• 文献检索
  • 文档翻译
  • 深度研究
  • 学术资讯
  • Suppr Zotero 插件Zotero 插件
  • 邀请有礼
  • 套餐&价格
  • 历史记录
应用&插件
Suppr Zotero 插件Zotero 插件浏览器插件Mac 客户端Windows 客户端微信小程序
定价
高级版会员购买积分包购买API积分包
服务
文献检索文档翻译深度研究API 文档MCP 服务
关于我们
关于 Suppr公司介绍联系我们用户协议隐私条款
关注我们

Suppr 超能文献

核心技术专利:CN118964589B侵权必究
粤ICP备2023148730 号-1Suppr @ 2026

文献检索

告别复杂PubMed语法,用中文像聊天一样搜索,搜遍4000万医学文献。AI智能推荐,让科研检索更轻松。

立即免费搜索

文件翻译

保留排版,准确专业,支持PDF/Word/PPT等文件格式,支持 12+语言互译。

免费翻译文档

深度研究

AI帮你快速写综述,25分钟生成高质量综述,智能提取关键信息,辅助科研写作。

立即免费体验

最富有的人对收入的选择性不敏感。

Selective insensitivity to income held by the richest.

作者信息

Szaszi Barnabas, Habibnia Hooman, Tan Josephine, Hauser Oliver P, Jachimowicz Jon M

机构信息

Institute of Psychology, ELTE, Eötvös Loránd University, Budapest, 46 Izabella street, 1064 Budapest, Hungary.

Institute for Cognition and Behavior, WU Vienna University of Economics and Business, 1 Welthandelsplatz, 1020 Vienna, Austria.

出版信息

PNAS Nexus. 2024 Sep 17;3(9):pgae333. doi: 10.1093/pnasnexus/pgae333. eCollection 2024 Sep.

DOI:10.1093/pnasnexus/pgae333
PMID:39290440
原文链接:https://pmc.ncbi.nlm.nih.gov/articles/PMC11407284/
Abstract

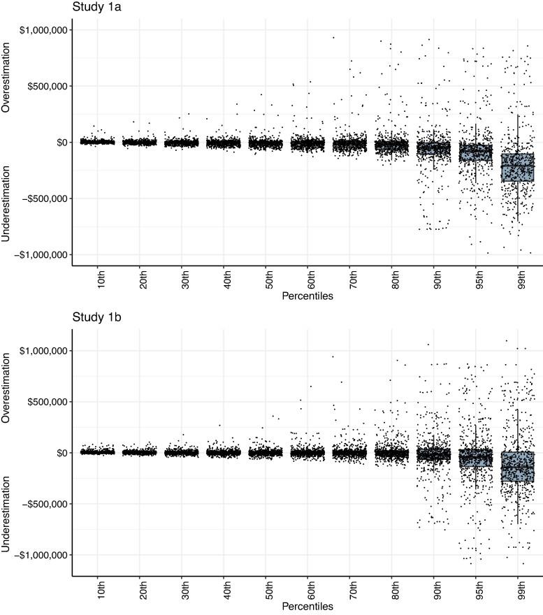
The misperception of income inequality is often touted as a critical barrier to more widespread support of redistributive policies. Here, we examine to what extent and why (mis)perceptions vary systematically across the income distribution. Drawing on data from four studies ( = 2,744)-including a representative sample and preregistered incentive-compatible experiments-we offer converging evidence that people specifically underestimate the amount of income held by the top of the income distribution. While this selective underestimation is likely driven by multiple mechanisms, including systemic factors, we find that cognitive biases contribute to the observed pattern of results. The rise of inequality in many developed countries has been documented before, and the fact that this growing inequality is largely driven by the outsized gains of the richest individuals may pose new challenges previously underappreciated: our theory and findings highlight that cognitive biases pose a key obstacle to people's recognition of the concentration of income among the richest individuals, and may potentially distort their preferences for redistribution. We conclude by discussing future directions for research and the importance of incorporating behavioral and cognitive limitations into the design of redistributive public policy.

摘要

收入不平等的错误认知常常被视为更广泛支持再分配政策的关键障碍。在此,我们考察了这种(错误)认知在收入分配中系统变化的程度及原因。基于四项研究(N = 2744)的数据——包括一个代表性样本和预先注册的激励兼容实验——我们提供了趋同的证据,表明人们特别低估了收入分配顶端人群的收入数额。虽然这种选择性低估可能由多种机制驱动,包括系统性因素,但我们发现认知偏差促成了所观察到的结果模式。许多发达国家不平等现象的加剧此前已有记载,而且这种日益加剧的不平等在很大程度上由最富有人群的巨额收益所驱动,这一事实可能带来了此前未得到充分认识的新挑战:我们的理论和研究结果强调,认知偏差是人们认识到最富有人群收入集中情况的关键障碍,并且可能潜在地扭曲他们对再分配的偏好。我们通过讨论未来的研究方向以及将行为和认知局限纳入再分配公共政策设计的重要性来结束本文。

https://cdn.ncbi.nlm.nih.gov/pmc/blobs/3ce3/11407284/0b4c6040f1d5/pgae333f3.jpg
https://cdn.ncbi.nlm.nih.gov/pmc/blobs/3ce3/11407284/7195e59ce5fd/pgae333f1.jpg
https://cdn.ncbi.nlm.nih.gov/pmc/blobs/3ce3/11407284/4d68ebd92ed4/pgae333f2.jpg
https://cdn.ncbi.nlm.nih.gov/pmc/blobs/3ce3/11407284/0b4c6040f1d5/pgae333f3.jpg
https://cdn.ncbi.nlm.nih.gov/pmc/blobs/3ce3/11407284/7195e59ce5fd/pgae333f1.jpg
https://cdn.ncbi.nlm.nih.gov/pmc/blobs/3ce3/11407284/4d68ebd92ed4/pgae333f2.jpg
https://cdn.ncbi.nlm.nih.gov/pmc/blobs/3ce3/11407284/0b4c6040f1d5/pgae333f3.jpg

相似文献

1
Selective insensitivity to income held by the richest.最富有的人对收入的选择性不敏感。
PNAS Nexus. 2024 Sep 17;3(9):pgae333. doi: 10.1093/pnasnexus/pgae333. eCollection 2024 Sep.
2
Redistribution and beliefs about the source of income inequality.收入不平等来源的重新分配与观念
Exp Econ. 2022;25(3):876-901. doi: 10.1007/s10683-021-09733-8. Epub 2021 Sep 27.
3
People are more tolerant of inequality when it is expressed in terms of individuals rather than groups at the top.当不平等以个人而不是顶层群体的形式表现出来时,人们更容易容忍它。
Proc Natl Acad Sci U S A. 2021 Oct 26;118(43). doi: 10.1073/pnas.2100430118.
4
The 2023 Latin America report of the Countdown on health and climate change: the imperative for health-centred climate-resilient development.《2023年健康与气候变化倒计时拉丁美洲报告:以健康为中心的气候适应型发展的必要性》
Lancet Reg Health Am. 2024 Apr 23;33:100746. doi: 10.1016/j.lana.2024.100746. eCollection 2024 May.
5
The Two Faces of Support for Redistribution in Colombia: Taxing the Wealthy or Assisting People in Need.哥伦比亚对再分配支持的两面:对富人征税还是帮助有需要的人。
Front Sociol. 2022 Apr 27;7:773378. doi: 10.3389/fsoc.2022.773378. eCollection 2022.
6
Deliberating Inequality: A Blueprint for Studying the Social Formation of Beliefs about Economic Inequality.思考不平等:研究关于经济不平等信念的社会形成的蓝图。
Soc Justice Res. 2022;35(4):379-400. doi: 10.1007/s11211-022-00389-0. Epub 2022 Apr 1.
7
Attitudes towards redistribution and the interplay between perceptions and beliefs about inequality.对再分配的态度以及对不平等的看法和信念之间的相互作用。
Br J Soc Psychol. 2020 Jan;59(1):111-136. doi: 10.1111/bjso.12326. Epub 2019 Apr 12.
8
Inequality aversion predicts support for public and private redistribution.不平等厌恶感预测了对公共和私人再分配的支持。
Proc Natl Acad Sci U S A. 2024 Sep 24;121(39):e2401445121. doi: 10.1073/pnas.2401445121. Epub 2024 Sep 17.
9
Changing attitudes toward redistribution: The role of perceived economic inequality in everyday life and intolerance of inequality.改变对再分配的态度:日常生活中感知到的经济不平等和对不平等的不容忍的作用。
J Soc Psychol. 2023 Jul 4;163(4):566-581. doi: 10.1080/00224545.2021.2006126. Epub 2022 Jan 3.
10
(Mis)perceptions of inequality.不平等的(错误)认知。
Curr Opin Psychol. 2017 Dec;18:21-25. doi: 10.1016/j.copsyc.2017.07.024. Epub 2017 Jul 24.

本文引用的文献

1
Measuring inequality beyond the Gini coefficient may clarify conflicting findings.衡量基尼系数之外的不平等程度可能有助于澄清相互矛盾的发现。
Nat Hum Behav. 2022 Nov;6(11):1525-1536. doi: 10.1038/s41562-022-01430-7. Epub 2022 Aug 29.
2
Social capital I: measurement and associations with economic mobility.社会资本 I:测量及其与经济流动性的关联。
Nature. 2022 Aug;608(7921):108-121. doi: 10.1038/s41586-022-04996-4. Epub 2022 Aug 1.
3
Large numbers cause magnitude neglect: The case of government expenditures.大量数据导致忽视量级:以政府支出为例。
Proc Natl Acad Sci U S A. 2022 Jul 12;119(28):e2203037119. doi: 10.1073/pnas.2203037119. Epub 2022 Jul 7.
4
Human-centred mechanism design with Democratic AI.以人为本的机制设计与民主 AI。
Nat Hum Behav. 2022 Oct;6(10):1398-1407. doi: 10.1038/s41562-022-01383-x. Epub 2022 Jul 4.
5
Ideology selectively shapes attention to inequality.意识形态有选择性地塑造了人们对不平等的关注。
Proc Natl Acad Sci U S A. 2021 Apr 6;118(14). doi: 10.1073/pnas.2023985118.
6
Local exposure to inequality raises support of people of low wealth for taxing the wealthy.当地不平等程度的加剧会提高低收入人群对向富人征税的支持度。
Nature. 2020 Oct;586(7828):257-261. doi: 10.1038/s41586-020-2763-1. Epub 2020 Sep 23.
7
The Misperception of Racial Economic Inequality.种族经济不平等的误解。
Perspect Psychol Sci. 2019 Nov;14(6):899-921. doi: 10.1177/1745691619863049. Epub 2019 Sep 10.
8
Social dilemmas among unequals.不平等者之间的社会困境。
Nature. 2019 Aug;572(7770):524-527. doi: 10.1038/s41586-019-1488-5. Epub 2019 Aug 15.
9
Inequality and redistribution behavior in a give-or-take game.在有来有往博弈中的不平等和再分配行为。
Proc Natl Acad Sci U S A. 2018 Apr 3;115(14):3611-3616. doi: 10.1073/pnas.1720457115. Epub 2018 Mar 19.
10
(Mis)perceptions of inequality.不平等的(错误)认知。
Curr Opin Psychol. 2017 Dec;18:21-25. doi: 10.1016/j.copsyc.2017.07.024. Epub 2017 Jul 24.