法

在单中心真实队列中,在基线时和之前的 12 个月内每两个月通过回顾性收集每位患者的人口统计学和临床数据。对于每个时间点,计算 D2T-RA 患者的患病率,并将符合 EULAR 定义至少 6 个月的患者定义为持续性 D2T-RA(pD2T-RA)。最后,分析与基于时间的 pD2T-RA 定义相关的临床特征。

结果

在 610 例成人 RA 患者中,有 104 例患者对≥2 种治疗方法均无反应。最初,41.3%的患者符合 D2T-RA 标准,但仅 27.9%的患者在 6 个月内符合持续性 D2T-RA(pD2T-RA)标准。pD2T-RA 组与男性、更高的 HAQ 和 Charlson 合并症指数评分、更多治疗失败和使用非 NSAID 类镇痛药相关。Logistic 回归将 pD2T-RA 与更高的 SDAI 和 CRP 值以及使用糖皮质激素或镇痛药相关联。糖皮质激素的慢性使用与 pD2T-RA 密切相关。

结论

应用时间标准可以选择一组持续性 D2T-RA 患者,他们与仅间歇性符合 D2T-RA 定义的患者不同。糖皮质激素的慢性使用是与 pD2T-RA 状态最密切相关的因素。

https://cdn.ncbi.nlm.nih.gov/pmc/blobs/e37a/11406730/f3cdd23eb4fa/13075_2024_3390_Fig4_HTML.jpg
https://cdn.ncbi.nlm.nih.gov/pmc/blobs/e37a/11406730/341db8647c05/13075_2024_3390_Fig1_HTML.jpg
https://cdn.ncbi.nlm.nih.gov/pmc/blobs/e37a/11406730/328e22f3d6b2/13075_2024_3390_Fig2_HTML.jpg
https://cdn.ncbi.nlm.nih.gov/pmc/blobs/e37a/11406730/76a4f440b30f/13075_2024_3390_Fig3_HTML.jpg
https://cdn.ncbi.nlm.nih.gov/pmc/blobs/e37a/11406730/f3cdd23eb4fa/13075_2024_3390_Fig4_HTML.jpg
https://cdn.ncbi.nlm.nih.gov/pmc/blobs/e37a/11406730/341db8647c05/13075_2024_3390_Fig1_HTML.jpg
https://cdn.ncbi.nlm.nih.gov/pmc/blobs/e37a/11406730/328e22f3d6b2/13075_2024_3390_Fig2_HTML.jpg
https://cdn.ncbi.nlm.nih.gov/pmc/blobs/e37a/11406730/76a4f440b30f/13075_2024_3390_Fig3_HTML.jpg
https://cdn.ncbi.nlm.nih.gov/pmc/blobs/e37a/11406730/f3cdd23eb4fa/13075_2024_3390_Fig4_HTML.jpg

相似文献

1
Truth unveiled by time and the marbled definition of D2T-RA: retrospective analysis on the persistence of the difficult-to-treat status among refractory RA patients.时间揭示的真相和 D2T-RA 的大理石般定义:对难治性 RA 患者中难治状态持续存在的回顾性分析。
Arthritis Res Ther. 2024 Sep 17;26(1):161. doi: 10.1186/s13075-024-03390-x.
2
Characteristics of patients with difficult-to-treat rheumatoid arthritis: a descriptive retrospective cohort study.难以治疗的类风湿关节炎患者的特征:一项描述性回顾性队列研究。
Adv Rheumatol. 2024 Aug 6;64(1):55. doi: 10.1186/s42358-024-00396-6.
3
Early characterization of difficult-to-treat rheumatoid arthritis by suboptimal initial management: a multicentre cohort study.早期通过初始管理不佳来对难治性类风湿关节炎进行特征描述:一项多中心队列研究。
Rheumatology (Oxford). 2023 Jun 1;62(6):2083-2089. doi: 10.1093/rheumatology/keac563.
4
Poly-Refractory Rheumatoid Arthritis: An Uncommon Subset of Difficult to Treat Disease With Distinct Inflammatory and Noninflammatory Phenotypes.多难治性类风湿关节炎:一种治疗困难的疾病的罕见亚型,具有不同的炎症和非炎症表型。
Arthritis Rheumatol. 2024 Apr;76(4):510-521. doi: 10.1002/art.42767. Epub 2024 Feb 6.
5
Characteristics Of Difficult-To-Treat Psoriatic Arthritis: A Comparative Analysis.难治性银屑病关节炎的特征:一项对比分析。
Semin Arthritis Rheum. 2023 Dec;63:152275. doi: 10.1016/j.semarthrit.2023.152275. Epub 2023 Oct 5.
6
[Difficult-to-treat rheumatoid arthritis in real clinical practice. Preliminary results].[实际临床实践中难治性类风湿关节炎。初步结果]
Ter Arkh. 2022 Jun 17;94(5):661-666. doi: 10.26442/00403660.2022.05.201489.
7
Challenges and insights in managing difficult-to-treat rheumatoid arthritis: real-world clinical perspectives.管理难治性类风湿关节炎的挑战与洞察:真实世界的临床观点。
Clin Exp Rheumatol. 2024 Jul;42(7):1398-1406. doi: 10.55563/clinexprheumatol/nyu9er. Epub 2024 Jan 31.
8
Difficult-to-treat rheumatoid arthritis: contributing factors and burden of disease.难治性类风湿关节炎:相关因素及疾病负担。
Rheumatology (Oxford). 2021 Aug 2;60(8):3778-3788. doi: 10.1093/rheumatology/keaa860.
9
Healthcare utilization and economic burden of difficult-to-treat rheumatoid arthritis: a cost-of-illness study.难治性类风湿关节炎的医疗利用与经济负担:一项疾病成本研究。
Rheumatology (Oxford). 2021 Oct 2;60(10):4681-4690. doi: 10.1093/rheumatology/keab078.
10
Difficult to treat rheumatoid arthritis in a comprehensive evaluation program: frequency according to different objective evaluations.难以治疗的类风湿关节炎的综合评估方案:根据不同的客观评估的频率。
Rheumatol Int. 2023 Oct;43(10):1821-1828. doi: 10.1007/s00296-023-05349-8. Epub 2023 Jun 3.

本文引用的文献

1
EULAR recommendations for the management of rheumatoid arthritis with synthetic and biological disease-modifying antirheumatic drugs: 2022 update.EULAR 推荐的类风湿关节炎治疗方案:使用合成和生物疾病修正抗风湿药物:2022 更新版。
Ann Rheum Dis. 2023 Jan;82(1):3-18. doi: 10.1136/ard-2022-223356. Epub 2022 Nov 10.
2
Difficult-to-treat rheumatoid arthritis: Current concept and unsolved problems.难治性类风湿关节炎:当前概念与未解决的问题。
Front Med (Lausanne). 2022 Oct 24;9:1049875. doi: 10.3389/fmed.2022.1049875. eCollection 2022.
3
Comorbidities and extra-articular manifestations in difficult-to-treat rheumatoid arthritis: different sides of the same coin?
难治性类风湿关节炎中的合并症与关节外表现:同一硬币的不同面?
Rheumatology (Oxford). 2023 May 2;62(5):1773-1779. doi: 10.1093/rheumatology/keac584.
4
Early characterization of difficult-to-treat rheumatoid arthritis by suboptimal initial management: a multicentre cohort study.早期通过初始管理不佳来对难治性类风湿关节炎进行特征描述:一项多中心队列研究。
Rheumatology (Oxford). 2023 Jun 1;62(6):2083-2089. doi: 10.1093/rheumatology/keac563.
5
Single-centre experience of refractory rheumatoid arthritis.难治性类风湿关节炎的单中心经验
Rheumatol Adv Pract. 2022 Aug 1;6(2):rkac057. doi: 10.1093/rap/rkac057. eCollection 2022.
6
'Difficult to treat' rheumatoid arthritis: current position and considerations for next steps.“难治性”类风湿关节炎:当前的立场和下一步的考虑。
RMD Open. 2022 Jul;8(2). doi: 10.1136/rmdopen-2022-002387.
7
Rituximab versus tocilizumab in rheumatoid arthritis: synovial biopsy-based biomarker analysis of the phase 4 R4RA randomized trial.利妥昔单抗与托珠单抗治疗类风湿关节炎:4 期 R4RA 随机试验基于滑膜活检的生物标志物分析。
Nat Med. 2022 Jun;28(6):1256-1268. doi: 10.1038/s41591-022-01789-0. Epub 2022 May 19.
8
Characteristics of patients with difficult-to-treat rheumatoid arthritis in clinical practice.临床实践中难治性类风湿关节炎患者的特征。
Rheumatology (Oxford). 2021 Nov 3;60(11):5247-5256. doi: 10.1093/rheumatology/keab209.
9
Rituximab versus tocilizumab in anti-TNF inadequate responder patients with rheumatoid arthritis (R4RA): 16-week outcomes of a stratified, biopsy-driven, multicentre, open-label, phase 4 randomised controlled trial.利妥昔单抗与托珠单抗治疗抗 TNF 应答不足的类风湿关节炎患者(R4RA):分层、基于活检、多中心、开放标签、4 期随机对照临床试验的 16 周结果。
Lancet. 2021 Jan 23;397(10271):305-317. doi: 10.1016/S0140-6736(20)32341-2.
10
Difficult-to-treat rheumatoid arthritis: contributing factors and burden of disease.难治性类风湿关节炎:相关因素及疾病负担。
Rheumatology (Oxford). 2021 Aug 2;60(8):3778-3788. doi: 10.1093/rheumatology/keaa860.