Suppr超能文献

无义转录本3B调节因子是一种预后生物标志物,与肺鳞状细胞癌和肝细胞癌中的免疫细胞浸润相关。

Regulator of nonsense transcripts 3B is a prognostic biomarker and associated with immune cell infiltration in lung squamous cell and hepatocellular carcinoma.

作者信息

Li Pengcheng, Zhou Mi, Gan Xiaoli, Yuan Chaoyi, Li Ganxun, Jin Guan-Nan, Ding Ze-Yang

机构信息

Hepatic Surgery Center, Clinical Medicine Research Centre for Hepatic Surgery of Hubei Province, and Hubei Key Laboratory of Hepato-Pancreato-Biliary Diseases, Tongji Hospital, Tongji Medical College, Huazhong University of Science and Technology, Wuhan, Hubei, 430030, People's Republic of China.

Department of Internal Medicine, Union Hospital, Tongji Medical College, Huazhong University of Science and Technology, Wuhan, Hubei, 430071, People's Republic of China.

出版信息

Discov Oncol. 2024 Sep 27;15(1):479. doi: 10.1007/s12672-024-01369-3.

Abstract

PURPOSE

The characteristic of RENT3B in cancer remains ambiguous. We aimed to study the relationship between RENT3B and immune infiltration in liver hepatocellular carcinoma (LIHC) and lung squamous cell carcinoma (LUSC).

PATIENTS AND METHODS

We investigated the expression levels of RENT3B using ONCOMINE and TIMER databases, and assessed the interrelationship between RENT3B expression and survival using PrognoScan, GEPIA, and Kaplan-Meier plotter. Additionally, we examined the association between RENT3B and immune cells in the tumor microenvironment (TME), as well as markers of immune cells, using TIMER. Subsequently, we performed prognostic analysis based on the expression level of RENT3B within specific immune cell subgroups. Furthermore, we evaluated the promoter methylation profile of RENT3B between tumor and normal tissues in LIHC and LUSC using the DNMIVD database.

RESULTS

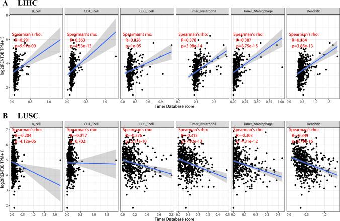
RENT3B exhibited increased levels in both in LIHC and LUSC. High RENT3B expression was associated with unfavorable prognosis in LIHC, whereas it indicated a beneficial prognosis in LUSC. In LIHC, the expression of RENT3B positively correlated with immune infiltration levels of B cells, CD4 + T cells, CD8 + T cells, neutrophils, macrophages, and dendritic cells. However, in LUSC, the expression of RENT3B showed a negative correlation with immune infiltration levels of B cells, CD8 + T cells, neutrophils, macrophages, and dendritic cells. RENT3B exhibited positive correlations with 42 immune markers in LIHC, while it displayed negative associations with 10 immune markers in LUSC. Despite variations in immune cell enrichment and reduction subgroups, high RENT3B expression consistently indicated poor prognosis in LIHC, whereas it remained favorable in LUSC. Additionally, there were no significant differences observed in RENT3B promoter methylation between tumor and normal tissues in both LIHC and LUSC.

CONCLUSION

RENT3B can affect the overall tumor prognosis and is associated with immune infiltration, especially in LIHC and LUSC. Consequently, RENT3B can become a prognostic biomarker for LIHC and LUSC.

摘要

目的

RENT3B在癌症中的特征仍不明确。我们旨在研究RENT3B与肝细胞癌(LIHC)和肺鳞状细胞癌(LUSC)中免疫浸润的关系。

患者和方法

我们使用ONCOMINE和TIMER数据库研究RENT3B的表达水平,并使用PrognoScan、GEPIA和Kaplan-Meier绘图仪评估RENT3B表达与生存之间的相互关系。此外,我们使用TIMER研究RENT3B与肿瘤微环境(TME)中免疫细胞以及免疫细胞标志物之间的关联。随后,我们基于RENT3B在特定免疫细胞亚组中的表达水平进行预后分析。此外,我们使用DNMIVD数据库评估LIHC和LUSC中肿瘤组织与正常组织之间RENT3B的启动子甲基化谱。

结果

RENT3B在LIHC和LUSC中的水平均升高。RENT3B高表达与LIHC的不良预后相关,而在LUSC中则提示预后良好。在LIHC中,RENT3B的表达与B细胞、CD4 + T细胞、CD8 + T细胞、中性粒细胞、巨噬细胞和树突状细胞的免疫浸润水平呈正相关。然而,在LUSC中,RENT3B的表达与B细胞、CD8 + T细胞、中性粒细胞、巨噬细胞和树突状细胞的免疫浸润水平呈负相关。RENT3B与LIHC中的42种免疫标志物呈正相关,而与LUSC中的10种免疫标志物呈负相关。尽管免疫细胞富集和减少亚组存在差异,但RENT3B高表达在LIHC中始终提示预后不良,而在LUSC中仍提示预后良好。此外,LIHC和LUSC的肿瘤组织与正常组织之间在RENT3B启动子甲基化方面未观察到显著差异。

结论

RENT3B可影响肿瘤的总体预后,并与免疫浸润相关,尤其是在LIHC和LUSC中。因此,RENT3B可成为LIHC和LUSC的预后生物标志物。

https://cdn.ncbi.nlm.nih.gov/pmc/blobs/6bb4/11436519/70ca7646fcbc/12672_2024_1369_Fig1_HTML.jpg

文献检索

告别复杂PubMed语法,用中文像聊天一样搜索,搜遍4000万医学文献。AI智能推荐,让科研检索更轻松。

立即免费搜索

文件翻译

保留排版,准确专业,支持PDF/Word/PPT等文件格式,支持 12+语言互译。

免费翻译文档

深度研究

AI帮你快速写综述,25分钟生成高质量综述,智能提取关键信息,辅助科研写作。

立即免费体验